Некоторые вопросы, связанные с электромагнитным излучением человека
- Гипноз, аутотренинг, предвидение, физиология, биоэнергия. По данным вопросам можно многое почерпнуть из публикаций в рамках осуществлявшейся в советское время программы работ по исследованию физических полей биообъектов в ИРЭ РАН [4, 5].
- Специфика осязания растительным миром намерений человека достаточно объёмно рассмотрена в работе [8], где продемонстрированы уникальные эксперименты «считывания» мыслей человека растительной средой на основе электромагнитной регистрации энергообмена.
- Исходя их факта резонансного поглощения электромагнитной энергии на частотах 18...19 ГГц (молекула воды), 60 ГГц (атомы кислорода) и ряда других частот терадиапазона, особенно на «чёрной» частоте (l = 10 мкм) человеческого абсолютного поглощения ИК-волн, можно с полной уверенностью говорить о том, что пора прекратить небезвредную практику терапии человека с использованием частиц с энергиями в сотни кэВ и даже МэВ, и перейти на мягкие человеческие энергии от 0,1 эВ и менее. Напомним, что человеческий организм, состоящий на 3/4 из молекул воды (биоклетки), исключительно чувствителен к квантам с энергией уже от 1,22 эВ (электролиз воды). При энергии 6 эВ начинается электронное «газирование» воды, а при E > 12,3 эВ происходит полная катастрофа, когда молекула воды распадается на атомы водорода и кислорода («гремучий газ»). Отсюда следует логическое заключение, что при многократной чистке крови лазерным излучением уже с видимого диапазона частот человек рискует получить лейкемию. Следует отметить, что РАН в 2002 г. приняла Программу «Фундаментальные науки – медицине».
- Академик, д.т.н., профессор И.В. Гуляев и д.т.н., профессор Э.Э. Годик наглядно показали разницу «художественного» электромагнитного образа человека в отражённых видимых лучах оптического света (то, что мы фиксируем на цветных фотографиях, слайдах, видеоклипах и т.д.) и абсолютно своеобразного, специфичного, строго индивидуального, невидимого ИК-образа человеческой личности в его собственных лучах. При этом следует понимать, что комплексный пакет излучения человека является уникальной возможностью «рассмотреть и прочитать» личность в ИК-излучении с учётом: национальной или расовой принадлежности, геомагнитной специфики местности (среды) обитания, ИК-энергетики потребляемой пищи как органического происхождения (рис, хлеб, животные продукты, цитрусовые, сухофрукты и др.), так и минерального происхождения (микроэлементы, поступающие с водой, субнанокластерное геостроение молекулярных соединений воды, минералы из фруктов, мяса, дисперсных частиц воздуха и т.д.). Следовательно, каждый человек, как индивидуальный объект, имеет только своё, уникальное ИК-изображение, которое является неповторимым в природе. Это и обеспечивает 100-процентную эффективность ИК-образа в методах идентификации личности, в новейшем банкинге или методах борьбы с терроризмом. Неизбежно через два-три десятка лет появится новый «биопаспорт» человека на основе индивидуального ИК-излучения, который будет содержать абсолютно все данные, необходимые для его идентификации и разумной интеграции в сообщество. При изменении параметров биосреды электромагнитное излучение человека останется строго индивидуальным.
Тепловольтаика на основе излучения человеческого тела (мини-ТЭЦ, дизайн-модели)
Предлагаемые нами новые модели неохлаждаемых длинноволновых ИК-фотоприёмников и тепловольтаики основаны на использовании гетеросистем, планируемых к созданию на материнской платформе в виде LPE i-GaAs (SiO) монокристаллов.
