Фононы и экситоны
Прежде чем перейти к описанию поляритонов, имеет смысл напомнить, что представляют собой три базовые квазичастицы, которые мы будем использовать в этой статье. Под термином «квазичастица» (Quasiparticle – QP) в том смысле, в котором его ввёл Лев Давидович Ландау [1], подразумевается некоторая математическая абстракция, обладающая свойствами множества частиц микромира, которая вводится в квантовой механике при решении системы уравнений, описывающих поведение этого множества. С этой точки зрения QP позволяет отвлечься от конкретных физических свойств индивидуальной частицы и рассматривать их коллективное поведение и свойства как качества единого объекта. Современный математический аппарат и вычислительные мощности в принципе не позволяют решить систему точных уравнений, описывающих поведение элементарных частиц с учётом всех существующих в микромире взаимодействий. Вместо этого используется одно уравнение, записанное для квазичастицы.
Придерживаясь хронологии развития событий, рассмотрим первую интересующую нас квазичастицу, характеризующую колебания кристаллической решётки, получившую современное название «фонон».
Идея квантованных колебаний кристаллической решётки впервые возникла в опытах столпов российской физики Г.С. Ландсберга и Л.И. Мандельштама по комбинационному рассеянию света в кристаллах. В 1928 году они обнаружили сдвинутые спектральные линии, соответствующие обмену энергией между светом и колебаниями решётки [2].
В 1930 году Игорь Тамм для описания квантов колебаний ионов кристаллической решётки использовал понятие акустических квантов в твёрдом теле, которые представляли собой наименьшие порции вибрации ионов кристаллической решётки. Тамм назвал их «квантами упругости – Elastische Quanten» (современное название – акустические кванты) [3].
Однако возникновение самого этого термина обычно связывают с работой советского физика-теоретика Якова Ильича Френкеля, в которой для описания квазичастиц звуковых волн он впервые использует термин «фонон»: «…which we shall call phonons» [4].
Впоследствии термин «фонон», обозначающий квант колебаний кристаллической решётки, закрепился в современной научной литературе. Фонон описывает нормальные моды колебаний атомов в твёрдых телах и имеет корпускулярно-волновой дуализм.
Существует два типа фононов (рис. 1).
![Рис. 1. Существует два типа фононов: оптические и акустические [5]](/images_soel/publications/2026/2026-4/2026456-01.jpg)
Акустические фононы представляют собой низкоэнергетические колебания, при которых атомы в кристаллической решётке колеблются синхронно, создавая волны, которые переносят энергию из одной части материала в другую. Эти фононы характерны для материалов с высокой теплопроводностью (металлов).
Оптические фононы характеризуются высокоэнергетическими колебаниями в материалах, в которых кристаллическая структура содержит несколько типов атомов на элементарную ячейку, таких, например, как ионные кристаллы типа NaCl. Когда свет падает на оптические фононы, они могут поглощать определённые частоты.
Количественное подтверждение фононной модели было получено в экспериментах Б.Н. Брокхауза в 1955 году с использованием метода неупругого рассеяния нейтронов, позволившего непосредственно измерить нормальные моды колебаний кристалла [6].
Необходимо подчеркнуть, что экспериментальное подтверждение существования любых квантовых объектов, включая квазичастицы, в строгом смысле всегда носит косвенный характер. Эксперимент непосредственно регистрирует не «частицу как таковую», а предсказанные теорией измеримые эффекты, такие, например, как спектральные линии, сдвиги частот, законы дисперсии, особенности рассеяния и т.д. При этом результат переходит в разряд надёжного научного факта только тогда, когда он воспроизводится в той же или эквивалентной постановке в других лабораториях.
Другой необходимый нам термин «экситон» также возникает в работах Я.И. Френкеля как нейтральный квант электронного возбуждения кристалла – «волна возбуждения», переносящая энергию по решётке без переноса электрического заряда. В своей ставшей классической двухтомной монографии «Волновая механика» Френкель заложил основы волновой теории элементарных частиц. Здесь он использовал уравнение Шрёдингера как основной закон динамики микрочастиц в состояниях волновых функций. Разработанная Френкелем модель экситона во многом остаётся неизменной и в наши дни [7].
Современная физика определяет экситон как квазичастицу, возникающую в полупроводнике или диэлектрике при возбуждении электрона из валентной зоны на энергетически более высокий уровень в проводящую зону. Здесь электрон также выступает в роли квазичастицы, обладая «эффективной массой». В свою очередь, «дырка» – это абстракция, описывающая незаполненную валентную связь, проявляющую себя как положительный заряд, по абсолютной величине равный заряду электрона.
Модель экситона можно условно представить себе в виде системы из связанной пары, состоящей из отрицательно заряженного электрона и положительно заряженной дырки (рис. 2).
![Рис. 2. Упрощённая схема модели экситона как связанной пары электрон–дырка [8]](/images_soel/publications/2026/2026-4/2026456-02.jpg)
В отличие от свободных электронов, экситон не переносит заряд, так как он нейтрален (электрон и дырка компенсируют друг друга). Он просто перемещает энергию возбуждения по кристаллу.
