Статья опубликована в авторской редакции. Мнение редакции не всегда совпадает с авторской линией. Но редакция всегда открыта к диалогу и предоставляет специалистам возможность донести свою идею до читательской аудитории журнала. Специализированный журнал – это информационная площадка, на которой порой встречаются самые невероятные инженерные решения и проявления творческой мысли.
Нейтронные датчики
Нейтроны и их взаимодействие с GaAs
Нейтрон [1] – нейтральная (не обладающая электрическим зарядом) элементарная частица, имеет массу покоя mn = 1,008665 a.е.м., спин S = ħ/2 (собственный механический момент) и магнитный момент μn = –1,9130 mБ, где mБ – ядерный магнетон), имеет огромное внутреннее поле и нулевое внешнее.
Нейтрон обладает электромагнитной связанной массой в виде конгломерата из электрона и протона с нулевым внешним электрическим полем.
Разные источники нейтронов порождают широкий спектр энергий нейтрона и, с помощью технологий замедления, нейтроны разделяются на «быстрые» и «медленные», что показано в таблице [1].

Наряду с этим у физиков-ядерщиков принята более удобная форма деления нейтронов по энергетическим группам [2]:
- тепловые – En = 0,005 (» 0,2 kT) – 0,5 эВ (19,2 kT);
- резонансные – En = 0,5 эВ – 1,0 кэВ;
- промежуточные – En = 1,0 кэВ – 100 кэВ;
- быстрые – En = 100 кэВ – 14 МэВ.
Перевод «быстрых» нейтронов в «медленные» осуществляется на основе механизма упругого столкновения (рассеяния) нейтронных частиц на лёгких ядрах веществ, таких как [1]:
- лёгкая вода (H2O);
- тяжёлая вода (D2O);
- бериллий/оксид бериллия (Be/BeO);
- углерод (C).
Источниками генерации нейтронов являются [2]:
Радионуклидные источники:
> а) радионуклидные источники на основе (α, n)-реакций (например, при взаимодействии α-частиц (244Сm) с мишенью в виде ядра Be);
б) радионуклидные источники на основе (γ, n)-реакций, то есть на основе генератора γ-лучей и того же бериллия (Ra–Be-источник);
в) источники спонтанного деления радионуклидов, например, 252Сf (нейтронное излучение).
Ядерные реакторы. Генерация нейтронов происходит в процессе управления цепной реакцией в ядерном реакторе на основе деления тяжёлых ядер 235U, 239Pu с средней энергией ≈2,0 МэВ.
Ускорители заряженных частиц. В результате столкновения заряженных частиц с энергиями в сотни МэВ происходит генерация нейтронов.
Взаимодействие нейтронов с кристаллической решёткой полупроводника и, в частности, GaAs, вызывает изменение энергетической системы кристалла путём упругого столкновения с атомами полупроводника (быстрые нейтроны) или вплоть до трансмутации тёплыми нейтронами с энергиями в несколько kT. Быстрый нейтрон имеет большую проникающую способность в твёрдых телах вследствие нулевого внешнего заряда (отсутствие электромагнитного кванта).
Тёплый нейтрон, контактируя с ядром атома посредством прилипания, имеет очень высокую подвижность внутри ядра и расходует свою энергию, последовательно обращаясь к каждому нуклиду. Время энергетического взаимодействия искусственного нейтрона с ядром атома очень короткое и составляет ≈ 10–21 с. В сверхтяжёлых ядрах, например, в 235U и 236U, энергонасыщение искусственного нейтрона в ядре иногда заканчивается катастрофическим распадом (делением) ядра.
Процесс контакта теплового нейтрона с решёткой GaAs приводит к таким процессам, как:

То есть при взаимодействии с тепловым нейтроном происходят ядерные превращения атомов Ga в атомы Zn, а атомов As – в атомы Ge [3]. Цинк в GaAs является широко применяемой акцепторной примесью с энергией ионизации ≈ kT (мелкие уровни, активированные при н.у.). Германий является как амфотерной примесью с глубоким расположением вблизи середины запрещённой зоны, так и, в зависимости от условий рекристаллизации в кристалле GaAs, может образовывать мелкие акцепторные уровни чуть больше 3kT.
