Двигатель экономики – торговля, двигатель торговли – инновация. Важнейший субъект инновации – энергетика, главный инструмент энергетики – электроника, следовательно, «кровь» экономики – это электроника (сегодня экспортная доля отечественной микроэлектроники на мировом рынке менее 0,1%).
Инновация – это, прежде всего, незаурядная идея (чаще – открытие), воплощённая в новых свойствах материала, уникальной прорывной технологии и, в конечном счёте, – в продукте, которого нет на мировом рынке, но который обладает высокой конкурентоспособностью и спросом, прежде всего, на рынках развитых стран: США, Германии, Великобритании, Японии.
Ни для кого не секрет, что мировая электроника, как инструмент энергетики, развивается по трём основным направлениям: температура, скорость и мощность.
1. К 2015 году в России и за рубежом появятся первые серийные электронные компоненты с рабочей температурой +250°С, значительная заслуга в этом принадлежит интернациональной команде, создающей новую мировую LPE i-GaAs индустрию.
В 2018–2020 гг. рабочая температура рыночной ЭКБ удвоится и достигнет значений до +500…+600°С на AIIIBV/AIVBIV.
К 2025 году появится серия ЭКБ на углероде с преодолением рубежа +900…+1000°С.
2. Частотный диапазон в полупроводниковой электронике в текущем десятилетии резко расширится – до миллиарда терагерц и выше. В настоящее время получены экспериментальные кремниевые транзисторы с излучением в радиоактивном, рентгеновском диапазоне (плазменные кремниевые транзисторы).
3. Созданы экспериментальные образцы лазерных излучателей на основе AIIIBV с фантастическими значениями генерации импульсной мощности до 1023 Вт/см2 (за 10–14 с, да ещё в придачу с миллионами атмосфер давления).
4. За рубежом в 2013 году микроэлектроника впервые шагнула в литографическую наноэлектронику (созданы первые опытные FinFET с минимальным размером элемента – 7 нм).
5. Тактовая частота в цифровой технике за рубежом давно превысила уровень один терагерц и, видимо, в текущем десятилетии достигнет значений до 10 000 ГГц, в т.ч. на оптической памяти.
Вышеперечисленные, а также другие современные технологии, вполне вероятно, приблизят нас к управляемым термоядерным реакциям, замене нефти на воду, квантовой безвредной терапии человеческого организма на частоте излучения его же органов и многим другим, исключительно важным открытиям и достижениям.
Именно поэтому ФЦП по развитию ЭКБ на последующие годы (до 2025 г.), которая будет являться преемственной по отношению к действующей ФЦП «Развитие электронной компонентной базы и радиоэлектроники на 2008–2015 гг.», должна отвечать этим вызовам.
Роль инновации, т.е. подавляющего опережения мирового уровня в стратегически важных направлениях, всем давно понятна, потому что это – цена суверенитета России. Так есть ли в России резервы для высокотехнологичных, инновационных прорывов? Многие ответят на этот вопрос без колебаний – инновационные возможности в России – огромные. Основой для этого является то обстоятельство, что у нас одна из лучших в мире академических школ. Фундаментальные исследования и наука РАН – это бесценное национальное достояние.
В основе проекта «Создание производства высокотемпературной, высоковольтной, силовой, фото- и СВЧ-гетероэлектроники на основе GaAs» лежат фундаментальные разработки в области СВЧ-гетероэлектроники талантливой группы учёных ФТИ им. А.Ф. Иоффе под руководством Ж.И. Алфёрова
Проектом предусматривается:
- создание нового сегмента на мировом рынке электроники – высокотемпературной, гиперскоростной, высоковольтной GaAs электроники;
- увеличение к 2025 г. экспортной доли отечественной электроники на мировом рынке на два порядка и более;
- дальнейшее обогащение зонной теории полупроводников.
Проект имеет четыре выраженных направления:
1) материал LPE i-GaAs и гетеросистемы на его основе;
2) ЭКБ силовой электроники;
3) СВЧ и терагерцевые приборы;
4) фотоника.
Специфика направлений проекта
Электрофизические свойства i-GaAs материала
LPE (Liquid Phase Epitaxy, жидкофазная эпитаксия) – технология GaAs монокристалла, легированного амфотерными атомами (т.е. атомами примеси, проявляющими свойства акцепторов и доноров в полупроводнике одновременно) IV группы таблицы Менделеева. Эта технология была разработана в середине 60-х годов прошлого столетия в Физико-техническом институте им. А.Ф. Иоффе (Санкт-Петербург). Фундаментальные основы жидкостной эпитаксии GaAs отражены в монографии [1].
Особенностью LPE-технологии, отличающей её от газовой или молекулярной эпитаксий, является низкотемпературный процесс кристаллизации GaAs моноэпитаксиальных слоёв с получением уникального сочетания свойств i-GaAs слоя – исключительно низкая дефектность (ниже чем одна дислокация/мм2, при плотности в GaAs подложке – от 105 см–2, высочайшая кристаллографическая однородность i-слоя, его высокая электропрочность (≥30 В/мкм), великолепные изоляционные свойства, высокая подвижность электронов и др.).
Вышеперечисленные ключевые свойства монокристаллических i-GaAs слоёв определяются высокой низкотемпературной растворимостью элементов IV группы таблицы Д.И. Менделеева в GaAs, их амфотерными свойствами (одновременное образование акцепторных и донорных уровней), в частности, атомов Si [2].
Атомы Si в LPE-процессе (как, впрочем, и Ge), в отличие от газового и молекулярного выращивания i-GaAs слоя, образуют в запрещённой зоне «неклассические» глубокие уровни с высокой энергией ионизации (согласно классической модели [3] GaAs, атомы кремния образуют мелкие донорные и акцепторные уровни с низкими значениями энергии ионизации – 0,007 эВ и 0,05 эВ, соответственно).
Кроме этого, в LPE i-GaAs технологии обнаружены не характерные для других видов эпитаксии новые глубокие рекомбинационные центры [4], которые вносят существенный вклад в характеристики GaAs-приборов. LPE i-GaAs технология является одним из оснований качественных изменений в мировой электронной индустрии. За последние полвека, благодаря заслугам Г. Ашкинази и В. Войтовича, LPE i-GaAs технология заметно изменилась и переросла из «графитовой» (по типу оснастки в реакторе) технологии Физтеха в «кварцевую», что привело к новым физическим открытиям в приборостроении (в частности, к COOL-диодам) и обогащению зонной теории полупроводников.
Зонная энергетическая диаграмма GaAs [3], легированного атомами кремния, выглядит следующим образом (см. рис. 1).