Понять смысл абстракции такой связанной пары можно на простом примере. Допустим, в кинотеатре человек встал и ушёл с очень удобного места. Образовалось пустое кресло. На него пересел другой зритель с неудобного для него кресла. Образовалось другое свободное кресло. Однако на новое свободное кресло пересел человек, занимавший плохое кресло в последнем ряду. Несмотря на то что конкретного пронумерованного объекта «пустое место» не существует, в реальном движении системы «зрители – посадочные места» оно ведёт себя как самостоятельный переносимый объект. Это похоже на ситуацию в кристалле, когда электрон покидает валентную зону. Оставленное им незаполненное состояние удобно описывать как «свободное место – дырку» с положительным зарядом. При этом в реальном эксперименте можно зарегистрировать не саму дырку как таковую, а те изменения, которые произошли в системе в результате ухода электрона, например, проводимость, оптическое поглощение, эффект Холла и другие измеряемые величины.
Экситон является квазичастицей, но при этом он формально может быть отнесён к классу бозонов, которые определяются как частица со спином, равным целому числу. Это связано с тем, что экситон состоит из двух фермионов: электрона и дырки с суммарным спином (1/2+1/2).
Важно отметить, что время жизни экситона обычно не превышает 10 нс. По истечении этого времени электрон и дырка рекомбинируются, и экситон передаёт свою энергию кристаллической решётке или излучает квант света (фотон).
В середине 1950-х годов Евгений Фёдорович Гросс в ленинградском ФТИ имени А.Ф. Иоффе исследовал тонкую структуру оптического поглощения в кристаллах Cu2O. Известно, что если в кристалле есть связанный электрон-дырочный комплекс, то энергия его уровней квантована, и в спектре поглощения появляются узкие линии, характерные для экситона. Именно такие узкие линии поглощения, соответствующие «главной серии» уровней связанного состояния электрон-дырка, зафиксировал Евгений Гросс, что было одним из первых убедительных экспериментальных подтверждений модели экситона, описанной Френкелем [9].
Более подробное описание экситонов можно найти в работе [10].
Поляритоны
Известный советский физик Кирилл Борисович Толпыго теоретически предсказал существование гибридных состояний, возникающих при взаимодействии электромагнитных волн с вибрациями ионной кристаллической решётки. В своей работе для описания связанных состояний фотонов и оптических фононов К.Б. Толпыго использовал термин «световые экситоны». Здесь он впервые вывел уравнения, описывающие спектр этих гибридных структур в рамках классической теории ионных кристаллов. Полный текст доступен в архивах РАН и библиотеке «Института физики поверхности» [11].
Эта работа К.Б. Толпыго, опубликованная в 1950 г., послужила в качестве отправной точки для теории поляритонов, разработанной Джоном Хопфилдом в 1958 г. В своей теории Д. Хопфилд рассмотрел квантовое поле, создаваемое экситоном, которое может принимать «поляризационную» конфигурацию, способную смешиваться с фотонным полем. Минимальные неделимые частицы (кванты) такого «поляризационного поля» Хопфилд назвал «Polaritons». Таким образом, только в 1958 году впервые появился термин «поляритон» [12], поэтому в хронологическом описании оригинальных работ, опубликованных до 1958 года, мы не будем его использовать.
Возвращаясь к работам К.Б. Толпыго, отметим, что он пытался объяснить, почему в некоторых ионных кристаллах, таких, например, как NaCl, KCl, KBr, LiF, свет ведёт себя необычно. Результаты многочисленных экспериментов показывали, что в инфракрасном диапазоне спектры отражения и поглощения таких кристаллов содержат особую область очень сильного отражения, получившую название «Reststrahlen Band» [13].
Частотный диапазон Reststrahlen (от нем. Rest – остаток, Strahlen – излучение) – это диапазон частот в инфракрасной области спектра, где кристалл почти полностью отражает падающее излучение и почти не пропускает его.
С физической точки зрения это узкая область частот между поперечной и продольной оптическими фононными модами ионного кристалла, в которой электромагнитная волна не может распространяться непосредственно внутри вещества, а превращается практически в поверхностное электромагнитное поле. В этой полосе коэффициент отражения близок к единице, а поглощение и преломление ведут себя аномально.
Это явление нельзя было объяснить ни обычной теорией распространения света, ни моделью независимых колебаний решётки.
В современной физике твёрдого тела Reststrahlen Band определяется как «диапазон частот вблизи резонанса колебаний решётки, где отражательная способность кристалла резко возрастает» [14].
В своих расчётах Кирилл Толпыго исходил из того, что ионы в кристалле могут смещаться и деформироваться, создавая динамическую электрическую поляризацию. Поэтому проходящая через кристалл электромагнитная волна неизбежно начинает взаимодействовать с этими колебаниями. Используя модель относительного смещения ионов в полярном кристалле под действием электрического поля, а также уравнения Максвела, он обнаружил, что для диапазона в районе собственных частот колебаний решётки решение уравнений возможно, если вводится новое гибридное состояние, определяющее связанную волну, в которой диэлектрическая проницаемость, электромагнитная волна и фононные колебания необходимо рассматривать совокупно.