Моделирование новых ИК-приёмников и тепловольтаики связано с эксплуатацией ряда физических явлений, часть которых является классическими явлениями, т.е. общепринятыми в электродинамике, зонной теории проводимости, а другая часть представляет собой новые физические принципы работы, которые представлены авторами в ряде предшествующих публикаций в журнале «Современная электроника», а именно:
- механизм поглощения ИК-фотонов (на колебаниях решётки, на свободных носителях заряда, амфотерно-примесном поглощении, прямоходном зона/зона поглощении);
- максвелловское сшивание двух гетеросред, когда ε1ε0E1 = ε2ε0E2 (εε0E = μμ0H);
- явление полевого туннелирования носителей заряда на границе гетеросред;
- термоэмиссионная модель переноса заряда в гетеросистеме полупроводник–металл;
- явление разогрева энергетических зон двух твердотельных гетеросред с различным сродством к электрону;
- явление твердовакуумного квантово-точечного обеднения или аккумуляция энергии в кристалле под воздействием внешнего частотно-полевого возбуждения;
- физические явления, связанные с возникновением энергозон в запрещённой зоне LPE i-GaAs (SiO) монокристалла, легированного амфотерной примесью, или явления «зоны в зоне» (мультизонность).
В целом, физические способы приёма и преобразования длинноволновых ИК-волн вплоть до λ = 12 мкм можно разделить на две группы:
- мультизонную (полупроводниковую);
- релятивистскую (твёрдовакуумную).
Уникальные свойства и новые физические явления, проявляющиеся в кристаллах LPE i-GaAs (SiO) и гетеросистемах на их основе:
- диодный аналог транзисторного усилителя (эффект суперинжекции Ж.И. Алфёрова);
- подвижность электронов, сравнимая с антимонидом индия (InSb), и филаментарная плотность тока в транзисторах «два в одном» на порядок выше, чем в таких металлах, как Au, Ag, Cu;
- ДОС на участке прямой ВАХ, релятивистско-зонный вентиль;
- невозможность описания и моделирования свободных носителей заряда посредством уравнения Шрёдингера;
- встроенно-экситонные стационарные квазиуровни Ферми;
- несовместимость с классическим законом действующих масс;
- ярко выраженные явления отклонения (на два-три порядка) от классических уровней энергий ионизации элементов IV гр. таблицы Д.И. Менделеева в GaAs;
- эффект сверхполевого туннелирования;
- эффект резонансно-параметрического усиления СВЧ- и ТГц-волн в диэлектрике LPE i-GaAs и, в конечном счёте, ожидаемый эффект «поляризационной катастрофы» (вырождение оптической запрещённой зоны GaAs в kT-щель).
Всё это в более или менее доступной форме (кроме эффекта «поляризационной катастрофы») было описано на страницах журнала «Современная электроника» [1, 2, 9], представлено на НТС в «Микроне» (февраль 2014 г.), показано в презентациях в АО «Интеграл», НАН Беларуси (сентябрь 2016 г.), Ульяновского государственного технического университета и Ульяновского филиала Агентства стратегических инициатив (ноябрь 2016 г.), а также на промежуточных технических совещаниях АФК, РТИ, МИЭТ (Москва), АО «Авангард» (Санкт-Петербург), ОАО «ОКБ-Планета» (г. Великий Новгород), МФТИ (г. Долгопрудный), СКФУ (г. Ставрополь), ФПИ (Москва) и др.
В данном разделе целесообразно остановиться на фактически базовом физическом явлении «зоны в зоне», когда в оптическую запрещённую зону GaAs (1,42 эВ) встраиваются две абсолютно равноценные ИК запрещённые энергозоны с изменением энергии от величины собственного химического потенциала до минимизации энергии ионизации амфотерной примеси относительно соответствующих краёв оптической запрещённой зоны GaAs.
