Введение
Новая технология откроет перед обществом абсолютно новые возможности, и её можно считать прорывной, поскольку её целью является превращение мегаваттных по энергопотреблению экзафлопсных компьютеров типа суперкомпьютера «Ломоносов» (МГУ, г. Москва) или «Кристофари» (Сбербанк) в обычное рабочее место студента МИФИ или работника Сбербанка.
Россия, как ни одна другая страна в мире, обладает достаточными технологическими возможностями и могла бы начать такую разработку значительно раньше появления программы «Росатома» по созданию квантового компьютера (2019–2024 гг., 24 млрд руб.). В России давно уже есть основа основ для этих целей – фотонные и фононные материалы. Вопрос заключается в культуре общества, культуре тех людей, которые разрабатывают Национальные Программы будущего. Выстраивать новейшую национальную технологическую платформу никогда не поздно. Учитывая, что правительство несёт огромное бремя по пандемии «SARS-Cov-2», мы озвучиваем предложение к крупнейшим банкам РФ, таким как Сбербанк, Газпромбанк, ВТБ, ВЭБ и др., рассмотреть возможность финансирования фотонно-фононного цифрового проекта с последующими подпрограммами в виде 7G, систем распознавания образов для искусственного интеллекта в «чёрноволновом», сугубо индивидуальном излучении человеческого тела (взамен тупикового направления – нейросетей или «чудотворных» биометок) и «зелёной» энергобиосреды обитания человека.
Проблемы с «цифрой»
С точки зрения наноэлектронных технологий Россия – третьеразрядная страна с микроэлектронной технологией в 95 нм в сравнении с 3-нм процессорами фирм TSMC (Taiwan Semiconductor Manufacturing Company) или Samsung, Intel, IBM.
Уровень отечественной электроники и её место на мировом рынке были подчёркнуты вице-премьером Ю.И. Борисовым на конференции «Электроника в России: будущее отрасли» в декабре 2019 г. «Сегодня глупо говорить, что в России существует серийное микроэлектронное производство. Мы даже отсутствуем в мировой статистике», – отметил он. И буквально через месяц была принята «Стратегия развития электронной промышленности Российской Федерации на период до 2030 года» (Распоряжение Правительства РФ от 17.01.2020 № 20-р), которая предусматривает (цитируем): «разработку изделий по кремниевой технологии с топологической нормой 5 нм с последующим выпуском изделий на их основе на зарубежных фабриках и переносом производств в Российскую Федерацию». Что намечается переносить – технологию компании TSMC от 2019 года (5 нм)? Или забыт печальный опыт с МC-21?
Если собственных процессорных чипов нет, то нет и базы под терагерцовую цифровую экономику [1], [2]. Если нет фундамента – процессорного чипа, то на чём строить цифровые технологии? На так называемой «цифровой трансформации»? Всем известно, что Программа импортозамещения (Приказ Минпромторга от 31.03.2015 № 662) не достигла плановых показателей в той же субмикронной технологии – освоение 28-нанометровой технологии в 2018 году. Отметим, что по предыдущей Стратегии развития отечественной электроники до 2025 года от августа 2007 г. предусматривалось освоение 10-нм технологии в 2023 году.
И хотя программа импортозамещения в целом была огромным шагом вперед, но, с учётом геополитики (как непредвиденный враждебный акт против отечественной экономики), мы можем получить иски от ЕС на $290 млрд (полугодовой объём углеводородного экспорта).
В настоящее время мы вынуждены использовать принципы «фаундри»-технологии, заказывая по нашим топологическим нормам и «зашивкам» микропроцессорные чипы фирме TSMC, которая обеспечивает 50% мирового рынка микропроцессоров. И конечно, при доле заказа РФ, составляющей тысячные доли % от оборота TSMC, ожидать долговременных гарантий на поставку чипов очень сложно, тем более что наблюдаются постоянные визиты в TSMC высокопоставленных чиновников из США с целью переноса производства микропроцессоров в США (хотя TSMC продумывает и просчитывает геополитическую ситуацию, связанную с материковым Китаем и уже строит свои филиалы в Японии и США). Сложно прогнозировать будущее наших «Байкалов» и «Эльбрусов», т.е. не всё безоблачно даже в текущем десятилетии.
Также важно подчеркнуть, что TSMC и Intel замахиваются на 3D MOSFET-технологию с топологической нормой в 1,0 нанометра. А на её освоение в России (чип) совместно с Белоруссией (оборудование) потребуется как минимум $50 млрд или три четверти консолидированного оборонного бюджета. Такими свободными ресурсами наша экономика пока не обладает.
Однако добавим «ложку дёгтя» в «кулоновские» процессоры той же фирмы TSMC. Это связано с тем, что при полной загрузке даже 5-нм процессорный чип потребляет несколько сотен ватт электроэнергии, а процессорный чип с проектной нормой в 1,0 нанометр и количеством транзисторов порядка 0,2 триллиона – это по мощности эквивалент электрического утюга. И, конечно же, возникают проблемы не только с теплоотводом. Предположим, что вы используете 16-ядерный компьютер с однонанометровым процессором, тогда возникает угроза возгорания, поскольку на практических терагерцах такой процессор потребляет десятикиловаттные уровни электроэнергии с частотой 50 Гц, преобразованной хотя бы в СВЧ ВИП порядка 1,0 гигагерц, – мы должны иметь серию блоков ВИП с энергоплотностью до 200 кВт/дм3. Добавим сюда и электромиграцию в топологических многоуровневых проводящих дорожках, имеющих вероятный контакт с активными зонами транзистора ≈ 2×2 нанометра, или 4×10–14 см2, т.е. мы можем иметь потолочный ток через единичный транзистор не более 20…40 наноампер или в целом через общий кристалл процессора (при полной загрузке) – ток порядка 800 А.