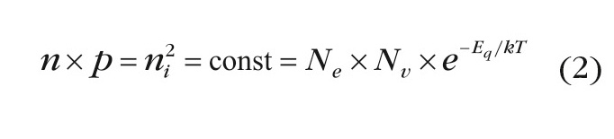
Из физики полупроводниковых приборов [3] известно, что значение энергии ионизации Боровской оболочной структуры электронной системы атома отталкивается от энергии ионизации элемента под № 1 таблицы Менделеева – водорода (H+), которая, как известно, равна 13,6 эВ (у атомов кремния энергия ионизации составляет 8,15 эВ). Значение энергии ионизации и акцепторной и донорной примеси в GaAs полупроводнике (Si, Ge, GaAs и др.) рассчитывается по формуле:

где ЕH – энергия ионизации атома водорода (ЕН = 13,6 эВ);
ε0 – диэлектрическая проницаемость вакуума;
εGaAs – диэлектрическая проницаемость GaAs (εGaAs = 10,9);
m0 и mэ – масса покоя и эффективная масса электрона.
Если рассмотреть ситуацию со значением энергии ионизации атомов Si в LPE i-GaAs через призму формулы (1) и энергетической диаграммы на рисунке 1, то надо искусственно занизить εGaAs в десятки раз, чтобы получить «классическое» значение энергии ионизации или «утопить» мелкие донорные и акцепторные уровни амфотерного Si – расположить их в глубине запрещённой зоны, т.е. около собственного химического потенциала – уровня Ферми (ЕF), расположенного в середине запрещённой зоны GaAs. В таком случае рисунок 1 преобразуется в рисунок 2.

Предполагается, что энергия ионизации амфотерных примесных атомов Si в LPE i-GaAs близка к значениям энергии ионизации примесей, создающих глубокие уровни в i-GaAs в обычном полу-изоляторе для СВЧ-применений и фотоники, таких как Cr, Fe, Ni, Ag, Au и др.
Есть основания предполагать, что в процессе кристаллизации GaAs с одновременным легированием амфотерными атомами Si атомов Ga (образование донорных центров) с последующим замещением атомами Si (расположенными в подрешётке Ga) атомов As с образованием акцепторных донорных уровней, связан, предположительно, резкий рост энергии ионизации акцепторной и донорной примеси в GaAs.
Как известно, каждый атом Ga окружён четырьмя атомами Ga (в форме тетраэдра), как, впрочем, и мышьяка. Суммарно обе подрешётки Ga и As образуют энергетически устойчивую кубическую кристаллографическую решётку GaAs-полупроводника, которая, в отличие от малоустойчивых гексагональных кристаллографических решёток политипов 4H, 6H–SiC (деградация из-за «SF-эффекта», слабая радиационная стойкость при концентрациях примеси <1017 см–3) или «коллапса» GaN при превышении рабочих напряжений HEMT USD ≥ 0,7Umax, характеризуется удвоенной температурой эксплуатации у LPE i-GaAs приборов в сравнении с гексагональными AIVBIV, AIIIBV или алмазоподобным кристаллическим кремнием.
Источником легирующей примеси в LPE-процессе являются продукты химической реакции кварца с водородом:

Растворённые в LPE GaAs атомы Si и монооксид кремния образуют в GaAs глубокие примесные центры.
В кристаллической решётке GaAs атомы Si располагаются в центрах тетра-эдров атомов подрешёток Ga и As, имея или одну свободную ковалентную связь (электрон в Ga-подрешётке), или ненасыщенную ковалентную связь (дырка в As-подрешётке). Но есть и особенности, предположительно заключающиеся в том, что в «кварцевом» LPE i-GaAs большую роль играют глубокие центры, образующие атомарным кислородом (O–2) на s-орбите два активных электрона с противоположными спинами. Потенциально может образоваться и новый субнаноатомный примесный кластер, который будет вести себя в GaAs, вероятно, аналогично элементам IV группы таблицы Менделеева, с той лишь разницей, что его примесная энергия ионизации может оказаться значительно большей, чем общепринятая и «расквартированная» в запрещённой зоне GaAs.
В LPE i-GaAs монокристалле наблюдаются допустимые отклонения от зонной теории полупроводников, которые и будут рассмотрены далее.
Аномалия закона действующих масс
Оппоненты иногда беспокоятся о работе этого закона в LPE i-GaAs. Углублённое рассмотрение свойств LPE i-GaAs, легированного атомами IV группы таблицы Менделеева и, в частности, амфотерными атомами Si, вызывает вопросы не только с позиции энергии ионизации акцепторной и донорной примесей, но и с позиции количественной оценки функциональной зависимости энергии ионизации амфотерной примеси Si в GaAs в зависимости от концентрации атомов Si в LPE i-GaAs. На основании изученных свойств поведения амфотерных атомов Ge в GaAs [1, 2] можно определиться и с закономерностью ионизации атомов Si в LPE i-GaAs, качественно она принимает вид, показанный на рисунке 3.