Впервые именно Кирилл Толпыго получил дисперсионные соотношения для таких связанных состояний в ионных кристаллах. Таким образом, можно говорить, что в этой статье впервые было теоретически описано явление, которое сегодня известно как фононные поляритоны (Phonon Polaritons) [15].
В упрощённом виде механизм образования фононных поляритонов можно представить себе следующим образом. Свет, попадая в кристалл, начинает «раскачивать» ионы кристаллической решётки. Колеблющиеся ионы, в свою очередь, переизлучают электромагнитное поле. В результате возникает единая гибридная волна, обладающая свойствами как света, так и колебаний решётки.
Независимое подтверждение этой идеи появилось уже через год. Китайский физик Хуан Кунь (Huang Kun) также моделировал взаимодействие длинноволновых колебаний решётки с электромагнитным полем и пришёл к аналогичным выводам [16].
Экспериментальное подтверждение существования фонон-поляритонов было получено в начале 1960-х годов методами инфракрасной и рамановской спектроскопии в ионных кристаллах.
Одними из первых таких экспериментов стали исследования инфракрасных спектров полярных кристаллов, выполненные учёными Шпицером (W.G. Spitzer) и Клейнманом (D.A. Kleinman) [17].
Авторы исследовали инфракрасные полосы в спектрах отражения и пропускания поляризованного света кристаллической решетки α-кварца при 297K. Было показано, что теория дисперсии может аппроксимировать экспериментальные данные в пределах погрешности во всём диапазоне измеренных частот (5–37 мкм). При этом в области Reststrahlen Band вместо простого пересечения фотонной и фононной дисперсий возникает их расщепление (Anticrossing). В результате формируются две новые ветви: верхняя и нижняя поляритонные моды, разделённые частотным интервалом, где практически не существуют распространяющиеся в кристалле электромагнитные волны.
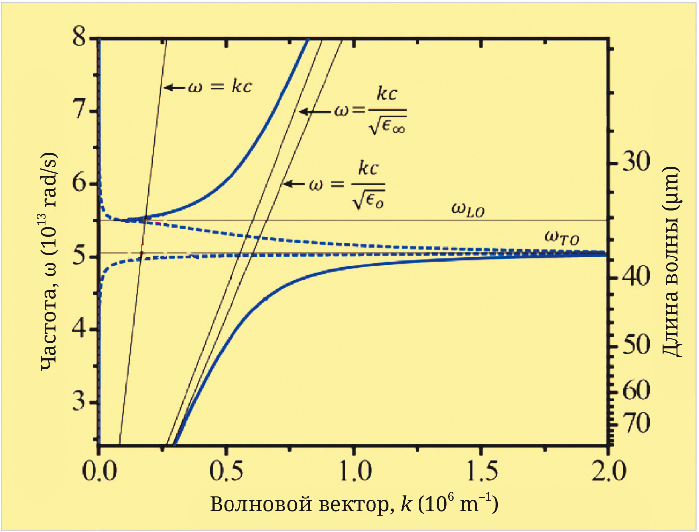
Типичная дисперсионная зависимость в современной трактовке теории фонон-поляритонов показана на рис. 3 [13].

При взаимодействии электромагнитной волны с оптическим фононом формируются две новые ветви: нижняя и верхняя поляритонные моды, разделённые частотным разрывом.
Две ветви, обозначенные сплошной синей линией, представляют собой действительную часть волнового вектора k, а пунктирная синяя линия – мнимую часть. Между энергиями фононов TO и LO действительная часть волнового вектора не имеет допустимых значений энергии, в то время как мнимая часть заметно больше. Это указывает на то, что фононный поляритон является эванесцентной, нераспространяющейся волной в этой области. При этом действительная диэлектрическая проницаемость материала отрицательна, а мнимая диэлектрическая проницаемость велика, что объясняется сильной связью между светом и колебаниями решётки в ионных кристаллах. Раздвоение дисперсионного спектра и явный разрыв между ними являются одними из базовых характеристик поляритонов.
В современной физике «фононные поляритоны» означают гибрид электромагнитной волны и колебания кристаллической решетки, возникающие при взаимодействии инфракрасного фотона и оптического фонона и сочетающие в себе свойства обеих частиц.
Открытие второго типа гибридных фотонных поляритонов, позже получивших название «экситон-поляритоны», берёт свое начало в 1957 году, когда советский физик-теоретик Соломон Исаакович Пекар в первой редакции своей «Теории электромагнитных волн в кристалле» описал возникновение дополнительных «световых волн», частоты которых были близки к области экситонного поглощения [18]. Через год эта статья была перепечатана в английском варианте в журнале Journal of Physics and Chemistry of Solids [19]. Таким образом, эта работа С. Пекара сразу стала известной как в СССР, так и в других странах мира.
Задача Соломона Пекара заключалась в том, чтобы объяснить, что именно происходит, когда свет начинает резонансно взаимодействовать с электрически нейтральными квазичастицами, представляющими собой связанную кулоновскими силами пару электрон-дырка (экситон).