Ещё раз подчеркнём, что явление «зоны в зоне» базируется на инвертировании i-типа проводимости (изолятор) в n- или p-тип, в зависимости от условий термодинамики в LPE-процессе рекристаллизации GaAs при легировании монокристалла амфотерными примесями четвёртой группы таблицы Д.И. Менделеева, Si и Ge [9, 10]. Сущность явления, описанного в [10], основана на взаимодействии энергии амфотерного атома в подрешётках Ga и As и монотонного уменьшения энергии ионизации амфотерных атомов в донорных узлах (подрешётка Ga) и акцепторных узлах (подрешётка As) кристаллической решётки GaAs вплоть до «комнатной», т.е. терагерцовой kT-ионизации с переходом равенства количества амфотерных атомов акцепторного типа и донорного типа в подрешётках Ga (донор) и As (акцептор) в пределах концентраций NA ≈ ND от √2,41×1011см–3 в неравенство ND/NA>1 (при ND = NA от 1017 см–3) (n-тип проводимости). Таким образом, в LPE-процессе при насыщении амфотерной примесью решётки GaAs свыше (1...3) × 1017 происходит инвертирование типа проводимости. В результате мы можем получить дисперсию энергии ионизации амфотерной примеси в широких пределах от 0,7 эВ (≈1,65 мкм, ИК-диапазон, практически как у Ge или GaSb) до уровня «криогенных» ИК-приёмников на основе InSb и InAs (3...5 мкм, средний ИК-диапазон) и CdHgTe (8...12 мкм, дальний ИК-диапазон).
В итоге, открываются очень неплохие возможности для создания ИК-устройств ночного и теплового видения. В обоих случаях – терагерцового сверхчувствительного широкополосного приёма.
Качественная интерпретация ИК LPE i-GaAs (SiO) фотоприёмника (до 3 мкм) показана на рисунке 6.

Далее, для упрощения восприятия материала, мы предложим дизайн-модели эффективного неохлаждаемого ИК-фотоприёма «чёрных» тепловых волн человеческого тела с λ ≈ 8...12 мкм (Е ≈ 0,1 эВ ± Δ) и, конечно, тепловых миниэлектрогенераторов на основе теплового излучения человеческого тела.
Из анализа профиля энергетики сопряжённых гетеросред на базе GaAs в [11, 12] и с учётом согласования сред по ТКР, постоянной решётки, сродства к электрону, плотности нежелательных энергосостояний на границе раздела гетеросред, а также с учётом типа проводимости, для нашего модельного случая наиболее приемлемы следующие гетеросистемы:
- n-AlGaAs-i-GaAs;
- n-Ge-i-GaAs.
Рассмотрим зонную энергетику гетеросистемы, состоящей из двух встречно включённых изотипных гетеросистем n-i-n типа AlGaAs-GaAs-Ge.
Энергетическая диаграмма бинарной изотипной гетеросистемы AlGaAs-GaAs-Ge с учётом плотности состояний амфотерной примеси в запрещённой зоне представлена на рисунке 7.

На рисунке 7 показаны энергетические разрывы в зоне проводимости гетероперехода n-i AlGaAs-GaAs ΔEC1 и в валентной зоне i-n гетероперехода GaAs-Ge – ΔEV2. «Встроенные» амфотерные квазиуровни Ферми EFn и EFp показывают уровень концентрации легирующей примеси на основе атомов Si в подрешётках Ga (EFn) и As (EFp).
Манипулируя физическими величинами (сродством к электрону c в решётках n-AlGaAs, i-GaAs и n-Ge, а также уровнями легирования донорной и амфотерных примесей в соответствующих подзонах комбинированной n-i-n гетеросистемы AlGaAs-GaAs-Ge), мы сможем установить уровень энергетических щелей ΔEион.n и ΔЕион.p на уровне энергий, меньших, чем энергия kT-квантов человеческого тела, на их экстремальном уровне (плотности) излучения при kT ≈ 0,1 эВ или λ ≈ 10 мкм ± 1,0 мкм.
Контактная разность потенциалов диодной гетероизотипной системы, показанной на рисунке 7, φK n-i-n может экспериментальным путём варьироваться в пределах 0,35...0,15 эВ. При ИК-облучении тепловыми квантами kT (hν) уровня 0,1 эВ и ниже будет происходить ионизация амфотерной примеси в зоне энергоразрыва, соответствующей донорной генерации электронов с их последующим туннелированием с уровней EFn в квантовую яму энергоразрыва и дрейфом на более высокие уровни в зоне проводимости i-GaAs и Ge. Дрейф электронов из квантовой ямы зоны разрыва на более высокие энергетические уровни в зоне проводимости осуществляется мощным внутренним полем на границе раздела. Точно такой же процесс будет наблюдаться и при ионизации акцепторной амфотерной примеси с последующим туннельно-полевым транспортом дырок в валентную зону. Аккумуляция электронов и дырок в зоне гетероразрыва германия с GaAs вызовет электролюминисценцию квантов вследствие рекомбинации зона-зона, зона-уровни с энергиями hν ≤ Eg Ge ≈ 0,69 эВ. Этого будет достаточно для того, чтобы ионизировать акцепторные амфотерные центры в LPE i-GaAs. Кроме того, начнётся процесс автогенерации ИК ЭДС квантами излучения из германиевой решётки, что резко повысит эффективность такой «тепловой мини-электростанции».