Быстрые нейтроны, а также промежуточные нейтроны, взаимодействуя с различными веществами/мишенями на поверхности полупроводника GaAs, порождают вторичные энергетические частицы – как обладающие зарядом (α-частицы, электроны, протоны), так и высокоэнергетичные (незаряженные) кванты/фотоны в виде целого спектра лучей: от γ-квантов до оптических квантов и далее, вплоть до сантиметрового диапазона (тепловые нейтроны).
С точки зрения дефектообразования (выбивания атомов из узла решётки) электроны, протоны, α-частицы проникают в кристалл полупроводника и обладают определённой пороговой энергией. Для LPE GaAs она составляет у электронов порядка En ≥ 250 кэВ [4].
Пороговую энергию дефектообразования α-частиц и протонов в кристалле можно определить из соотношения масс α-частиц и протонов к электрону (в частности, масса протона равна единице атомной массы (а.е.м.) и в 1836 раз больше массы электрона), то есть фактически из соотношения кинетических энергий (mV2/2) частиц, но с поправкой на коэффициент, который связан с сечением захвата ядром заряженной частицы. Поэтому можно говорить о параобразующих дефектах по Френкелю в десятки эВ (энергия ионизации GaAs, то есть энергия ионизации заряженных частиц ≈ 6,0 эВ).
Электрон с энергией 1,0 МэВ, как правило, имеет пробег в кристалле GaAs практически на всю толщину кристалла (> 250 мкм), α-частицы с энергией 1,0 МэВ проникают на глубину 4 мкм. Длина пробега протонов с энергией в 1,0 МэВ в GaAs составит ≈ 20 мкм, g-кванты, как правило, «прошивают» кристаллы GaAs полностью (то есть длина пробега g-квантов в кристалле GaAs в зависимости от энергии достигает нескольких сантиметров, при разумных толщинах чипа: от 0,06 мм (СВЧ-приборы) до 0,4 мм (силовые приборы).
Наличие радиационных дефектов имеет свои хорошие и плохие стороны. В частности, в силовых приборах радиационные точечные дефекты (радиационное легирование) являются прекрасным инструментом повышения быстродействия (частоты силовой коммутации) путём изменения важнейших параметров – плотности накопленной ЭДП-плазмы и времени её релаксации (восстановление обратного сопротивления). Другими словами, в легированных активных областях кристаллов меняются такие параметры, как µ, τ, L, D, а также оптический, диэлектрический и магнитный показатели (n = C/V, ε, µ).
Далее приведём физические модели конструкций нейтронных датчиков на основе LPE i-GaAs-монокристалла с попыткой одновременного сепарирования по энергетическому спектру, то есть датчиков быстрых, промежуточных и медленных нейтронов.
LPE i-GaAs-датчики быстрых нейтронов
«Биллиардный» датчик
Данному датчику, в принципе, уже лет 30, поскольку небольшая (сравнимая по стоимости с платиной) серия таких LPE p–i–n GaAs-датчиков была изготовлена в СССР для сенсорики ядерного полигона в Семипалатинске. Датчики отличались высокой чувствительностью и качеством. Советские датчики быстрых нейтронов были изготовлены на «графитовом» LPE i-GaAs (по типу реакторной LPE-оснастки) и выдерживали напряжения блокирования 600–800 В при заметном токе поверхностной утечки (миллиамперы при t = 250°С и предельных значениях URRM). «Отсекание» поверхностной утечки производится по методике ALD-пассивации, приведённой в [4] с уровнем обратного тока в десятки микроампер при максимальной температуре Tj ≥ 300°C и предельном значении URRM, что очень важно, поскольку бомбардировка нейтронами кристаллической решётки мишени на поверхности полупроводника сопровождается выделением больших значений джоулева тепла (упругое столкновение нейтрона с ядром с резким гашением кинетической энергии нейтрона ΔEn = mnv2/2).
Физический механизм упругого гашения энергии быстрого нейтрона на ядрах водорода в соединениях типа (СH2)n, которые являются замедлителями (конверторами), например, на парафине C18H38C35H72 неплохо описан в недавнем патенте RU 2 532 647 от 28.06.13 г. (МИСиС, г. Москва) [5], с той лишь разницей, что в качестве приёмника вторичной энергии, выделяемой облучённым конвертором, используется высоковольтный электронно-эмиссионный Шоттки GaAs-диод (GaAs SBD) c фиксацией протонов, выбитых из мишени (конвертора) быстрыми нейтронами (упругое выбивание ядер водорода) в области пространственного заряда (ОПЗ) обратносмещённого Шоттки барьерного перехода. Приёмный GaAs-сенсор выполнен методом хлоридной эпитаксии с толщинами слоёв от 10 до 80 мкм, с Pt-барьером Шоттки (≤500 Å) и омическим контактом Ni/AuGe/Au (точнее, вероятно – AuGe/Ni/Au) с тыльной стороны GaAs-сенсора, с пассивацией меза-областей Si3N4.