Следовательно, не всё так просто выглядит с применением 0,2 триллионных по плотности транзисторов – процессоров фабрики TSMC.
Другими словами, «софт» – это один вопрос, а «электроника» – другой, включая флюенсовые СВЧ ВИП, которые на кремнии создать невозможно. Кроме того, необходимо обратить внимание на соседний с микропроцессором (грубо говоря – вычислителем) элемент в виде DMOS (diffused metal-oxide semiconductor) ОЗУ, который по плотности транзисторов на чип мало уступает главному «мозгу» цифровой системы.
Можно ли пойти другим путём, поставив следующие задачи:
- снизить энергопотребление терагерцового компьютера (львиная доля которого приходится на процессорный чип);
- сократить размеры будущих терагерцовых компьютеров хотя бы до уровня габаритов ноутбука;
- довести скоростные характеристики «вычислителя» и ОЗУ до уровня десятков/сотен Тбит/с?
Всё это возможно. Но для этого необходимо следующее:
- общая культура;
- глубокие знания в области ФТТ и ядерной физики;
- наличие материально-технологической базы;
- финансирование;
- политическая воля.
Многие компании мира, в частности IBM, Microsoft, Intel, Honeywell, Amazon, D-Wave, а также наши отечественные госкорпорации («Росатом», «Ростех»), ВУЗы и инновационные центры (МФТИ, МГУ, «Сколково», Российский квантовый центр) заняты решением задач по созданию так называемых квантовых компьютеров. Первую модель квантового компьютера создал великолепный физик, лауреат Нобелевской премии Ричард Фейнман (США), а в СССР этой проблемой занимался известный во всём «электронном» мире физик К.А. Валиев, с которым один из авторов этой статьи лично обсуждал вопросы создания квантового компьютера и физику его работы.
Физические принципы создания квантовых компьютеров, на которых разрабатываются их конструкции, следующие:
- спинтроника (спиновая электроника);
- сверхпроводимость;
- фотоника;
- одиночные атомы (холодные ионы).
Не будем вдаваться в подробности каждого метода, будь то квантовая запутанность и телепортация спин-энергосостояния, или ридберговский атом рубидия (Rb), или куперовские пары. Подчеркнём лишь то, что практически во всех вышеназванных методах реализации «квантовой цифры» на кубитах (квантовых битах в сочетании с принципом Гейзенберга) нужны очень низкие криогенные температуры и танки (резервуары) с жидким азотом, а также теплоизолирующие саркофаги. Кроме того, квантовая запутанность на кубитах может давать сбои при малейшем отклонении условий для кубитного исчисления, хотя в узком применении такие машины незаменимы, например, в квантовой химии, криптографии, медицине, космических расчётах и др.
Фотоника стоит особняком, но и здесь имеются проблемы, такие как:
- проблема волноводного распределения фотонов от ЛД (лазерного диода);
- рассеяние и затухание «света»;
- размывание «колокола» светового импульса;
- мощность ЛД;
- отсутствие «светового» по скорости ОЗУ;
- медленный интерфейс;
- очень медленный (на три порядка «не успевающий» за оптическим (фотонным) микропроцессором) АЦП.
Можно ли решить вышеуказанные проблемы? Да, это можно сделать на основе нетрадиционной безынжекционной фотоники.
В России всё для этого есть. Подчеркнём – в России всё есть для реализации терагерцового, не криогенного, с низким энергопотреблением суперкомпьютера в формате планшета. Далее приведём некоторые детали по этому вопросу.
Общие физические и технологические принципы построения сверхкомпактного настольного суперкомпьютера с низким энергопотреблением
Этой проблемой также занимаются во многих странах мира, в частности, выстраивая цифровые вычисления на методе Фурье, исчислении на основе римских цифр и других. «Аналоговая цифра» – это далеко не иллюзия, и она, в принципе, создаёт условия для реализации скоростей как тера-, так и петабит/с, в том числе с переходом на мультикодовое исчисление.