Оказалось, что в этом случае возникает несколько разных световых волн с одной и той же частотой, но с разными показателями преломления и разной глубиной проникновения. Поэтому в данной ситуации перестают работать обычные уравнения с простой классической формулой диэлектрической проницаемости, которые использовались в то время.
Необходимо было построить теорию взаимодействия электромагнитных волн в кристалле с экситонами, которая учитывала бы пространственную дисперсию и объясняла бы, какие типы волн вообще могут существовать в этой резонансной области.
В своей теоретической модели Соломон Пекар пошёл дальше Кирилла Толпыго, использовав уравнения Максвелла с учётом экситонного вклада в поляризацию световых волн. Пекар обнаружил, что одна часть образующихся волн ведёт себя как обычный свет в кристалле, а другая часть может быть описана как некие гибридные волны, где поле и экситонная поляризация неразрывно связаны.
В кристаллооптике конца 1950-х предполагалось, что при прохождении света через кристалл при заданном направлении распространения существуют лишь две поперечные волны, характеризующие обычное двупреломление. Однако С.И. Пекар показал, что в диапазоне частот, близких к экситонному резонансу, такой подход не является оптимальным и необходимо учитывать пространственную дисперсию ε(ω, k), определяющую зависимость диэлектрической проницаемости не только от частоты света, но и от его волнового вектора. В своей модели он учёл макроскопическую поляризацию с помощью тензора, описывающего вклад экситона. Для конечного времени жизни экситона Пекар ввёл в формулу эффективной диэлектрической проницаемости малую мнимую часть. Без учёта вклада экситона уравнения Максвелла дают простое решение квадратичного уравнения с двумя корнями (две волны). С учётом вклада экситона вблизи резонансных частот появляются дополнительные корни, соответствующие добавочным световым волнам. Анализ этих решений показал, что для кристаллов с центром симметрии при определённой поляризации возникают две поперечные волны с одинаковой поляризацией, но разными показателями преломления nминус и nплюс. В случае вырожденных главных осей вблизи экситонной полосы появляются четыре поперечные волны. При этом исчезает «обычная», не взаимодействующая с экситоном волна.
Следует обратить внимание на замечание С. Пекара о том, что появление добавочных волн не является общим следствием любой пространственной дисперсии. Для большинства других механизмов, таких, например, как обычные неэкситонные полосы поглощения, плазма и магнитная плазма, влияние ε(ω, k) сильно деформирует дисперсию, но число волн при этом не увеличивается.
Практически С. Пекар первым сформулировал понятие «дополнительные волны» как гибридные решения для «световых экситонов», в которых экситон и свет образуют единый связанный объект, где энергия непрерывно перетекает между электромагнитным полем и экситонным возбуждением. Эти световые экситоны Пекара были тем гибридным образованием, которое позже стали называть экситон-поляритонами.
Ценным в этой работе является доказательство того, что такие гибридные волны существуют благодаря малой «эффективной массе» экситона, что обусловливает быстрый рост зависимости их волнового вектора от частоты. Теоретическая кривая дисперсии экситонных поляритонов заметно отличается от дисперсии обычного света из-за сильного взаимодействия с колебаниями электронов.
Теория Пекара вызвала широкий интерес в научном мире. Молодой физик из «Лаборатории Белла» Джон Хопфилд в декабре 1958 года опубликовал статью [20], в которой он прямо ссылается на основную работу Пекара [18]. В своей статье Хопфилд придал теории Пекара строгую квантово-полевую форму и ввёл для смешанных свет-вещество состояний новый термин «Polariton». Он рассмотрел взаимодействие фотонного поля света с квантованным полем поляризации и назвал кванты этого поля поляритонами. Важным является то, как Хопфилд показал, что экситон-фотонный гамильтониан имеет тот же вид, что у поляритонов. Поэтому экситоны являются физическим примером общего класса поляритонов. Иными словами, смешанные свет-вещество моды, описанные С. Пекаром на математическом и физическом уровнях, Хопфилд облёк в компактную каноническую формулировку, которой дал общее название.
Отметим, что это была одна из первых работ Джона Хопфилда, написанная им в возрасте 25 лет. В дальнейшем он переключился на другие области исследований и в 2024 году получил Нобелевскую премию за создание ассоциативной нейронной сети, способной хранить и восстанавливать большие шаблоны данных.
Теория С.И. Пекара развивается и сегодня. Например, в [20] рассмотрены варианты решений «уравнений Ландау-Пекара» доказывающие существование дозвуковых бегущих волн.
Теория аномальных дополнительных световых волн в кристаллах, разработанная С.И. Пекаром, концептуально была близка идеям И.Е. Тамма, опубликованным в 1932 г. Однако эти направления развивались независимо, и Соломон Пекар не работал непосредственно с Игорем Таммом и не ссылался прямо на его статьи. Вместе с тем подход Пекара естественным образом вписывается в теоретические работы учителя Тамма Л.И. Мандельштама и его ученика В.Л. Гинзбурга. В своих статьях Гинзбург ссылается на теорию Пекара [21, 22]. В свою очередь, С. Пекар цитирует статью Анри Амвросьевича Рухадзе, ученика Игоря Тамма [23].