Из рисунка 3 следует, что закон действующих масс в LPE i-GaAs

работоспособен в зоне I и перестаёт быть таковым в зоне II (ni – собственная концентрация свободных носителей, Nc – плотность энергетических состояний в зоне проводимости Ne = 4,7 × 1017 cм–3, Nv – плотность состояний в валентной зоне Nv = 7,0 × 1017 cм–3). В зоне II произведение плотности состояний Ne × Nv < ND Si × NA Si и, в таком случае, надо внимательнее анализировать действие закона действующих масс (2).
В работе [2] показано, что качественный вид зонной диаграммы на рисунке 3 имеет право на существование на примере амфотерного Ge в GaAs:

при NGe (в GaAs) ≥ 3 × 1017 см–3.
Таким образом, при концентрации примеси в LPE i-GaAs выше чем 3 × 1017 см–3 свойства i-слоя GaAs трансформируются в n-тип полупроводника с электронной проводимостью, что абсолютно ожидаемо и поведением атомов Si в LPE i-GaAs. Авторы наблюдали ярко выраженную амфотерность атомов Si в GaAs вплоть до (9…10) × 1016 см–3.
Поскольку энергия ионизации атомов Si выше, чем у атомов Ge, при заметной разнице атомной массы (более чем в два раза) кремния по сравнению с атомами Ga, Ge, As, можно ожидать достаточно высокого значения уровня амфотерности кремния в GaAs (NSi/Ga/NSi/As=1 при N → 1018 cм–3), а это не что иное, как инвариантность энергетических уровней в запрещённой зоне GaAs.
Ситуация с амфотерностью будет ещё интереснее, если растворить в LPE i-GaAs одновременно атомы Si и Ge, что приведёт к новым физическим свойствам, точнее, фотонным свойствам LPE кристаллической решётки GaAs. С учётом «божественного» законодательства строгой кристаллографической периодичности кристаллизации твёрдых тел и стехиометрического расположения примесных атомов можно ожидать периодической очерёдности расположения атомов Si и Ge в LPE i-GaAs, за которой последует новая фотонная анизотропия и энергетическая периодичность распространения электромагнитных волн, кратных дислокации атомов Si и Ge в GaAs, что, в конечном счёте, выражается в фотонной модуляции кристалла несколькими волновыми hν(шаг Si, шаг Ge, энергии ионизации Еi Ge, Ei Si, энергии оптической зоны GaAs).
Исходя из вышесказанного, следует, что свойства LPE i-GaAs, легированного амфотерной примесью, будут исключительно сильно зависеть от концентрации амфотерной примеси, меняющейся энергии её ионизации, присутствия слабо изученных глубоких центров, образованных растворённым кислородом и другими элементами. Ионизированный определёнными пороговыми значениями hv бинарный квазиконденсат в бриллюэновских долинах по разные стороны оптической запрещённой зоны может создать вопросы к некоторым фундаментальным основам зонной теории физики полупроводников, в частности, к инжекционной модели построения приборов, базовому уравнению Шрёдингера и уравнению непрерывности. Эти вопросы кратко отражены далее.
Неравновесное состояние инжекционной теории Шокли, уравнений непрерывности и Шрёдингера в LPE i-GaAs и гетеросистем на его основе
Суперинжекция
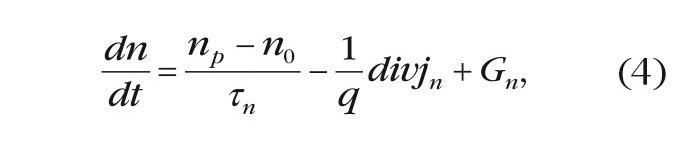
Жорес Алфёров и его коллеги из ФТИ им А.Ф. Иоффе в работе [5] показали обнаруженный ими эффект суперинжекции в гетеропереходах AlGaAs/GaAs n+-p-типа. Они продемонстрировали возможность инжекции в узкозонный материал с концентрацией электронов, превышающей их плотность в широкозонном материале (в сто раз и более), что отличается от традиционной моноориентированной Шокли-инжекции в p-n-переходах. Проблемная ситуация создаётся и для основы основ физики полупроводников – уравнения непрерывности.
Как известно, в общем случае движение носителей заряда в полупроводнике определяется не только процессами дрейфа или диффузии носителей заряда, но и временного изменения объёмной плотности (концентрации) неравновесных носителей заряда, обусловленной процессами генерации и рекомбинации носителей, т.е. во всём объёме полупроводника должен работать закон сохранения количества заряда:
где ρ – плотность заряда неосновных носителей, влияющая на дивергенцию (изменение) тока.
Но «слева» и «справа» в n+-p AlGaAs/GaAs переходе при суперинжекции это правило нарушается и, как следствие, нарушается и уравнение непрерывности:

где np – неравновесная концентрация электронов, q – элементарный заряд, Gn – генерационная составляющая, которая в данном случае пока остаётся теоретическим «фантомом», поскольку плотность традиционных генерационных центров в данном случае ниже на несколько порядков, но в эффекте суперинжекции концентрация электронов np >> nn (np/nn > 100!), где nn – плотность инжектированных электронов.
Двухсторонняя инжекция в COOL-диодах
В патентуемых авторами статьи двухинжекционных p-i-n гетеропереходах на основе i-GaAs показано [6] наличие L-образной прямой вольт-амперной характеристики (ВАХ), которая не вписывается в базовую формулу Шокли-инжекции носителей заряда через p-n-переход j=j0(eev/kT–1).
В указанных p-i-n COOL-диодных структурах экспериментально показано наличие на прямой ВАХ участка с отрицательным дифференциальным сопротивлением. COOL p-i-n GaAs диоды имеют i-область (физический p-n-переход) шириной в десятки микрометров и ассоциативную соизмеримость диффузионных длин электронов (Lni) и дырок (Lpi). При этом в LPE p-i-n COOL-структурах неприемлема общепринятая в физике полупроводников классификация/деление носителей заряда на основные и неосновные, поскольку в COOL-диодах инжектируют одновременно и анодная, и катодная области, и делить эти области на условный анод или катод можно только по устоявшейся полярности приложенного напряжения. В i-слое формируется электронно-дырочная плазма не по типу Шокли (когда основные носители для поддержания квазиэлектрической нейтральности ЭДП экстрагируются из объёма контакт/полупроводник), а ЭДП-плазма, которая создаётся другим путём – двусторонней инжекцией (слева/справа) носителей заряда. В этом суть нового качества: объёмный лазер, излучательное тепловое сопротивление и пр.
Резюмируя вышесказанное, в COOL p-n-переходах теория инжекции по Шокли не работает. В COOL-диодах плотность тока в 5–10 раз выше, чем в кремниевых или карбид-кремниевых диодах.
Уравнение Шрёдингера
При преодолении пороговой энергии ионизации (hν) амфотерной примеси в GaAs появится бинарный зарядовый конденсат (см. рис. 3), который определит свойства LPE i-GaAs, легированного амфотерной примесью, начиная с начала начал:

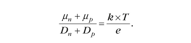
где n = p, μn > μp и вытекающие последствия из этого, как например, модификация соотношения Эйнштейна и его возможная новая интерпретация

Соответственно, вероятно, изменится и наполняемость формулы L=√D×τ (n, p – концентрации электронов и дырок, «выделенных с ионизированных амфотерных атомов; μn, μp – подвижность электронов и дырок в i-слое; Dn, Dp – коэффициент диффузии биполярных носителей заряда; τ – консолидированное время жизни электронно-дырочных пар).
Уравнение Шрёдингера описывает движение одного электрона при фиксированном расположении тяжёлых частиц, рассматриваемых как источники поля. Другими словами – как привязать оптическую запрещённую зону (энергию электрона) к ядру атома? Ещё сложнее второй вопрос, относящийся к взаимосвязи энергии электрона с фононными колебаниями атомной решётки.
В случае с LPE i-GaAs при ионизации амфотерных атомов появятся два носителя заряда – электрон и дырка. Появится дополнительное многообразие энергетических связей, которое не описывается стандартным уравнением Шрёдингера. А в случае одновременного присутствия ионизированных амфотерных атомов Ge и Si в LPE i-GaAs применение уравнения Шрёдингера вызывает большие сомнения.
Новая модель инжекционного лазера
Известно, что излучательная рекомбинация происходит не во всём объёме базовой области p-n-перехода, а только в узкой части, примыкающей к p-n-переходу. Это излучательная рекомбинация по Шокли-инжекции.
Но в COOL-диодах инжекция в i-область – двухсторонняя и достаточно плотная, при этом носители заряда в плазме не делятся на «свои» и «чужие», т.е. неосновные и основные. Естественно, что данная ЭДП (электронно-дырочная плазма) по своему происхождению резко отличается от Шокли ЭДП. COOL–ЭДП – гораздо плотнее, объёмнее, легко управляется вектором →Н (магнитного поля). Следовательно – налицо все предпосылки для построения объёмных инжекционных лазеров вертикального типа. Зонная диаграмма COOL-диода в режиме инверсии показана в статье [6].
Мультипроводимость LPE i-GaAs (Si) монокристалла (изолятор, полупроводник, проводник, элементы сверхпроводимости, фотонный проводник)
LPE i-GaAs – монокристалл с уникальными свойствами, позволяющими создать электронику с новыми функциональными возможностями. На основе технологии LPE i-GaAs будут созданы абсолютно все типы, группы и классы приборов, которые сегодня выполнены на Si, SiC, GaN, InP, Ge/Si и др.
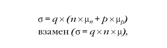
Важнейшая характеристика материала – проводимость. В LPE i-GaAs (Si) можно выделить пять типов проводимости.
1. Макроскопическая проводимость – в общем виде полупроводниковая проводимость, обусловленная дрейфом носителей заряда под действием силы электрического поля, при длинах пробега L > 0,1 мкм:

где q, n, μ – элементарный заряд, концентрация и подвижность электронов.
Рассмотрение данной проводимости не имеет смысла, поскольку она известна из школьного курса физики.
2. Velocity Overshoot – проводимость на основе эффекта всплеска дрейфовой скорости носителей заряда (электронов) при L < 0,1 мкм:

где A > 1.
Velocity Overshoot проводимость обнаружена почти полвека назад. Её суть в том, что снижается вероятность рассеяния электронов, их дрейф становится более упорядоченным (векторным), подвижность носителей возрастает, увеличивается и скорость дрейфового пролёта электронов. Соответственно изменяется и плотность тока. В настоящее время в России имеются промышленные инструменты для коммерциализации данного эффекта (MESFET, HEMT, JFET, MOSFET, opto-FET).
При концентрациях плотности потока носителей заряда, сопоставимых или превышающих плотность атомов в твёрдых телах (1022…1023 см–3), возникают признаки сверхпроводимости.
Вышеприведённая плотность дрейфовой электронной массы в таких металлах как Al, Cu, Au или Ni приводит к разрушению кристаллической структуры указанных материалов, как правило, это явление наступает при плотности тока j = 106 A/см2. Металлы испаряются вследствие процессов электромиграции атомов. Монокристалл GaAs, где, в отличие от металлов, имеется запрещённая энергетическая зона для электронных состояний, способен выдерживать плотности токов выше, чем предельные значения плотности потока носителей в металлах, вплоть до 107 А/см2.
Такое явление связано с эффектом доменно-лавинной ионизации в GaAs транзисторных и тиристорных высоковольтных структурах с электронной эмиттерной инжекцией.
3. Коллективная лавинно-доменная проводимость или элементы сверхпроводимости в условиях высоких температур:

где N > 2.
Коллективная (признак сверхпроводимости по определению) ЛДП обнаружена [10] в сильных электрических полях. Из-за ярко выраженной поляризации молекул GaAs и наличия доменной проводимости возникают условия для создания суперплотной проводящей плазмы в каналах филаментного типа. Под действием внутримолекулярных кулоновских сил и внутреннего магнитного поля происходит создание «воронкообразных» лавинных каналов с очень высокой (над-Ганновской) подвижностью носителей заряда. На примере конструкции транзистора «пять в одном» [7] был подтверждён эффект, обнаруженный финскими учёными в сотрудничестве со специалистами ФТИ им. А.Ф. Иоффе, который исключительно важен для создания мощных бортовых АФАР в L-, S-, C-, X-диапазонах и ВЧ, а также в СВЧ силовой электроники.
4. Баллистическая (безрассеянная) проводимость, т.е. состояние идеального проводника при L ≤ 45 Å (GaAs) или L ≤ £ 4,5 нм.
В 2013 году, как уже было сказано, Запад впервые шагнул в литографическую наноэлектронику и преодолел рубеж длины дрейфа L = 7,0 нм (в России Правительственной программой запланировано L = 10 нм в 2023–2025 гг.). Следовательно, в текущем или в следующем году за рубежом можно ожидать преодоления размера в 4…5 нм. Из достоверных источников известно, что при дрейфовом пролёте на расстояниях меньших либо равных 8 постоянных кристаллической решётки GaAs (<4,5 нм) электрон не испытывает упругих энергетических столкновений (рассеяния на фононах, электронах и др.). В этом случае понятие «подвижность носителей заряда» теряет смысл, следовательно, теряет смысл и формула плотности тока:

где дрейфовая скорость определяется множителем v = μ × Е.
Формула (8) трансформируется в новое определение, поскольку дрейфовая баллистическая скорость электрона трансформируется в подобие релятивистской скорости:

где m – масса электрона, t – время пролёта.
Напряжённость электрического поля в данном твёрдовакуумном наномире является комплексной величиной, зависящей от волновой энергии поляризованных молекул GaAs (диполей) и внешнего поля (при приложении, допустим, напряжения порядка 0,1 В поле достигает значений, близких к общепринятым критическим значениям электропрочности в GaAs, т.е. ≈ 2,5 × 105 В/см, хотя в твердовакуумном кулоновском мире – всё далеко не так просто).
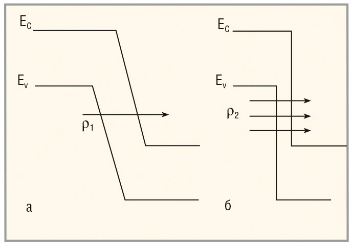
В сильных полях наклон энергетических зон ЕС и ЕV (cм. рис. 4) ограничен критической напряжённостью поля, которая связана с лавинным рассеянием электронов на электронных, оптических и акустических фононах.

При сверхмалых длинах пробега, характерных для безрассеянного пробега электронов в волновом энергетическом пространстве, таких как 40…45 Å (0,40…0,45 нм) в GaAs и менее, понятие «критическая напряжённость поля» теряет смысл.
В этом случае энергетический наклон зон может оказаться в пределах энергетической прозрачности перехода электрона из валентной зоны в зону проводимости, что в физике называют эффектом туннелирования.
На рисунке 4 (а и б) показаны энергетические диаграммы полупроводника при разных значениях сильных электрических полей, которые качественно демонстрируют процесс туннелирования валентных электронов в зону проводимости.
Из диаграммы (см. рис. 4) очевидно, что вероятность туннелирования электронов r в случае (б) значительно выше, чем в случае (а), т.е. ρ2 >> ρ1 (Е2 >> Е1).
Вероятность туннельного перехода электрона будет пропорциональна экспоненциальному множителю:

где Е – величина приложенного электрического поля, а Е0 – постоянная напряжённости электрического поля, зависящая от ширины запрещённой зоны Еq (эВ), экстремумов в зоне Бриллюэна, эффективной массы mr носителей [3] и оценивается по формуле:

где
– приведённая эффективная масса электронов и дырок, h – круговая постоянная Планка.
В источнике [3] приводится расчётное значение Е0 при Еq = 1,0 эВ и mr ≈ 0,1 × m0, которое равно E0 ≈ 107 В/см.
Логика безрассеянного дрейфа приводит к тому, что значения 107 В/см и выше – вполне достижимы, тем более что в GaAs, несмотря на то, что ширина запрещённой зоны Eq ≈ 1,43 эВ, значения E0 маловероятно будут превышать 107 В/см из-за сильной поляризации молекулы GaAs.
В кремнии, очевидно, значение E0 будет близко к 107 В/см или немного выше, а в SiC и GaN значение Е0, вероятно, будет стремиться к значениям, близким к 108 В/см. В GaAs при расстояниях безрассеянного пробега электрона ≤ 40…45 Å при приложенном напряжении U ≥ 10 В можно ожидать с огромной долей вероятности переход валентных электронов в зону проводимости, скорее всего, это произойдёт в первую очередь из-за ионизации атома As, имеющего более пространственно размерную орбитальную группировку валентных электронов.
Туннельную генерацию валентных электронов можно также стимулировать комбинацией энергетических воздействий сверхбольших электрических полей и высокой энергией падающего в объём GaAs высокоэнергетичного кванта (фотона), допустим, рентгеновского фотона (с hv ≥ 103 эВ).
Указанная энергетическая ионизация валентной зоны открывает возможность увеличения плотности носителей заряда в GaAs до плотности, близкой к 2,41 × 1022 см–3 или выше, что приведёт к признакам сверхпроводимости. В данном случае ещё раз подчеркнём, что речь идёт о наноразмерном GaAs пространстве объёмом не выше либо равным 65…90 нм3 (в случае элементарного объёмного куба), или 65…90 × 10–27 м3.
Следовательно, наноразмерная баллистика в сильных электрических полях – это явление комнатной надпроводимости, которое нереализуемо в металлах. Энергетические возможности такой нано-/субнанобаллистики самые невероятные, от холодного катода (энергия носителей, превышающая работу выхода электронов в вакуум в GaAs ≈ 4,3 эВ), до десятков и сотен тысяч электронвольт, характерных вплоть до жёсткого рентгеновского излучения, которое можно будет использовать, в частности, для замены углеводородной энергетики на водородную, для создания феноменальных компьютеров и высокоэффективного холодного катода. Технические и технологические инструменты в США и Европе позволяют приступить к реализации данной задачи уже в 2015 году.
5. Фотонная проводимость, характерная при прохождении электромагнитной волны через i-диэлектрик (электромагнитный волновод).
Фотонная проводимость – это перенос электромагнитной энергии с фотонной скоростью C/n в GaAs (где n – показатель оптического преломления). Без вброса зарядовой массы (электронов) извне LPE i-GaAs представляет собой диэлектрическую среду (ε = 10,9). Слой i-GaAs при приложении к нему потенциала в простейшем случае – это ёмкость С с удельным значением ε×ε0/S≈2…5 пФ/мм2 при толщинах i-слоя в несколько десятков микрометров. При приложении внешнего поля к такому «конденсатору» поляризованные молекулы GaAs выстраиваются по силовым линиям, образуя диэлектрические диполи с перекрывающимися волновыми энергетическими функциями, по которым распространяется фотонная (электромагнитная) волна со скоростью VF-C/n.
Электронов до поры до времени нет, и нет «тормозов» для прохождения фотонной волны в i-GaAs. Поэтому комплексное сопротивление LPE i-слоя Z до определённых частот, близких к 1014 Гц (пограничных инфракрасных волн), можно оценивать по школьным учебникам:

где ω – круговая частота фотона.
Исходя из формулы (1) и энергетической зонной диаграммы на рисунке 2, можно прогнозировать, что формула (11), характеризующая фотонную проводимость LPE i-GaAs (Si) слоя прекратит свою работоспособность на длинах волн фотонов, близких к 1,5…1,7 мкм (≈ 0,72 эВ = ½Eg GaAs), т.е. приблизительно на фотонах излучательной рекомбинации Ge, что очень важно, поскольку постоянные решёток Ge и GaAs практически идентичны, и на этих свойствах легко выстраиваются оптические «системы-на-кристалле» любого типа, как чисто оптико-цифровые, так и оптические АЦП и ЦАП СБИС. Частоты скоростей обработки информации (сигнала) таких систем недоступны для других аналогичных систем.
Подводя итог вышесказанному, следует отметить, что скорость передачи электромагнитной энергии в общем виде или электрической, в частном, в LPE i-GaAs (Si) выстраивается следующим образом:

где VT – макроскопическая дрейфовая скорость; VD – доменно-лавинная скорость; VV – «Velocity Overshoot» скорость; VB – баллистическая скорость; VF – фотонная скорость.
VF* справедливо только до значений энергий ионизации атомов амфотерного кремния, т.е. ЕF = hv ≤ EiD…ЕiА(Si) в i-GaAs.
При ЕF ≥ EiD …ЕiА(Si) в LPE i-GaAs скорость фотона в LPE i-слое VF резко снижается (на три порядка) и трансформируется в типовую «горбатую» Ганна-дрейфовую скорость в пределах (2…1) × 107 см/с. Это связано с ионизированной генерацией ЭДП с глубоких акцепторных и донорных уровней кремния в GaAs и резким уменьшением соотношения энергетических масс фотона (электрической и магнитной массы) и генерируемых с ионизированных атомов электронов и дырок (обнуление электромагнитной массы фотона и резкое изменение эффективной массы электронов и дырок). В итоге появляется энергетический трансформатор, который выглядит следующим образом (см. рис. 5), где EC – дно зоны проводимости GaAs, ЕV – потолок валентной зоны; Еi = ЕF0 – собственный химический потенциал в GaAs (уровень Ферми); hv1 – входящая фотонная волна; hv2, hv3 – преобразованные, выходящие фотонные волны; →Е– электрическое поле, приложенное к i-GaAs слою;
U=(I / j×ω×c) ×cos(j×ω×t) – СВЧ электромагнитная волна или импульсы, в любом случае, квантованная волна или квантованный импульсный стробопакет; ЕSi iD – энергия ионизации донорных атомов Si; ЕSi iA – энергия ионизации акцепторной примеси.
Принцип работы фотонного преобразователя (см. рис. 5) основан на трансформации диэлектрических свойств i-GaAs монокристалла в свойства полупроводникового GaAs монокристалла с модуляцией скорости прохождения электромагнитной волны в i-слое от C/n (С = 3 × 1010 см/с) до дрейфовой скорости электрона в GaAs (Si) ((1…2) × 107 cм/с) с качественным изменением соотношения:

где ε × μ и ε0 × m0 – начальные (фотонные) и конечные (полупроводниковые) значения диэлектрической и магнитной проницаемости, т.е. показатели, характеризующие электромагнитную энергетическую массу в монокристалле в различной энергетической фазе.
Механизм энергетического преобразования на рисунке 5а в LPE i-GaAs (Si), к которому приложено электрическое поле, основан на процессе ионизации амфотерных атомов Si в подрешётках Ga и As, в результате чего происходит генерация ЭДП в объёме i-GaAs.
Под воздействием поля электроны и дырки конденсируются по краям i-GaAs зоны в соответствии с полярностью электрического поля. Ожидаемая энергия фотонов находится в пределах 0,7…1,4 эВ или в пределах гетероизлучателей на основе Ge или InP.
В случае (см. рис. 5а) электронная масса аккумулируется вблизи зоны, находящейся под большим положительным потенциалом, что может привести к инверсной заселённости электронов в этой зоне и последующей электролюминесценции с сильно выраженной когерентной спектральной полосой излучения hv2. Дырки конденсируются у противоположной стороны.
При полярности электрического поля (см. рис. 5б) при временах переключения выше чем скорость рекомбинационного заселения ионизированных Si можно ожидать, что произойдёт опережающий дрейф электронов в левую зону. Из-за разницы подвижности электронов и дырок при малых значениях напряжённости поля и при достаточно малых дрейфовых расстояниях произойдёт инверсия электронов и дырок вблизи краёв энергетической запрещённой зоны и, как следствие – практически когерентная рекомбинация носителей.
Такой эффект исключительно важен для построения доменно-лавинных мощных силовых коммутаторов, СВЧ, терагерцевых и лазерных излучателей.
Преобразователь (см. рис. 5) может реализовать следующие функции:
- эффективной волоконно-оптической модуляции СВЧ-сигналов (ВОЛС);
- фотонного вентиля;
- усилителя (умножителя) частоты фотонной волны;
- когерентного (лазерного) генератора с разными значениями частоты излучения (hn), в т.ч. безинжекционного (лавинного) лазера;
- фотонной памяти на основе интерференционных (смесительных) волновых явлений вследствие амплитудно-фазовой модуляции. Фотонная память на два порядка и более скоростная, чем электрическая в ДЗУ на базе «Trench» MOSFET/MOS-конденсатор;
- акустоэлектронных усилителей/ преобразователей/инверторов/смесителей/генераторов;
- эффективной фотонной вольтаики, не только оптической (солнечной), но и ближней инфракрасной, с использованием гетеросистем на основе GaAs, Ge, AlGaAs, InGaAs;
- для СВЧ-применений важное значение имеет возможность создания эффективных ДОС-приборов (приборов с отрицательным дифференциальным сопротивлением). На рисунке 5 показана модель создания эффективной плотной ЭДП, когда фотонная проводимость обвально превращается в полупроводниковую;
- суперпроводящих opto-HEMT / opto-FET, кардинально меняющих облик СВЧ и терагерцовой электроники.
Следует ожидать, что opto-FET на основе LPE i-GaAs (наряду с биполярными оптоприборами, такими как opto-thyristors, opto-ЛПД, opto-HEMT, opto-IGBT) достаточно быстро и уверенно вытеснят кремниевые MOSFET и IGBT, а также нерадиационностойкие 4H-, 6H-SiC MOSFET/JFET, JBS.
Высокая рабочая температура эксплуатации LPE i-GaAs монокристалла
В начале статьи прозвучало, что с 2015 года появится новая мировая электронная индустрия с рабочей температурой ЭКБ в диапазоне +250…+320°С (вдвое выше, чем на кремнии или политипно-гексагональном SiC). Высокотемпературная электроника своим созданием обязана, в первую очередь, промышленной, коммерчески эффективной LPE i-GaAs технологии.
Исследования исключительной температурной стойкости LPE p-i-n GaAs переходов при максимальных рабочих температурах T = +583…+633 K (+360°C!), проведённые в 80-х годах группой учёных ФТИ им. А.Ф. Иоффе [8], протоколы по НИОКР, находящиеся в ЦНИИ-22 (г. Мытищи), протоколы замера параметров LPE p-i-n GaAs диодов в фирме «Semelab» (Англия), компаниях «Motorola», «Micross Components» и «Microsemi» (США), ОАО «Орбита» (г. Саранск) – более чем убедительно свидетельствуют о новом, исключительном качестве электроники. В данный момент поднимается вопрос о совершенстве технологии пассивации/защиты поверхности p-i-n GaAs высоковольтного перехода.
Начатые в настоящее время работы по созданию технологии пассивации LPE p-i-n GaAs структур в ЗАО «Группа Кремний Эл» (г. Брянск) и ОАО «Орбита» (г. Саранск) указывают на очень высокую вероятность быстрого решения данной технологической проблемы и снятия её с повестки дня.
Радиационная стойкость LPE i-GaAs монокристалла
Советские протоколы (1986–1987 гг.) по результатам испытаний в процессе НИОКР на спецстойкость изготовленных по «графитовой» технологии LPE p-i-n GaAs (Si) высоковольтных GaAs диодов и тиристоров, находящиеся в архиве ЦНИИ-22 (г. Мытищи), показывают на порядок более высокую радиационную стойкость LPE p-i-n GaAs приборов по сравнению с Si высоковольтными приборами.
Сравнивать с SiC MOSFET/JFET и JBS на гексагональных политипах не имеет смысла, поскольку гекса-SiC приборы при содержании легирующей примеси >1017 см–3 утрачивают радиационную стойкость. Исключение составляют 600-вольтовые SiC SBD (не путать с 1200/1700-вольтовыми JBS SiC диодами Шоттки).
Возможности новой электронной индустрии на основе LPE i-GaAs монокристаллов
Уникальные свойства LPE i-GaAs монокристалла (изолятор, полупроводник, проводник, фотонный волновод, следы сверхпроводимости), вследствие специфичной энергетики растворённых в GaAs амфотерных атомов IV гр. таблицы Менделеева, дипольной поляризации молекул GaAs (электронных оболочек атомов Ga и As), электромагнитных свойств доменов Ганна, позволяют не просто реализовать весь совокупный спектр электронных приборов на основе Ge, Si, SiC, GaN, InP, но и значительно расширить его. В ближайшие несколько лет можно ожидать появления целой гаммы вновь открытых классов приборов, начиная с COOL сверхпроводящего диода.
На основании открытых в середине 80-х годов группой учёных Ленинградского ФТИ высокотемпературных GaAs приборов (p-i-n-диоды, тиристоры, Шоттки-диоды) [9], СВЧ высоковольтных HBT, в т.ч. доменных «два в одном» транзисторов [10], а впоследствии «пять в одном» транзисторов [7], SMART opto-FET ключей [11], терагерцовых GaAs МОП БИС [12, 13], фотонно-инжекционных импульсных высоковольтных (тиристорных) коммутаторов со скоростью включения в L-СВЧ диапазоне, новых физических моделей и конструкций (COOL L-диоды [6]) и ожидаемого множества других открытий, явлений и моделей на базе LPE i-GaAs монокристалла можно спрогнозировать следующую классификацию сегментов электроники, классов и групп электронных приборов (см. таблицу).