Вследствие нарушения классического квазибаланса n × p=ni2 в условиях ИК длинноволновой внешней реакции и, с учётом аккумуляции неравновесных электронов в зоне i-GaAs и дырок в валентной зоне Ge (что эквивалентно дополнительному накоплению электронов в i-зоне), произойдёт разбаланс сшивания уровней Ферми в гетеросистеме AlGaAs-GaAs-Ge, который, в конечном счёте, количественно отразится в виде ИК фото-ЭДС или тепловом электрогенераторе, в принципе, менее мощного (на один-полтора порядка) аналога солнечной фото-ЭДС. Потенциал jKn-i-n изменится на десятки и единицы сотен милливольт.
Разрыв энергозон в зоне проводимости изотипного перехода n-i AlGaAs-GaAs легко рассчитывается из экспериментальных результатов, представленных в [12] (см. рис. 8 и 9).


Из графиков видно, что величина ΔECn в системе AlGaAs-GaAs при ширине запрещённой зоны Al0,3Ga0,7As около 1,8 эВ достигает уровня 0,4 эВ.
В том же источнике [12] показано, что при Т = 300 K разрыв валентных зон в системе GaAs-Ge может достигать максимального уровня ΔEFp, равного 0,55 эВ, что является величиной, сопоставимой с ΔEg Ge ≈ 0,69 эВ. Наряду с этим, важно также иметь в виду, что в системе i-GaAs-n+-Ge ожидается разрыв зоны проводимости ΔECn уровня 0,15 эВ, который может увеличиваться до уровня разрыва ΔEFp = 0,55 эВ в случае вырожденного германия (n+++ – Ge), что благоприятно для генерации электронов с амфотерных донорных уровней. Таким образом, необходимы детальные исследования указанных гетеросистем с учётом того, что AlGaAs можно успешно заменить на GaP с Eg = 2,25 эВ. Во всех случаях необходимо учитывать то обстоятельство, что разница постоянных решёток LPE i-GaAs (0,565 нм) сопряжённых гетерослоёв должна быть минимальной. Она почти нулевая с AlGaAs (0, 565 нм) и Ge (0,565 нм) и составляет 3,5% с GaP (0,545 нм). Если в солнечной фотовольтаике на основе кремния или MOCVD арсенида галлия (не путать с LPE i-GaAs) процессы генерации фото-ЭДС в основном связаны с генерацией электронно-дырочных пар в n+-p узких зонах перехода (ОПЗ и примыкающих областях) с, как правило, доминирующим диффузионным механизмом переноса носителей заряда – электронов, полученных в результате квантового воздействия световой hn волны с λ = 0,75...0,4 мкм или E = hν ≈ 1,5...2,9 эВ, то в нашем случае данный механизм переноса генерируемых электронов будет разительно отличаться от кремниевой солнечной генерации носителей заряда. Это связано с изначальным наличием области пространственного заряда во всей i-зоне, т.е. зоны преимущественно дрейфа носителей (j = qnμE).
Механизм протекания тока через гетеросистему достаточно сложен, и его можно воспринимать как комбинацию туннельно-полевого и термоэмиссионного (по аналогии с SBD). Исключительное значение имеет и тот факт, что LPE i-GaAs (SiO) не имеет ни n-тип, ни p-тип, а собственный тип проводимости, несмотря на огромную концентрационную насыщенность растворённых амфотерных атомов кремния (до 1017 см–3). LPE i-зона, сосредоточенная между двумя энергозонами с Eg > 1,8 эВ и Eg < 0,7 эВ, оказывает исключительно сильное влияние на эффективность переноса генерируемых с ионизируемых амфотерных центров носителей заряда (электронов и дырок) и КПД их доставки во внешнюю электрическую цепь (нагрузку).