Экспериментальное доказательство существования описанных выше дополнительных аномальных световых волн в кристалле в области экситонного поглощения было продемонстрировано в работе М.С. Бродина и С.И. Пекара в 1960 году [24].
В своих экспериментах авторы использовали достаточно простой, но оригинальный метод. Они измеряли интенсивность света, прошедшего через тонкую пластинку антрацена при криогенных температурах (T = 20 K) в зависимости от её толщины. Результаты этих измерений показаны на рис. 4.

По оси ординат отложены значения десятичного логарифма отношения J/J0, где J0 – интенсивность прошедшего света при частоте, расположенной рядом с линией, J – интенсивность прошедшего света с частотой, попадающей внутрь линии.
В этих опытах использовались пластины различной толщины от 0,01 до 0,3 мкм. Чёрные точки с погрешностями соответствуют результатам тридцати независимых измерений на разных кристаллах. Сглаженная кривая показывает чёткие осцилляции интенсивности с периодом по толщине примерно 0,058 мкм. Если бы в кристалле существовала только одна световая волна с конкретной поляризацией, то интенсивность прошедшего через пластину света должна была бы уменьшаться с толщиной по чисто экспоненциальному закону без всяких всплесков.
На рис. 4 вместо этого наблюдаются выраженные осцилляции при изменении толщины, обусловленные тем, что вблизи экситонного резонанса (25200 см–1) свет в антрацене распадается не на одну, а на две волны одной и той же поляризации, но с разными комплексными показателями преломления. Из периода осцилляций Δl ≈ 0,058 мкм следует, что разность показателей преломления этих волн составляет примерно 6,9. Эта величина аномально большая для случая одной и той же поляризации и направления распространения.
В 1965 году В.М. Агранович и В.Л. Гинзбург в своей монографии выполнили системное объединение рассмотренных выше направлений в рамках кристаллооптики с учётом пространственной дисперсии и теории экситонов [25]. Кроме того, в книге подробно рассмотрен оптический метод исследования, состоящий в изучении поглощения и дисперсии света в диэлектриках, полупроводниках и металлах, который является одним из основных методов физики твёрдого тела. Это была первая в мировой литературе монография, где дано последовательное изложение кристаллооптики с учётом пространственной дисперсии в связи с теорией экситонов.
С развитием спектрометрических методов исследований были получены уникальные экспериментальные данные, позволившие получить новые характеристики волн Пекара.
Одним из наиболее известных проектов такого рода стала работа объединённой группы учёных из различных институтов АН СССР [26]. В этом эксперименте монохроматический свет перестраиваемого лазера на красителе (Coumarin 152A, длительность импульса 6 нс) направлялся на тонкий клиновидный кристалл CdS толщиной 0,7 мкм, охлаждённый до 1,8K. Схема установки для исследования дополнительных волн Пекара приведена на рис. 5.
В таблице приведено описание сокращений и обозначений, показанных на рис. 5.

При прохождении света в кристалле возбуждались две поляритонные моды. Благодаря клиновидной форме образца выходящие лучи распространялись под разными углами и наблюдались раздельно в виде двух световых пятен. Именно это пространственное разделение послужило убедительным экспериментальным подтверждением существования волн Пекара и одновременно подтвердило теорию преломления света в кристаллическом клине с учётом пространственной дисперсии.
Современная трактовка поляритонов в упрощённом виде выглядит следующим образом. Поляритоны представляют собой волны света, настолько прочно связанные с колебаниями кристаллической решётки (фононные поляритоны) или электронов (экситонные поляритоны), что невозможно определить, где кончается свет и начинается вещество.
В качестве грубой аналогии поляритона можно привести известный пример из курса общей электроники. Предположим, что у нас есть LC-контур, где индуктивность L – это инерция электронов кристалла, а ёмкость C – упругость решётки. Контур будет играть в этом примере роль кристалла. Обычно свет (электромагнитная волна) проходит через кристалл, раскачивая эти колебания, но сохраняя свою скорость и частоту. Если поместить кристалл (наш контур) между двумя синхронно работающими на одной частоте генераторами, то интенсивность колебаний будет постепенно возрастать. При усилении связи частоты раздваиваются: одна уходит выше (синфазная), другая ниже (антифазная).
Аналогичная картина наблюдается в дисперсионных графиках экситон-поляритонов.
В более строгом общем виде можно сказать, что поляритоны – это квазичастицы с эффективной массой порядка 10–35 кг и временем жизни в несколько пикосекунд, которые представляют собой когерентные суперпозиции фотонов и дипольных возбуждений кристаллической решётки (экситонов, оптических фононов, плазмонов и др.), возникающие в режиме сильной связи света с веществом.
Несмотря на то что сегодня общая теория поляритонов достаточно хорошо разработана, остаётся ещё много белых пятен, связанных с механизмами их возникновения, распространения и взаимодействия с веществом.