Мы, с учётом понимания отечественных подходов к созданию квантового суперкомпьютера, немного усложнили себе задачу и предлагаем построение суперкомпьютера на следующих физических принципах и конструктивно-технологических решениях, на что не требуется около трети млрд долларов, с итоговой «квантовой запутанностью», а именно:
- создание квантово-точечных локальных безынжекционных когерентных спин-противофазных 2-фотонных генераторов (с нулевой амплитудой световой волны);
- принцип Паули для s-электронов;
- авторская теория мультизонной проводимости (дополнение к зонной теории: от У. Шокли до Ж.И. Алфёрова [3]);
- эффекты Штарка и Франца Келдыша (сверхполевое туннелирование зона/зона);
- авторская теория цифровой фононики [4] на базе основ теории поляризации в твёрдых телах [4], явления усиления света в твёрдых телах [5];
- теория терагерцового транспорта электромагнитной энергии [4] в диэлектрических кристаллах, содержащих атомы Ga, или Al, или одновременно;
- исключение «шариковой» модели атома по Резерфорду – Бору (это уже вчерашний день) или возврат к неопределённости Гейзенберга;
- теория Ричарда Фейнмана о физическом вакууме, точнее, об энергии «твёрдого вакуума» в диэлектриках (межатомном пространстве, достигающем от 25% в AlN и до 34%, например, в i-GaAs);
- квантово-точечная энергия Пойнтинга при построении релятивистского ОЗУ (RAM);
- явление комнатной сверхпроводимости в нанослоевых атомных переходах AIVBIV/AIV и телепортации на s-электронной жидкости [6];
- гибридизация и моно-/гетерокристаллографическая совместимость 2-фотонного квантово-точечного генератора с цифровой и логической квантово-точечными ячейками;
- скин-фазная логика в металлах, стоящих правее атома водорода в ряду восстановления;
- исключение постулата о «потолке» скорости света по Эйнштейну в твёрдых телах – как ненужной и консервативной догмы, что проявляется при поляризации по Клаузиусу – Моссотти [7];
- фотонные запрещённые зоны с минимумом энергощели до размеров толщины фронта волны (ангстремы);
- теории Блоха и Брэгговских решёток;
- эффект Поккельса.
Понимание теории и физических законов, изложенных выше в п. 1–16, предоставляет возможность реализовать суперкомпьютер в формате планшета, т.е. квантовый компьютер без применения «саркофагов» и т.п.
Фотонные и фононные кристаллы
К фотонным и фононным материалам относятся:
- LPE i- SiGaAsSi, т.е. арсенид-галлиевый изолятор с ρ ≥ 109 Ом×см с «тройной» подрешёткой Ga, As и слабодисперсной биузловой подрешёткой Si в GaAs; с атомной поляризацией атома Ga ≈ 146×10–30 м (для сравнения – атом Li в ниобате лития LiNbO3 имеет практически такой же коэффициент поляризации – 151×10–30 м [4]). При этом необходимо учитывать, что при поляризации атом Ga может быть «раздут» полевой энергией в два раза эффективнее, чем, допустим, атомы Rb (по Ридбергу) для квантово-кубитной запутанности – квантовые компьютеры на ионах. Построение квантового компьютера на ионах Ga или квантово-ямных магнитно-атомных центрах лантаноидов в GaAs (спин-комнатная электроника – на свойствах атомно-орбитальной электроники – будет рассмотрена нами подробно в последующих публикациях). К данным кристаллам присматривается «Росатом»;
- совершенно очевидно, что сюда же подходят и кристаллы AlN (опытное производство в г. С.-Петербурге), а также будущие или настоящие кристаллы-диэлектрики Ga2O3 и «чистые» сапфиры – Al2O3;
- AlN/GaN – наносэндвичи [8];
- легированный фотонный излучатель AlN [8].
«Комнатный» сверхпроводник
«Комнатный» сверхпроводник на наногетероструктурах Si-3C-SiC, выращенных дилатационным (атомное замещение) методом. Сверхпроводящая «комнатная» куперовская пара (электронная жидкость) образуется на основе несвязанных p-электронов на границе гетерофаза – твёрдый вакуум – физический вакуум.
Магнонные, или спин-кристаллы
Кристаллы на основе выращенных наноструктурных гетеросистем Si-3C-SiC обладают скоростным гистерезисом
.
Квантово-точечные домены в SiC обладают великолепным быстродействием (запись/считывание спин-квантовой памяти).
Металлофазные логические материалы
Для создания ОЗУ и 2-фотонных процессоров, а также регистров будут использоваться такие металлы, как Cu, Au, Ag с соотношением скоростей прохождения скин-электромагнитных волн по функции .
Базовые физические принципы построения 2-фотонных процессоров на примере кристаллов LPE i- SiGaAsSi
Эффект мультизонной проводимости в LPE i- SiGaAsSi кристаллах (эффект расщепления запрещённой энергетической зоны GaAs), дополняющий зонную теорию проводимости от зонной инжекции Шокли до квантовых диодных генераторов на гетероструктурах AlGaAs/GaAs Ж.И. Алфёрова, подробно описан в публикации [3].
Смысл состоит в том, что в процессе кристаллизации жидкофазной эпитаксии (LPE) GaAs в кварцевом реакторе с одновременным легированием атомами кремния (Si) в решётке GaAs образуются амфотерные, водородоподобные энергетические центры, симметричные относительно середины запрещённой зоны Ei GaAs.
Выяснено, что акцепторного и донорного типа ESiGa и ESiAs образуют внутренние запрещённые зоны за счёт сверхслабодисперсной биузловой кремниевой подрешётки с энергией ионизации/активации
где NС и NV – плотность состояний в зоне проводимости и валентной зоне, а NSi – концентрация амфотерных центров; А – расчётный коэффициент, зависящий от дисперсии n = √ με, энергии Пойнтинга и концентрации амфотерных центров. При этом нарушается постулат зонной теории – закон действующих масс np = ni², поскольку учитывается плотность активированных энергоцентров в случае энерговоздействия, и, в конечном счёте, однополярное уравнение непрерывности в p-i-n переходе переходит в разряд биполярного, где в i-зоне нет понятия «неосновные» носители.
Зонная диаграмма и квазиуровни Ферми кремниевых квантовоямных центров выглядит следующим образом (рис. 1).