Из экспериментальных подтверждений образования диффузионных длин электронов в LPE i-слое Lni до 60 мкм следует, что толщина разделительного, насыщенного амфотерной примесью i-слоя, а фактически – области пространственного заряда (ОПЗ), может достигать сопоставимых значений, или вплоть до трёхкратных значений диффузионной длины Lni.

На рисунке 10 приведена эквивалентная схема двух встречно включённых изотипных диодов n-AlGaAs-i-GaAs (1) и n+-Ge-i-GaAs (2) (по аналогии с примером на двух встречно включённых диодах с барьером Шоттки, с очень сложными по профилю энергетическими зонами), на внутреннюю энергию которых воздействуют два типа излучения.
- Внешнее излучение с λ = 5...12 мкм с пиковым резонансным «чёрным» узкоспектральным излучением на длинах волн около 8...12 мкм.
- Более коротковолновое излучение электролюминесцентного диода на основе германия с λ ≥ 1,65 мкм (бриллюэновская рекомбинация).
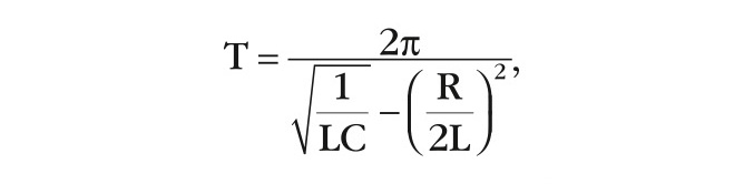
Очевидно, что два последовательных контура, обладая сверхдобротностью, будут иметь свою резонансную частоту:

с периодом колебаний

где добротность будет обусловлена
скоростью изменения реактивных проводимостей контуров. Т.е. dL/dt и dC/dt, которые будут пропорциональны dσ/dt (изменению проводимости в LPE i-GaAs слое). Изменение проводимости может принимать значения с огромным градиентом dσ/dt >> 106 (до 108), а это означает, что добротность такого контура может достигать не стандартных значений в варикапах на основе GaAs, равных Q ≈ 10 000, а абсолютно новых величин:

Отсюда следует, что мы имеем дело не просто с аналогией DC солнечной вольтаики, а с исключительно эффективным AC/DC ЭДС-генератором с двойным оптопреобразованием.
Кроме этой разработаны и другие дизайн-модели на основе гетероструктур, в частности: Alx1Ga1-x1As-i-GaAs-Alx2Ga1-x2As, GaP-i-GaAs-AlGaAs и пр.
Приведённая модель мини-ТЭЦ очень эффективна для энергопитания кардио- и нейростимуляторов, слуховых аппаратов и, в перспективе, искусственного зрения человека на основе ранее представленных моделей терагерцового резонансно-параметрического усиления/генерации [1, 2], а также для описываемых в настоящей статье ИК-приёмников короткого излучения и длинного (теплового), т.е. микроболометров, реагирующих на излучение человеческого тела (лица, глаз, головы, рук).
Гетеротепловольтаику на основе материнского монокристалла LPE i-GaAs (SiO) можно разделить на две группы:
- пассивный ИК-локатор;
- активный ИК-локатор.
Пассивный ИК-локатор аналогичен солнечной фотовольтаике, и показан на рисунке 6. Активный ИК-локатор может быть двух типов. Один из них – с генерацией собственного электромагнитного излучения на основе упомянутых изотипных гетеросистем AlGaAs/i-GaAs/Ge. Второй вариант заключается в следующем.