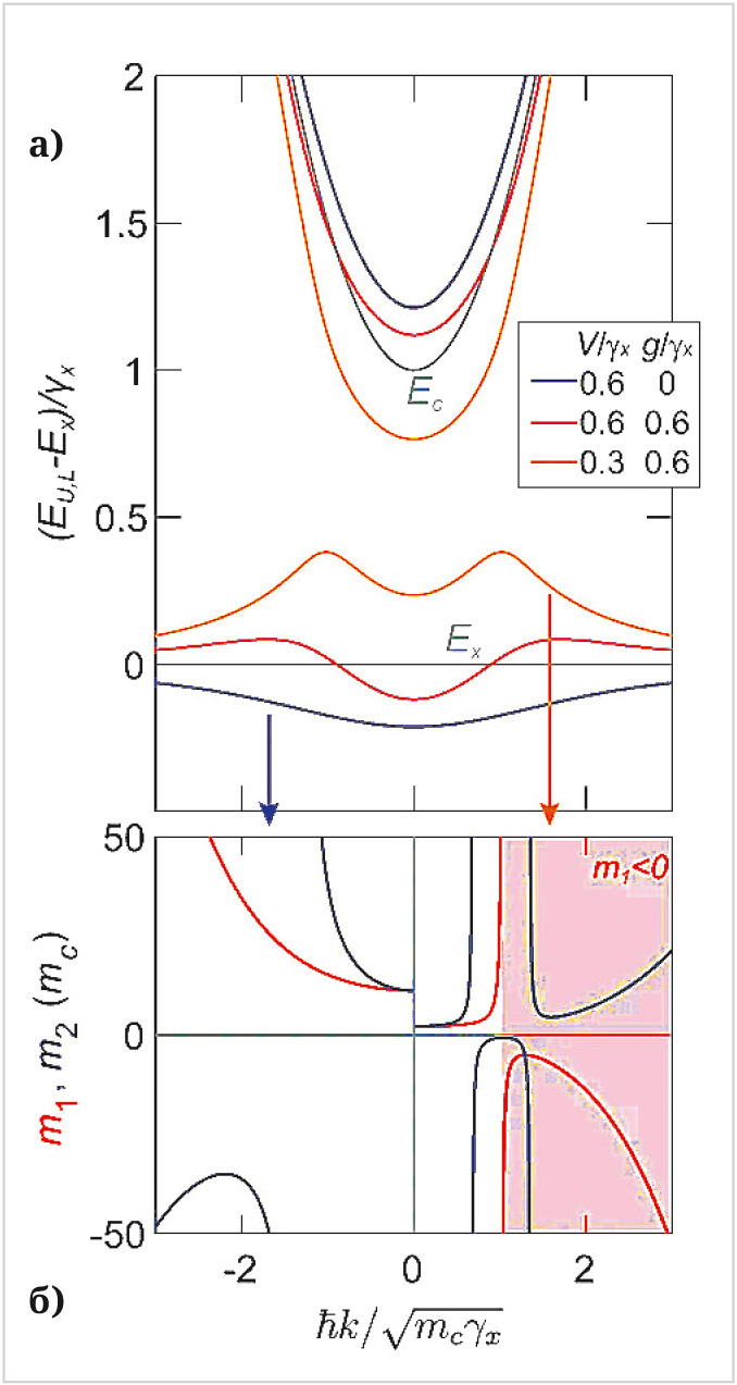
В качестве примера, иллюстрирующего на современном уровне (2023 г.) свойства экситон-поляритонов, можно привести работу, где используется микрорезонатор, в котором свет многократно отражается между зеркалами, образуя резонаторную фотонную моду с собственной дисперсией [27].

На рис. 6а показаны расчётные дисперсионные зависимости верхней и нижней поляритонных ветвей при разных соотношениях когерентной и диссипативной связи света с экситонным возбуждением [27]. Здесь использованы следующие обозначения: mc – эффективная масса фотона микрорезонатора; V/γx – сила обычной когерентной связи свет-вещество; g/γx – сила диссипативной связи; EU – энергия верхней ветви (Upper Polariton); EL – энергия нижней ветви (Lower Polariton); Ex – энергия «чистого» экситона. Все величины нормированы на экситонную ширину линии γx. Энергия верхней и нижней поляритонных ветвей EU, L за вычетом энергии экситона (EU, L – Ex)/γx показывает относительное расположение поляритонных ветвей. Таким образом, по вертикальной оси на рис. 6a отложено не абсолютное значение энергии, а величина, показывающая то, насколько ветвь поляритона лежит выше или ниже экситонного уровня в единицах экситонной ширины линии.
Тонкими чёрными линиями показаны невзаимодействующие моды экситона (Ex) и фотона микрорезонатора (Ec). Видно, что при усилении диссипативной составляющей связи нижняя поляритонная ветвь деформируется, а вблизи некоторого диапазона волновых векторов возникает аномальный «инвертированный» участок дисперсии.