Энергия ионизации водородоподобных центров (с условным названием «статические экситоны») колеблется в пределах 0,7…0,2 эВ от краёв зон.
А энергия ионизации данных центров отличается от энергии ионизации по водороду (1) в полупроводниках на порядок и более.
С ростом энерговоздействия (температура + поле) зонная диаграмма, с учётом эффектов полевого туннелирования по Штарку и Францу-Келдышу, имеет вид, показанный на рис. 2.

Следовательно, с учётом того, что, допустим, при NSi A – NSi D = 0 и NSi A = NSi D~2×1015cм–3, в решетке GaAs мы имеем приблизительно два атома (водородоподобных) кремния на 10 миллионов атомов в решётке GaAs.
Следовательно, если мы уменьшим нанообъём в 1,0 см3 (это ≈ 1021 нанокубиков) в 10 млн раз, то мы будем иметь в уменьшенном кубике (при концентрации чуть больше 1015см–3 атомов кремния) приблизительно два атома кремния, которые занимают глубокие симметричные водородоподобные центры (Fn Si = Fp Si).
При полевом воздействии мы можем активировать данные центры и получить безынжекционный (без протекания тока, как это происходит в ЛД) лазер.
Это и есть фундамент создания 2-фотонной логики и памяти в новых типах процессоров. Допустим, что мы имеем 50 млрд ячеек, тогда мы используем на них 100 млрд фотонов, т.е. 1011 фотонов. Сопоставим с количеством фотонов, излучаемых в ЛД (≈ 8×1016 ÷ 2×1017 фотонов), очевидно, что энергопотребление 2-фотонного процессора будет приблизительно в миллион раз меньше, чем фотонного процессора, проектируемого с допустимой вероятностью в научных центрах РФ (ФГУП «РФЯЦ – ВНИИЭФ», г. Саров, Нижегородская область, или ряде институтов РАН, ВУЗов РФ).
2-фотонный LPE i- SiGaAsSi безынжекционный квантовый генератор – это экстремальный случай. Возможно и 100, и 1000 фотонов с генератора.
Это исключительно важно, поскольку такой фотонный процессор будет иметь гораздо бо¢льшую устойчивость, чем, допустим, «криогенный» громоздкий квантовый спин-мультикубитный процессор), так как в условиях присутствия внешнего ЭМИ (например, магнитоэнергетической бури на Солнце, искусственного подобия Курской аномалии или ядерного взрыва) можно ожидать катастрофического сбоя работы такого процессора.
Далее, применяя фазовый сдвиг «2-порционных фотонов», можно делать те же операции, что и в «субпиксельной» китайской интерференции, показанной в работе [9].
При этом мы делаем одно допущение: допустим, для фотона с арсенид-галлиевой длиной ИК-волны (0,81…0,75 мкм) в твёрдом теле вполне реальны латентные «волновые», точнее, корпускулярные каналы в межатомном твёрдом вакууме, который в решётке GaAs достигает по величине ≈34% объёма, и при этом фотонные (корпускулярные) каналы имеют сторону сечения канала меньше, чем радиус атомов Ga или As (≈1,25 Å), что связано с поляризационной особенностью атомов Ga или Al (например, в сапфире или чистом корунде), когда вследствие поляризации атомов Ga или Al (схожих с Li - атомной поляризацией) форма атомов Ga в решётке того же диэлектрика i- SiGaAsSi принимает форму ближе к эллипсу и появляются «разрешённые» энергетические зоны для пролёта фотона в решетке GaAs. Это необходимое и, в принципе, обоснованное физическое трактование (учтём, что квантовый диодный генератор Ж.И. Алфёрова на гетероструктурах AlGaAs/GaAs выстраивается на рекомбинационных прямоходных явлениях излучения когерентной волны в тонких переходных p-n-областях с шириной < 0,1 мкм (100 нм).
Добавим, что, принимая во внимание оптические структуры AlN/GaN, разработанные д.ф.-м.н. профессором С.А. Кукушкиным (диэлектрик AlN с ρ ≥ 1012 Ом×см) на поляризационных свойствах AlN (атома Al), мы также с исключительно высокой теоретической и технологической вероятностью, близкой к единице, сможем создать более коротковолновые 2-фотонные процессоры [10]. Здесь также нет технологических препятствий.
Другими словами, перед «Росатомом» могут быть открыты исключительные возможности по созданию экзафлопсных фотонных компьютеров с мощностями потребления не более чем у современных «кулоновских» планшетов или ноутбуков взамен огромных серверных блоков с энергопотреблением в несколько мегаватт (в качестве примера можно привести суперкомпьютер «Ломоносов» в МГУ).
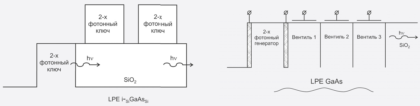
Простейшие примеры 2-фотонных генераторов, цифровых и логических ячеек на основе LPE i- SiGaAsSi -кристалла
В этом разделе на рисунках 3–5 приведены примеры реализации базовых элементов, на которых будут строиться фотонные вычислители.

Физика фононных (релятивистских) ОЗУ (RAM)
Что такое конденсатор? Как правило, в учебниках физики изображается диэлектрик с металлическими обкладками и силовыми линями поля поляризации между обкладками с накопившимся ± зарядом на обкладках. И всё?