В итоге, ни на одном из известных материалов, таких как Ge, Si, SiC, GaN и InP, невозможно реализовать все вышеназванные классы ЭКБ.
Рынок, экономика, политика
Мировой рынок электроники характеризуется монополией кремниевых приборов. Общий объём полупроводниковых приборов достиг уровня в $300 млрд, из которых 95% приходится на кремниевую ЭКБ, около 4,5% – на арсенид-галлиевые приборы (в большинстве случаев, СВЧ-применения), 0,5% приходится на широкозонные GaN, SiC приборы и пр.
В данной публикации показана активная конкурентоспособность LPE i-GaAs электроники по сравнению с кремниевой, карбид-кремниевой и нитрид-галлиевой технологиями.
Как известно, экономика полупроводниковых приборов базируется на стоимости исходного монокристалла, диаметре используемых полупроводниковых пластин, длительности и энергоёмкости технологического цикла производства ЭКБ.
Планируемое «Ростехом», «Ренова» и Минпромторгом создание в пос. Горный Саратовской области высокотехнологичного производства поли- и монокристаллов GaAs Ø100 и 150 мм на основе переработки и ликвидации отходов, образовавшихся в результате уничтожения химического оружия (люизита), нивелирует экономическое превосходство кремниевой металлургии над GaAs-металлургией. Этого мнения придерживаются и ведущие материаловеды компаний ООО «Мега-Эпитех» (г. Калуга) и «Гиредмет» (г. Москва). Вышеназванный «металлургический» проект «Ростеха» и «Ренова» является прорывным для отечественной электроники.
Ведущим (с позиции мирового рейтинга) разработчиком «кварцевой» LPE i-GaAs технологии В.Е. Войтовичем, вопреки стереотипным мнениям оппонентов, разработана коммерческая LPE-технология GaAs (Si) на подложках диаметром в 3″ (Ø76 мм). К концу 2014 года будет освоена «кварцевая» LPE-технология на подложках диаметром 4″ (Ø100 мм), а в 2015 году запланировано 6″ (Ø150 мм).
В данный момент стала возможной поставка LPE p-i-n GaAs структур Ø76 мм под высоковольтные приборы – до 1200…1800 В. Готовые LPE i-GaAs мультиэпитаксиальные структуры Ø76 и Ø100 мм значительно дешевле изготовленных по «газовой» технологии эпитаксиальных кремниевых структур аналогичного диаметра из-за дешевизны LPE-процесса и в два-три раза более короткого цикла изготовления готовых чипов. Это технологический прорыв в электронике.
Из вышесказанного вытекают 3 важнейших экономических вывода.
1. Себестоимость монокристалла, который может быть произведён на основе переработки люизита, ниже себестоимости кремниевых монокристаллов аналогичного диаметра.
2. «Кварцевая» LPE i-GaAs технология в несколько раз дешевле газовой эпитаксии кремния.
3. Цикл изготовления i-GaAs чипов короче и менее энергоёмкий в сравнении с циклом изготовления кремниевых чипов.
Политика, риски, адаптация проекта
Как уже было сказано в начале статьи, экономика – это политика, основа развития экономики – инновация (открытия), значит, инновация – это большая политика, государственная политика. Только на основе политической воли возможна кардинальная перестройка экономики государства.
Основным тормозным риском запуска, адаптации и развития проекта в России является элементарное невежество и безграмотность на почве «силиконового дарвинизма», что было изначально подчёркнуто в проекте. Данный вид риска наиболее опасен для России, поскольку Запад начал разворачивать массовое производство LPE i-GaAs структур (до 10 тыс. шт. структур/год ″Ø76 мм в 2015 г.) для перспективной экстремальной электроники. Следовательно, в силу очевидной ярко выраженной анизотропной когерентности мышления оппонентов проекта, Россия теряет преимущество во времени и в деньгах, которые расходуются на очередные ФЦП по «изобретению велосипеда».
Заключение
В настоящей публикации показано, что авторами проекта разработаны обновлённая технологическая платформа и новая концепция развития отечественной и мировой высокотемпературной гиперскоростной электроники.
Заявленные физические свойства разработанного электронного материала (изолятор, полупроводник, проводник) и принципы работы приборов на его основе приведут к новым системным подходам и решениям в силовой электронике, СВЧ-технике, терагерцовой и инфракрасной электронике, фотонной энергетике.
Проект создаёт условия для прорывной перестройки отечественной электронной промышленности и уверенного вхождения в мировой рынок, зарождения новых сегментов электронного рынка и возврата утраченных позиций.
Теоретические и технологические наработки проекта могут привести к элементам обогащения зонной теории твёрдого тела.
Проект имеет стратегическое значение для энергетического контроля ближнего космоса.
Проект исключительно важен с позиции импортозамещения, особенно в части радиационно-стойкой элементной базы.
Литература
- Андреев В.М., Долгинов Л.М., Третьяков Д.Н. Жидкостная эпитаксия в технологии полупроводниковых приборов. Москва. Советское радио. 1975 г.
- Нашельский А.Я. Монокристаллы полупроводников Si, Ge, GaAs, GaP. Москва. Металлургия. 1975 г.
- Бонч-Бруевич В.Л., Калашников С.Г. Физика полупроводников. Москва. Наука. 1977 г.
- Ашкинази Г., Войтович В., Лейбович М. и др. Влияние взаимодействия глубоких уровней на безизлучательную рекомбинацию в эпитаксиальных слоях арсенида галлия. Известия Академии Наук Эстонии. Физика и математика, 1990 г. № 1 (39). С. 75–79.
- Алфёров Ж.И., Андреев В.М., Корольков В.И., Портной Е.Л., Третьяков Д.Н. Инжекционные свойства гетеропереходов n-AlxGa1-xAs – p-GaAs. ФТП (1968). Том 2. Вып. 7. С. 1016–1017.
- Войтович В., Гордеев А., Думаневич А. GaAs-диоды для PFC, SMPS, UPS, IPM, Solar Invertors и замены синхронных выпрямителей. Силовая электроника. № 6. 2012 г.
- Войтович В., Гордеев А., Думаневич А. Новые возможности GaAs силовой электроники. Силовая электроника. № 2. 2014 г.
- Алфёров Ж.И., Андреев В.М., Корольков В.И., Третьяков Д.Н., Тучкевич В.М. Высоковольтные p-n-переходы в кристаллах GaxAl1-xAs. ФТП (1967). Том1. С. 1579–1581.
- Ашкинази Г., Золотаревский Л., Тимофеев В., Мазо Л., Шульга А., Войтович В., Таге-саар М., Оленштейн И., Юйрике Х., Челноков В. Силовые высокотемпературные высокочастотные приборы на основе арсенида галлия. Известия Академии наук Эстонской ССР. 1984 г.
- Vainshtein S.N., Yuferev V.S., Kostamo-vaara J.T., Kulagina M.M., Moilanen H.T. Significant Effect of Emitter Area on the Efficiency, Stability and Reliability of Picosecond Switching in a GaAs Bipolar Transistor Structure. IEEE Transactions on Electron Devices. Vol. 57. No. 4. 2010.
- Sarkar T., Mazumder S.K. Epitaxial Design of Direct Optically Controlled GaAs/AlGaAs – based Heterostructure Lateral Superjunction Power Device for Fast Repetitive Switching. IEEE Transactions on Electron Devices. Vol. 54. No. 3. March, 2007.
- Freescale Creates First Commercially Viable GaAs MOSFET Device. AUSTIN. Texas. Jan. 30, 2006.
- Passlack M., Droopad R., Rajagopalan K., Abrokwah J., Zurcher P. HIGH MOBILITY III-V MOSFET TECHNOLOGY. CS Mantech Conference. May, 14-17. 2007. Austin. Texas. USA.
© СТА-ПРЕСС
Если вам понравился материал, кликните значок — вы поможете нам узнать, каким статьям и новостям следует отдавать предпочтение. Если вы хотите обсудить материал —не стесняйтесь оставлять свои комментарии : возможно, они будут полезны другим нашим читателям!