Когда свет «сильно взаимодействует» с возбуждением вещества (экситонным или фононным), их собственные частоты уже не пересекаются, а «отталкиваются» друг от друга (Anticrossing). Вместо одной точки пересечения возникает зазор (Rabi Splitting). Если этот зазор больше потерь в системе, значит, реализован режим «сильного взаимодействия» (Strong Coupling). В этом случае возникают новые смешанные состояния света и вещества (Polaritons).
В дисперсионном спектре отчётливо видны две раздельные кривые. Нижняя волна обусловлена большей частью «экситонным возбуждением». Верхняя волна по своим параметрам ближе к световой. Обе волны в совокупности – это поляритон.
Следует обратить внимание на то, что при заметной роли диссипативной связи форма нижней ветви может существенно изменяться. На её дисперсионной зависимости появляется инвертированный участок. Иными словами, система ведёт себя уже не как обычный экситон-поляритон, а как более сложная гибридная квазичастица, для которой потери и рассеяние становятся не просто помехой, а фактором, меняющим сам закон движения.
Рис. 6б является иллюстрацией того, как эффективная масса нижней поляритонной ветви (m1) определяет знак групповой скорости, а (m2) связана с кривизной дисперсии. В заштрихованной области величина (m1) становится отрицательной, что соответствует режиму отрицательной эффективной массы. Это означает, что групповая скорость квазичастицы может быть направлена противоположно её импульсу. Здесь мы имеем дело не с «уникальным экзотическим явлением», а с ещё одним проявлением общей теории поляритонов. При достаточно сильной гибридизации света и вещества рождаются новые квазичастицы с качественно иными свойствами, которых не было ни у чисто фотонной, ни у чисто экситонной подсистемы по отдельности. Именно в этом смысле экситон-поляритоны и фонон-поляритоны можно рассматривать как частные реализации единого фундаментального механизма: образования смешанных свет-вещественных мод.
В 1986 году спустя почти тридцать лет после первой публикации волны Пекара официально были зарегистрированы в качестве научного открытия: «явление распространения добавочных световых волн в кристаллах» с приоритетом № 323 от 23 мая 1957 года [28].
На этом можно считать завершившимся первый исторический этап развития теории и эксперимента поляритонов. Важнейшим результатом этого этапа можно считать вывод о том, что различные типы поляритонов представляют собой частные проявления одного и того же фундаментального физического механизма: гибридизации света с коллективными возбуждениями в веществе.
На следующем витке развития в 2000-х годах будут открыты новые типы: магнон-поляритон, брэгговский поляритон, поляритон Ридберга, плазмон-поляритон Тамма. Эти вопросы планируется рассмотреть в следующих номерах журнала.
Литература
- Landau L.D. The Theory of Superfluidity of Helium II. Journal of Physics USSR, 5, 71–90 (1941). URL: https://www.ujp.bitp.kiev.ua/files/journals/5/1941/5_1941_1.pdf.
- Landsberg G., Mandelstam L. Über die Lichtzerstreuung in Kristallen. Zeitschrift für Physik, 1928, Bd. 50, S. 769–780. URL: https://doi.org/10.1007/BF01339412.
- Tamm I. Über die Quantentheorie der molekularen Lichtzerstreuung in festen Körpern Zeitschrift für Physik (Zs. f. Ph.). 60, 345, 1930). URL: https://elib.biblioatom.ru/text/tamm_sobranie-trudov_t1_1975/p168/.
- Frenkel J. Wave Mechanics: Elementary Theory, Oxford: Clarendon Press, 1932, URL: https://www.hlevkin.com/hlevkin/90MathPhysBioBooks/Physics/Physics/QuantumMechanics/Frankel.Wave-Mac....
- Phonon: Definition, Quantization, and Equations Science facts. URL: https://www.sciencefacts.net/phonon.html.
- Brockhouse B.N. Neutron Scattering and the Frequency Distribution of the Normal Modes of Vanadium Metal, Canadian Journal of Physics, 1955, Vol. 33, No. 12, pp. 889–891, URL: https://cdnsciencepub.com/doi/10.1139/p55-110.
- Френкель Я.И. Волновая механика. М.: ОНТИ-ГТТИ, 1934. URL: https://www.phantastike.com/science/volnovaya_mehanika_1/djvu/view/.
- Okinawa Institute of Science and Technology Scientists capture first ever image of an electron's orbit within an exciton. URL: https://phys.org/news/2021-04-scientists-capture-image-electron-orbit.html.
- Gross E.F. Excitons in Cu2O. Soviet Physics – JETP, 1, 132–140 (1955). URL: https://jetp.ras.ru/cgi-bin/dn/e_001_01_0132.pdf.
- Excitons – Types, Energy Transfer. URL: https://ocw.mit.edu/courses/6-973-organic-optoelectronics-spring-2003/a21ecb66b23810fe38494f233489db....
- Толпыго К.Б. Динамика кристаллических решёток с учётом запаздывания в оптических колебаниях. Доклады Академии Наук СССР (ДАН СССР), 1950, т. 72. № 5. С. 989–992. URL: https://search.rsl.ru/ru/record/01003386293.