В реальности основное применение конденсатора – в качестве реактивного сопротивления в ВЧ или СВЧ приборостроении ( Z = 1 / ωС). Значение ёмкости С = εω = √ με всем известно со школьной скамьи.
Совершенно очевидно, что накопленная энергия в кристалле
зависит от накопленного заряда в ёмкости:

И совершенно очевидно, что C = f(e) и, следовательно, Q = f(e), следовательно, накопленная в кристалле энергия зависит от частоты приложенного поля (рис. 6) и e. Данная энергия описана в 4 уравнениях Максвелла, это атомно-волновая энергия, которая в каждой точке кристалла, допустим, в пределах колебаний фонона (узла решётки) имеет вид [4]:
Или при частотно-полевом воздействии дисперсия квантово-точечной энергии имеет вид:
Из постулатов Максвелла известно, что скорость распространения электромагнитной волны в твёрдом теле (для случая, допустим, диэлектриков AlN; i- SiGaAsSi; Ga2O3; Al2O3 и др.) описывается формулой:
То есть время накопления или обеднения энергии в кристалле определяется расстоянием L между обкладками или:
.
А изменение поля в каждой точке кристалла имеет вид:
Совокупность вышеуказанных формул фактически и описывает энергию Пойнтинга (Максвелла) в кристалле:
В DRAM-ячейке ОЗУ (RAM), показанной на рис. 7, элементом накопления энергии («1») служит конденсатор С.

Элементом «закачки»/трансфера энергии («кулоновских» электронов) является открытый канал MOSFET, который ограничен по частоте коммутации (по промежутку τ = RDSon × C, где RDSon – сопротивление открытого канала MOSFET).
Чаще всего частота коммутации не превышает τ = 10–11 ÷ 5×10–12 с. Это слишком медленно для обмена со «световым»/фотонным процессором. Нужны скорости ОЗУ на полтора-три порядка выше. Логически возникает вопрос – а зачем нужен медленный MOSFET?
С учётом сказанного ранее в данном разделе и при условии понимания эффекта Поккельса, на котором работают оптомодуляторы Маха – Цендера в РОФАР, мы приходим к выводу, что в i- SiGaAsSi изоляторе можно модулировать значение e = 12,8 до ε = 0 (!) (на частоте вблизи λ = 1/300 см–1). Следовательно, количество запасённой/аккумулированной или обеднённой энергии можно «переключать» от значения (12,8 × E²) / 8π до (1,0 × E²) / 8π, чего, в принципе, даже нет в MOSFET – это модуляция или коммутация энергии, поставляемой на ёмкостный накопитель. Так зачем же нужен медленный, устаревший MOSFET? Не нужен.
С учётом одного из оптических каналов Маха – Цендера, а также с учётом исключительной чувствительности по Поккельсу eGaAs к слабоэнергетичным квантам фотонов с энергией ≤ 0,1 эВ, релятивистская ячейка электронно-фононной, или проще – фононной DRAM, будет выглядеть так, как показано на рис. 8.

То есть это тот же конденсатор накопленной (в равновесии) энергии и обеднённой энергии (при электромагнитном воздействии) U = U0Sinωt или W = hv (где W ≤ 0,1 эВ).
В качестве диэлектрика могут быть использованы AlN [8], а также Ga2O3 или Al2O3).
В принципе, нет проблем и с логикой, например, с «интерференционной» логикой «ИЛИ-НЕ», см. рис. 9.

Фононные генераторы, усилители, источники электропитания
В работе Ахманова С.А., Хохлова Р.В. «Об одной возможности усиления световых волн» [5], а также в работе Гордеева А.И. «Перспективные терагерцовые поляризованные информационные системы» [4] показано, что при прохождении электромагнитной волны через нанодиэлектрик с атомами Ga, или Al, или Li микро-, субмикро-, наноячейка представляет собой LC-контур, который обладает добротностью
Из двух-трёх таких ячеек, например, из наноячеек i- SiGaAsSi или AlN при Q1 = Q2 = Q3 можно построить или высокоэффективный генератор, или усилитель «световой» или, в общем случае, электромагнитной волны в дальнем ТГц-диапазоне (т.е. вплоть до частот 300 терагерц).
Фрагмент релятивистского источника электропитания с «нулевой точкой» (релятивистский ВИП) показан на рис. 10.

В дополнение: для терагерцовых цифровых систем, а также для 7G, 8G вплоть до 60 терагерц уже выполнены терагерцовые генераторы (cм. рис. 11) [11] и, конечно же, терагерцовые ОАФ (объёмно-акустические фильтры) [8].

То есть проблем с инжекцией и кодовым транспортом сигналов абсолютно нет.
Скин-металлофазовая «интерференционная» логика
Данная скин-фазовая логика базируется на максвелловском постулате:
где n – показатель преломления.
Скорость света зависит от показателя ε (эффект Поккельса) или от n (основополагающего показателя скорости электромагнитной волны в ТТ по Максвеллу).