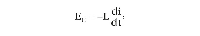
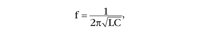
Как известно, при прохождении тока через индуктивность возникает самоиндукция:

что является одним из паразитных явлений всплеска напряжения, допустим, на IGBT и MOSFET силовых аналогах в электроприводе с ШИМ-модуляцией, которое полезно в нашем случае. ИК-гетероструктуру, показанную на рисунке 7, можно рассматривать как фототранзистор с ИК-запуском, а ИК-гетеросистему с последовательной индуктивностью L можно также рассматривать как LC-контур с резонансной частотой:

где C – переменная ёмкость, зависящая от автоколебаний тока и напряжения, определяемых стремлением разности фаз к нулю (cosφ → 1). Следовательно, имея в одном случае контур из ИК-фотоприёмника на одном мощном гетерокристалле и второй контур из небольшого столба гетероприёмников, мы будем иметь два контура, в результате чего несложно понять, что более мощный фотоприёмник будет периодически находиться под напряжением обратного смещения «столбового» контура. В итоге мы будем иметь своеобразный авто-блокинг-генератор импульсов резонансно-коммутируемого ИК комплексного ключа. Для питания «нательных» аппаратов биостимуляции можно использовать более высоковольтную ИК-электроэнергию для АС/DC- или AC/AC-преобразования.
Тепловольтаика «из воздуха» («тепловой насос»)
На научно-техническом совете, посвящённом созданию новой отечественной электроники на основе структур LPE i-GaAs, докладчику был задан вопрос о том, как получить вольты «из воздуха». Вопрос выглядит наивным только на первый взгляд. Далее мы изложим свою точку зрения на проблему создания мини-ТЭЦ «из воздуха». Вначале немного истории. В статье [13] мы показали, каким образом можно опередить ряд западных стран в области создания летающей микроробототехники (до 0,06 г) – так называемых MAV-стрекоз (Micro Air Vehicle, летательный микроаппарат). Частота взмаха крыльев у западных систем на основе 63Ni/Si достигает 100 Гц. Наши системы на основе 147Pm/LPE i-GaAs (SiO) могут быть в 50 раз более эффективными. Но обратите внимание, что западная MAV-стрекоза для подразделений специального назначения может иметь подъёмную силу только 0,06 г (МЭМС бета-кантилевер), тогда как наша – в 50 раз мощнее. Однако на MAV-дроне необходимо также разместить сенсорные датчики для контроля среды, радар, приёмопередатчик, микропроцессор, навигатор и т.д. В этом случае мощность бета-источника должна быть значительно выше импульсных 1...2 мкВт. Можно ли увеличить данную мощность хотя бы в 1000 раз? Конечно, можно – на основе описанных гетеросистем активного ИК-типа, т.е. либо с ИК комбинированной электролюминисцентной (внешней/внутренней) фотовольтаикой, либо с использованием варианта ИК блокинг-генератора. Если внимательно рассмотреть рисунок 5, то можно заметить ИК-спектр излучения бытовой комнаты (жилища). Проведём несложные расчёты.
Если плотность квантов солнечной радиации составляет » 2 × 1017 см–2/с, то плотность ИК-квантов излучения человеческого тела можно определить из соотношения мощности излучения Солнца на поверхности Земли (которое, допустим, максимально в условиях солнечной Сахары » 1500 Вт/м2) и мощности теплового излучения человека по расчётам академика Ю.В. Гуляева [4, 5] » 100...50 Вт/м2. Тогда плотность ИК-квантов человеческого излучения будет определяться соотношением:

При средней энергии солнечной радиации ≈ 1,0 эВ и человека ≈ 0,1 эВ получаем, что плотность ИК-квантов человека находится на уровне 1/3...1/5 от флюенса квантов солнечной радиации, а это, ни много, ни мало, ≈ (4...6) × 1016 см2/с или ≈ 3...4 мВт/см2.