- Hopfield J.J. Theory of the contribution of excitons to the complex dielectric constant of crystals. Physical Review, 1958, v. 112, № 5, pp. 1555–1567. URL: https://doi.org/10.1103/PhysRev.112.1555.
- Streyer W.H. Reststrahlen band optics for the advancement of far-infrared optical architecture (University of Illinois at Urbana-Champaign), 2016. URL: https://www.ideals.illinois.edu/items/98482.
- Zhao S., Ribbing C-G. Options for reststrahlen materials in optical surfaces and filters. Chinese Optics Letters, 2010, Vol. 8 (Suppl.). URL:https://www.diva-portal.org/smash/get/diva2%3A466544/FULLTEXT01.pdf.
- Толпыго К.Б. Физические свойства решетки соли типа каменной, построенной из деформируемых ионов // Журнал экспериментальной и теоретической физики. 1950, т. 20. № 6. С. 497–509. URL: https://elibrary.ru/item.asp?id=34413163.
- Huang K. On the interaction between the radiation field and ionic crystals. Proceedings of the Royal Society A, 1951, Vol. 208, p. 352–365. URL: https://doi.org/10.1098/rspa.1951.0166.
- Spitzer W.G., Kleinman D.A. Infrared Lattice Bands of Quartz. Phys. Rev. 121, 1324, 1961. URL: https://journals.aps.org/pr/abstract/10.1103/PhysRev.121.1324.
- Pekar S.I. The theory of electromagnetic waves in a crystal in which excitons are produced. J. Exptl. Theoret. Phys. 33, 1022–1036 (October, 1957) / пер.: Пекар С.И. Теория электромагнитных волн в кристалле, в котором возникают экситоны. Soviet Physics Jetp, V 6 (33) n 4, 1958. URL: https://jetp.ras.ru/cgi-bin/dn/e_006_04_0785.pdf.
- Pekar S.I. Theory of electromagnetic waves in a crystal with excitons. Journal of Physics and Chemistry of Solids, 1958, Vol. 5, Issues 1–2, pp. 11–22. URL: https://www.sciencedirect.com/science/article/abs/pii/0022369758901276.
- Hopfield J.J. Theory of the contribution of excitons to the complex dielectric constant of crystals. Physical Review, 1958, v. 112, № 5, pp. 1555–1567. URL: https://doi.org/10.1103/PhysRev.112.1555.
- Ginzburg V.L. Electromagnetic Waves in Isotropic and Crystalline Media Characterized by Dielectric Permittivity with Spatial Dispersion // Soviet Physics JETP, 1958, Vol. 7, No. 6, pp. 1096–1105. URL: https://jetp.ras.ru/cgi-bin/dn/e_007_06_1096.pdf.
- Agranovich V.M., Ginzburg V.L. Crystal Optics with Allowance for Spatial Dispersion; Exciton Theory. I // Soviet Physics Uspekhi, 1962, Vol. 5, No. 2, pp. 323–346. URL: https://ufn.ru/ufn62/ufn62_2/ufn622i.pdf.
- Agranovich V.M., Rukhadze A.A. On the Propagation of Electromagnetic Waves in a Medium with Appreciable Spatial Dispersion // Soviet Physics JETP, 1959, Vol. 8, No. 4, pp. 685–686. URL: https://jetp.ras.ru/cgi-bin/dn/e_008_04_0685.pdf.
- Brodin M.S., Pekar S.I. On an experimental demonstration of the existence of additional anomalous light waves in a crystal in the exciton absorption region. SOVIET PHYSICS JETP v1, # 1, 1960. URL: https://www.jetp.ras.ru/cgi-bin/dn/e_011_01_0055.pdf.
- Агранович В.М., Гинзбург В.Л. Кристаллооптика с учётом пространственной дисперсии и теория экситонов. М.: Наука, 1965. 374 с. URL: https://www.geokniga.org/books/12112.
- Demidenko A.A., Lebedev M.V., Pekar S.I., Strashnikova M.I., Timofeev V.B., Tsekvava B.E. Light transmission through a CdS crystal wedge with allowance for additional light waves. Zh. Eksp. Teor. Fiz. 89, 330–335 (July 1985). URL: https://jetp.ras.ru/cgi-bin/dn/e_062_01_0185.pdf.
- Wurdack M. et al. Negative-mass exciton polaritons induced by dissipative light-matter coupling in an atomically thin semiconductor. Nature Communications,14,1026, February 2023. URL: https://www.nature.com/articles/s41467-023-36618-6.
- Пекар С.И. Научное открытие «Явление распространения добавочных световых волн (волн Пекара) в кристаллах». Номер и дата приоритета: № 323 от 23 мая 1957 г. Дата регистрации: 4 декабря 1986 г. URL: https://ross-nauka.narod.ru/06/06-323.html.
Если вам понравился материал, кликните значок — вы поможете нам узнать, каким статьям и новостям следует отдавать предпочтение. Если вы хотите обсудить материал —не стесняйтесь оставлять свои комментарии : возможно, они будут полезны другим нашим читателям!