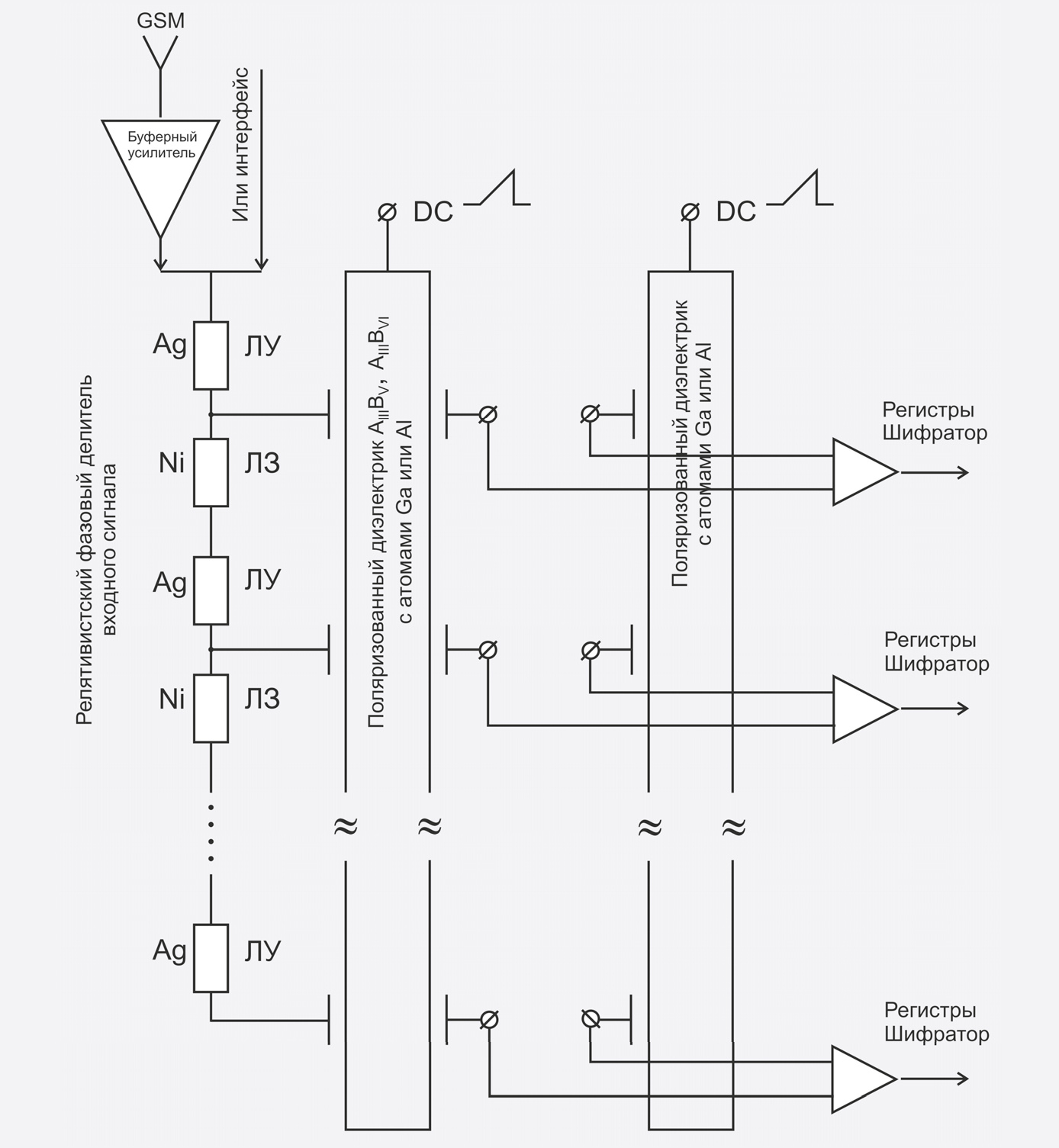
С учётом того, что металл никель (Ni) – это ферромагнетик, а серебро (Ag) – это диамагнетик, показатель преломления в таких металлических проводниках отличается в терагерцовом диапазоне в значительной степени и сближается в ультрафиолетовом диапазоне. Следовательно, мы можем иметь следующую фазово-скоростную упрощённую интерпретацию скорости электромагнитной волны в Ag и Ni (рис. 12).

Это даёт качественное представление о фазовой и временно¢й модуляции при создании фотонной и фононной логики, а также имеет исключительно важное значение при построении АЦП терагерцовых компьютеров.
Как мы видим, при nAg < 1 и nNi >> 1 мы можем создавать как в ТГц-сетях, так и в СВЧ (субтерагерцовом) диапазоне ЛУ (линии ускорения) и ЛЗ (линии задержки). Это имеет также большое значение для 7G, 8G, 9G.
Терагерцовые АЦП
ЦАП/АЦП – обязательные конструктивные элементы цифровых систем. СВЧ ЦАП – достаточно серьёзная технологическая проблема, но проходимая на базе набора элементов на мировом рынке. А вот спроектировать и создать терагерцовые АЦП хотя бы до 10 терагерц (7G) – это важнейшая проблема для архитектуры суперкомпьютеров. Необходимо отметить, что на собственной элементной базе у России с АЦП проблема даже в X-диапазоне частот, не говоря уже о длинах волн l = 1,0 мм (300 ГГц). А необходимо – на 10…100 ТГц. Как же это сделать? Это сложно, но можно.
Важнейшими звеньями терагерцового АЦП следует считать:
- терагерцовый компаратор;
- терагерцовые широкополосные операционные усилители (без искажения формы сигнала);
- терагерцовые регистры и демодуляторы/шифраторы.
Решить проблему АЦП на основе зонной проводимости на дрейфе электронов невозможно. Поэтому нужен такой же комплексный подход, который описан в разделе 2 статьи, т.е. на законах ФТТ.