Для количественной оценки ИК-квантов в «тёмной» жилой комнате и их энергонаполняемости примем во внимание тот факт, что при температуре окружающей среды Т » 300 К человек чувствует себя достаточно комфортно, т.е. при этих температурах наступает баланс теплоприёма и теплоотдачи человеческого тела. Зная о том, что в нормальных условиях (25°С) средняя энергия молекул воздуха (кислорода при средней тепловой скорости молекулы O2 ≈ 640 м/с, что составляет удвоенную скорость звука, или молекулы азота при средней тепловой скорости ≈ 493 м/с) оценивается приблизительно как E = 3/2 kT, можно сделать вывод, что основной энергообмен между воздушной средой и человеком происходит приблизительно на волнах с λ ≈ 8...50 мкм (см. рис. 5). Т.е. диапазон, на который приходится больше половины излучения/поглощения человеком и до 90% теплового излучения бытовой комнаты. Этому соответствует диапазон энергий 0,14...0,02 эВ (или от 5,4 до 0,77 kT). Исходя из предположения, что плотность тепловых квантов (см. рис. 5) с энергией E ≥ 0,1 эВ (или с λ = 4,0...12 мкм) составляет 1/4 плотности теплового излучения в комнате, то ожидаемая плотность квантов с энергией больше 0,1 эВ приблизительно равна 1016 см–2/с или с прогнозируемой энергией приёма ИК-излучения комнаты на уровне E ≈ 3...4 мВт/см2) × η/4, где η – КПД фотоприёмника.
Таким образом, мы ожидаем, что энергия излучения бытовой «тёмной» комнаты при T = 300 K (27°C) составляет, по крайней мере, 100...200 мкВт/см2, что в несколько раз превышает даже «нательные» термо-ЭДС, показанные учёными Калифорнийского университета, Техасского университета A&M и Университета штата Северная Каролина США [14, 15, 16]. Предложенные нами микро-ТЭЦ очень удобны для применения в радарно-мониторинговых MAV-стрекозах для подразделений специального назначения или для МЧС. В итоге можно не только найти в «тёмной комнате чёрную кошку» (террориста), но и эффективно воспользоваться его же тепловой излучаемой энергией.
Электроника «на углях»
Если человек заблудился в тайге, особенно в зимний период, или в горах, или в тундре, а батарейки в сотовом телефоне или других средствах связи разряжены, то можно просто развести костёр и, используя его тепло, включить мини-ТЭЦ (блок питания), разработанный на основе LPE i-GaAs (SiO) тепловольтаики с использованием приведённых конструкций.
С учётом того, что угли излучают кванты в широчайшем диапазоне (от видимых оптических волн до длинных ИК-волн, в течение нескольких часов), можно заменить приёмопередатчик сотового телефона или других средств связи для подачи сигнала с целью установления координат местоположения человека. Это будет полезно для егерей, геологов, службы МЧС, отрядов специального назначения и т.д. Конечно, для того, чтобы воспользоваться новыми возможностями, нужно иметь с собой компактный и лёгкий тепловольтаидный генератор. Спектр излучения энергии раскалённого угля показан на рисунке 11.
![Рис. 11. Распределение энергии в спектре излучения накалённого угля при различных температурах [17]](/images_soel/publications/2017/2017-4/СоЭл_2017-4pr_page22_pic11.jpg)
Заключение
В настоящей статье показан вариант потенциального исполнения «теплового насоса» на двух видах топлива – тепловом излучении человека и тепловой энергии молекул газа в бытовом помещении, а также на тепловой энергии почвы, воды, окружающей атмосферы. Эффективность предложенной модели «теплового насоса» предполагается значительно более высокой, чем у зарубежных аналогов.
Приведённые варианты исполнения мини- и микро-ТЭЦ ожидаемо будут иметь исключительно высокий уровень востребованности в медицине, в быту и в других областях (кардио- и нейростимуляторы, слуховые аппараты, искусственное электронное зрение, приборы ночного видения, системы безопасности и др.).
Микрочиповый индивидуальный ИК-томограф на основе описанных приёмных ИК-гетеросистем может представлять собой повседневный инструмент мониторинга биоэнергетики человека (его психологического состояния, совместимости с энергетикой окружающей среды, физического состояния и др.), а также как инструмент для уверенной диагностики опаснейших заболеваний – онкологии, сердечно-сосудистых аномалий, диабета, вирусных заболеваний и др.).