Важнейшие звенья терагерцового АЦП как в интерфейсе, так и при параллельной работе специализированного АЦП-адаптера под GSM/GPS в терагерцовом диапазоне – это терагерцовый мультиразрядный компаратор «Маха – Цендера» – компаратор с высокой разрядностью, допустим, с числом разрядности 12 на терачастотах и выше, с высокочувствительными усилителями, ТГц-шифратором или регистрами, встроенной системой динамической памяти (RAM) – это исключительно сложный функциональный блок, упрощённая схема которого показана на рис. 13.

Комнатная сверхпроводимость и магноника для построения терагерцовых MRAM
При наличии GaN петагерцовых генераторов вблизи GaN-излучения – 460 нм, а также AlN излучения на 0,24…0,36 мкм возможно создание сверхпроводников на основе дилатационной границы Si-3C-SiC с необычными магнитными свойствами.
Процитируем отрывок из публикации [12]:
«…установлено, что межфазная граница раздела гетероструктуры 3C-SiC(111)/Si(111), выращенной методом согласованного замещения атомов, обладает необычными электрофизическими и оптическими свойствами и соответствует полуметаллу (рис. 2), а не полупроводнику. Удельное сопротивление среды интерфейсного слоя и время рассеяния носителей заряда в ней оценены как 4×10–7Ω×сm и 4×10–16 s соответственно».
Также приведём ещё одну цитату из публикации [12]:
«Выполнен цикл экспериментальных исследований, а именно, проведены измерения и выполнен анализ полевых зависимостей статической магнитной восприимчивости в образцах тонких плёнок монокристаллического SiC, выращенных на поверхностях (100), (110) и (111) монокристаллического Si методом согласованного замещения атомов за счёт химической реакции Si с газом CO. В результате исследований в структурах SiC, выращенных на Si (110) и Si (111), обнаружено возникновение в слабых магнитных полях двух квантовых эффектов при комнатной температуре. Этими эффектами являются, во-первых, образование гистерезиса статической магнитной восприимчивости…»
Ничего особенного, на первый взгляд, кроме гениальности и невероятности, ведь открывается возможность создания фотонного транзисторного ключа для петагерцовой цифры и логики, управляемого электромагнитной волной на частоте от 700 ТГц или (для обывателя) – «синими» или ближне-ультрафиолетовыми квантами!
И как итог – неисчерпаемые возможности, вплоть до «тарелки-рефлектора» – «корректировщика» магнитного поля окружающих Землю тропо-, страто-, ионо- и магнитосфер («не кинетическая» защита воздушных, космических и наземных объектов) в виде «магнитного гиперболоида». Фактически это путь к исключению ядерной катастрофы на планете.
7G, 8G, 9G
Несмотря на сложности, в России идет развитие сетей 5-го поколения (5G). Предполагается использовать диапазон частот 4,4…4,9 ГГц и 24,5…29,5 ГГц.
4,4…4,9 ГГц – это не что иное, как 4G «М» (не более 2 гигабит/с).
Большинство стран для развития сетей пятого поколения выделяют различные спектры частот – как ниже 6 ГГц, так и выше.
США в области развития 5G вообще стоят особняком. Основным диапазоном частот сетей пятого поколения там предполагается сделать сверхвысокие частоты 24 ГГц, 28 ГГц, также намечается использование ещё трёх диапазонов частот: 37, 39 и 47 ГГц.
США ведут разработку 6G на частотах 240…320 ГГц (до 100 гигабит/с).
На Международной конференции по коммуникациям IEEE 2021 сотрудники Samsung и Калифорнийского университета в Санта-Барбаре (UCSB) показали работу сквозной системы беспроводной связи 6G. Точнее, была показана возможность и перспективы использования для сетей 6G диапазона частот в терагерцовом диапазоне, что значительно снизит задержки в передаче данных и в десятки раз увеличит скорость передачи по сравнению с 5G.
Конечно, ничто не мешает вести отечественную разработку 6G на LPE/MOCVD GaAs кристаллах на абсолютно новой элементной СВЧ-базе (униполярно-инжекционных и зонно-релятивистских GaAs СВЧ-диодах и транзисторах с потенциалом работоспособности на λ = 1,0 мм), включая создание синтезаторов, ЦАП, АЦП, УПЧ, фотонных процессоров и др. на рабочей частоте около 300 гигагерц с трансляцией и приёмом из ближнего космоса с мини-спутников с энергопитанием от i-GaAs солнечных батарей с КПД > 30%.
Рынок 6G по западным оценкам составляет около $1,0 трлн. Но Россия пока «идет своим путём» по стандартной схеме так называемого «импортозамещения».
Напомним, что вышеназванные диоды и транзисторы на GaAs и, в принципе, также на GaN в перспективе вытеснят те же GaAs, GaN p-HEMT и другие «классические» СВЧ-приборы. В итоге появляется прекрасная возможность создания вместо печально известной Программы импортозамещения (вероятный потенциал судебных исков ЕС – $290 млрд) реальной Программы развития ЭКБ и радиоэлектроники, опережающей мировой уровень. Одним из авторов статьи подготовлена концепция Программы опережения в области ЭКБ. Также имеется проект создания Центра экстремальной силовой, СВЧ, ТГц электроники, фотоники и фононики с рабочими температурами 300…800°С, находящийся в настоящее время в Правительстве Ульяновской области.
Что касается 7G вблизи частот 6 ТГц, или 8G вблизи частот 30 ТГц, или, наконец, 9G вблизи частот 60 ТГц, то Россия, исходя из вышеуказанной цифровой и аналоговой фотоники и фононики, способна в текущий момент приступить к таким GSM/GPS-разработкам как для цифровой экономики, так и для элементов искусственного интеллекта (на основе «чёрноволнового» излучения человека).
Прогноз рынка вышеназванного направления («твёрдой нефти») оценивается в триллионах $.
Как создавать 7G, 8G, 9G – это отдельная тема. С точки зрения физики твёрдого тела (ФТТ) – это не так уж и сложно, включая ТГц электромагнитно-акустические технологии Wi-Fi на ОАВ.
Заключение
- В статье показаны фундаментальные основы создания фотонных и фононных терагерцовых суперкомпьютеров «настольного формата» без применения криогенной техники и саркофагов к ним. Описана принципиально новая технология туннельно-полевой, безыинжекционной лазерной генерации единичных фотонов, которая позволяет изменить архитектуру фотонного процессора с созданием единой нанообъёмной лазерной, цифровой и логической ячейки процессора («три в одном») с интегрированным «свето»-скоростным фононным ОЗУ.
- В статье показано наличие уникальных технологий по созданию нового поколения фотонных, фононных материалов для терагерцовой и петагерцовой цифровой и аналоговой техники.
- В статье показаны уникальные AIVBIV/AIV наногетеросистемы для «комнатной» сверхпроводимости и магноники.
- В статье показана системность подхода и переход мышления от «цифровой трансформации» к реальным прорывным технологическим подходам для цифровой экономики, а именно: технология терагерцовых портативных фотонных, фононных, магнонных терагерцовых суперкомпьютеров с беспроводными системами связи 7G, 8G, 9G – через мини-спутники на LPE GaAs фотовольтаике.
- Статья тезисно создаёт основание для разработки отечественной Программы по экстремальной аналоговой и цифровой электронике, фотонике, фононике и магнонике, опережающей мировой уровень на несколько лет вперёд, с пересмотром текущей Стратегии развития отечественной электроники.
- В статье показан коммерческий потенциал мирового рынка в триллионах $ на основе предложенных фотонных, фононных и магнонных технологий, с возможностью национальной монополии отдельных сегментов мирового рынка.
- Статья, на наш взгляд, отвечает интересам госкорпораций «Росатом», «Роскосмос», «Ростех», «Росавиация», «Концерна ВКО «Алмаз-Антей», Корпорации «Тактическое ракетное вооружение» (КТРВ), а также коммерческим интересам ряда крупнейших банков РФ (Сбербанк, ВТБ, Газпромбанк, ВЭБ и др.).
Литература
- Гордеев А.И. Проблемы становления российской цифровой экономики и способы исключения ошибок при их решении // Современная электроника. 2019. № 2.
- Гордеев А.И. Как завоевать мировой рынок электроники в посткремниевую эпоху? // Современная электроника. 2021. № 5.
- Гордеев А.И., Войтович В.Е., Звонарев А.В. Новая физическая твёрдотельная электроника на основе терагерцового расщепления и деформации запрещённой зоны LPE SiGaAsSi-кристаллов (Ч. 1) // Радиотехника. 2017. № 10.
- Гордеев А.И. Перспективные терагерцовые поляризованные информационные системы в двух частях // Современная электроника. 2016. № 6; 2016. № 7.
- Ахманов С.А., Хохлов Р.В. Об одной возможности усиления световых волн // ЖЭТФ. 1962. Т. 43. № 1. С. 351–353.
- Кукушкин С.А., Осипов А.В. Оптические свойства, зонная структура и проводимость межфазной границы раздела гетероструктуры 3C-SiC(111)/Si(111), выращенной методом замещения атомов // Письма в ЖТФ. 2020. Т. 46. Вып. 22.
- Гроссе П. Свободные электроны в твёрдых телах. М.: Мир, 1982.
- Кукушкин С.А., Шарофидинов Ш.Ш. Новый метод получения объёмных кристаллов AlN, GaN и AlGaN с использованием гибридных подложек SiC/Si // Физика твёрдого тела. 2019. Т. 61. Вып. 12.
- Степаненко С.А. Фотонный компьютер: Структура и алгоритмы, оценки параметров // Фотоника. 2017. № 7.
- Черкашин Н.А., Сахаров А.В., Николаев А.Е. и др. Особенности эпитаксиального роста III-N светодиодных гетероструктур на подложках SiC/Si // Письма в ЖТФ. 2021. Т. 47. Вып. 15.
- Баграев Н.Т., Кукушкин С.А., Осипов А.В. и др. Терагерцовое излучение из наноструктур карбида кремния // Физика и техника полупроводников. 2021. Т. 55. Вып. 11.
- Баграев Н.Т., Кукушкин С.А., Осипов А.В. и др. Магнитные свойства тонких эпитаксиальных слоев SiC, выращенных методом самосогласованного замещения атомов на поверхностях монокристаллического кремния // Физика и техника полупроводников. 2021. № 55(2). С. 103–111.
Если вам понравился материал, кликните значок — вы поможете нам узнать, каким статьям и новостям следует отдавать предпочтение. Если вы хотите обсудить материал —не стесняйтесь оставлять свои комментарии : возможно, они будут полезны другим нашим читателям!