Предлагаемые микроболометрические «тепловые насосы», усиленные терагерцовыми поляризованными [1, 2] системами, предоставляют уникальную возможность реализации электронного биопаспорта для каждого жителя планеты (с рождения) взамен существующих бумажных гражданских паспортов.
Биопаспорт, как сугубо индивидуальный электромагнитный, биоэнергетический и психологический идентификатор – это уникальнейший инструмент для борьбы с терроризмом.
Индивидуальный биопаспорт создаёт предпосылки для появления новейшей технологической платформы синтеза терагерцовых информационных технологий в банковских системах с терагерцовой идентификацией личности, обеспечивающей абсолютную защищённость финансовых операций, что, в конечном счёте, приведёт к полной виртуализации валюты и глубокой реструктуризации банковской системы. Произойдёт переход на терагерцовые финансовые операции через сеть пета-ёмкостных data-центров, связанных непосредственно с индивидуальными пользователями.
Модель «теплового насоса» с коммерческой точки зрения даже более перспективна, чем совокупный валовой продукт Рособоронэкспорта, а в сочетании с терагерцовой электроникой [1, 2], по сути, является твердотельным заменителем углеводородной составляющей экономики.
Наше очередное предложение, достаточно смелое с научной точки зрения, как и другие предложения, представленные ранее на страницах журнала «Современная электроника», можно реально рассматривать как очередной вклад в создание Национальной ФЦП по развитию отечественной электроники, опережающей мировой уровень.
Литература
- Гордеев А.И. Перспективные терагерцовые поляризованные информационные системы. Часть 1. Современная электроника. 2016. №6.
- Гордеев А.И. Перспективные терагерцовые поляризованные информационные системы. Часть 2. Современная электроника. 2016. №7.
- Бонч-Бруевич В.Л., Калашников С.Г. Физика полупроводников. М. Наука. 1977.
- Гуляев Ю.В., Годик Э.Э. Физические поля биологических объектов. Вестник Академии наук СССР. 1983. №8.
- Гуляев Ю.В., Годик Э.Э. Статья в книге «Кибернетика живого: биология и информация». М. Наука. 1984. Стр. 111–116.
- Госсорг Ж. Инфракрасная термография. Основы, техника, применение. М. Мир. 1988.
- Гроссе П. Свободные электроны в твёрдых телах. М. Мир. 1982.
- Коган И.М. Прикладная теория информации. М. Радио и связь. 1981.
- Войтович В.Е., Гордеев А.И., Думаневич А.Н. Новая экстремальная электроника на основе LPE i-GaAs монокристаллов. Современная электроника. 2014. № 6.
- Нашельский А.Я. Монокристаллы полупроводников. Москва. Металлургия. 1978.
- Шарма Б.Л., Пурохит Р.К. Полупроводниковые гетеропереходы. М. Советское радио. 1979.
- Милнс А., Фойхт Д. Гетеропереходы и переходы металл–полупроводник. М. Мир.1975.
- Войтович В.Е., Гордеев А.И., Думаневич А.Н. Моделирование новой бета-вольтаики на монокристаллах LPE i-GaAs. Современная электроника. 2015. № 6.
- Misra V. et al. Flexible Technologies for Self-Powered Wearable Health and Environmental Sensing. Proc. IEEE 103. 665–681. 2015.
- Ostfeld A.E. et al. High-Performance Flexible Energy Storage and Harvesting System for Wearable Electronics. Sci. Rep. 6. 26122. 2016.
- Choongho Yu. Thermally Self-Chargeable Flexible Energy Storage Device. Texas T&M University. www.tamus.flintbox.com/public/filedownload/9016/TAMU%204371%20White%20Paper.
- Кошкин Н.И., Ширкевич М.Г. Справочник по элементарной физике. Москва. Наука. 1962.
Если вам понравился материал, кликните значок — вы поможете нам узнать, каким статьям и новостям следует отдавать предпочтение. Если вы хотите обсудить материал —не стесняйтесь оставлять свои комментарии : возможно, они будут полезны другим нашим читателям!