Это неплохой датчик. Но есть и некоторые замечания, такие как:
- гетерограница Me-GaAs при бомбардировке нейтронами, α-частицами, протонами и электронами будет активно аккумулировать структурные дефекты;
- плотность дислокаций MOCVD-слоёв GaAs-полуизолятора или высокоомного участка, образующих ОПЗ, не ниже чем 103 см–2;
- рабочие температуры чипа GaAs-датчика не выше 150–175°С (качество MOCVD и «потечёт» Si3N4 защита).
В итоге чувствительность такого датчика будет иметь не самые приемлемые пределы.
Предложенный вариант регистратора быстрых нейтронов с использованием водородного конвертора показан на рисунке 1.

На рисунке 2 показано конструктивное исполнение датчика быстрых нейтронов в молибденовой капсуле.

Физика работы p–i–n GaAs-датчика быстрых нейтронов с водородным конвертором заключается в следующем: реакторные нейтроны с максимальной энергией до 14 МэВ (средней ≈ 2,0–2,3 МэВ), попадая в конвертор (СH2)n, испытывают упругие столкновения с ядрами водорода (как минимум, 15 столкновений при достаточно толстых плёнках водородного конвертора, допустим, парафина или полиэтилена), при этом кинетическая энергия начального реакторного нейтрона En = mV2/2 со скоростями до 5 × 109 см/с (близкая к релятивистской) гасится до скорости 2 × 105 – 106 см/с, то есть на три порядка и более.
Рассеянная энергия трансформируется в упругую энергию протона, которая будет составлять энергию от десятых долей начальной энергии быстрого нейтрона вплоть до диапазона в десятки/сотни кэВ – единицы эВ, которая ионизирует кристаллическую решётку GaAs (генерация, в конечном счёте, электронно-дырочных пар).
В итоге, учитывая классические постулаты генерации по зонной теории, можно зафиксировать несколько механизмов генерации носителей заряда (электронно-дырочных пар) в зависимости от плотности потока и флюенса протонов (Np cм–2 × с) и фотонов высоких, средних и низких энергий. При «стандартных» уровнях амфотерной примеси ≈ (0,5 – 5) × 1015 см–3 имеем концентрацию кремния на поверхности i-GaAs ≈ (0,5 – 5) × 1014 см–2. При ионизации протоном ОПЗ средняя длина пробега протона ≈ 1 мкм / 80 кэВ (у α-частиц 1 мкм ≈ 250 кэВ, у электронов (см. [4]) – 1 мкм ≈ 1,2 кэВ. То есть если сечение захвата электронов в GaAs при 100 кэВ составляет ≈ 10–25 – 10–26 см2, то в очевидной пропорции увеличивается сечение захвата у протонов α-частиц при той же энергии.
При энергии ≈ 1,0 МэВ протон проникнет на глубину более чем 20 мкм. Энергия протонов при конечной трансформации в энергию генерации зона/зона или глубокие уровни/зона/зона при Ep = 1,0 МэВ будет инвертирована в энергию не менее 2 × 105 электронно-дырочных пар, что при нанотреке » 1,0 нм2 составит концентрацию ≈ 2 × 1017 электронов/см3, но сечение ионизированного трека, фактически, на порядки меньше. Другими словами, плотность электронно-дырочной плазмы в филаментарных каналах (треках) может оказаться близкой к вырожденной (~ 1020 см–3).
Необходимо учитывать, что часть энергии протона при упругом столкновении с кристаллической решёткой GaAs будет рассеиваться на энергию дефектообразования пар Френкеля, субнанокластерных образований и так далее. То есть на радиационное легирование полупроводника, что приведёт к уменьшению чувствительности датчика при многократных воздействиях.
В более ранних публикациях о свойствах p–i–n GaAs-структур [6] было показано, что прямосмещённые p–i–n диоды выдерживают максимальные температуры до 650К. Следовательно, используя повторяющиеся прямые импульсы тока на p–i–n структуре с плотностью сотни ампер/см2, можно в некоторой степени «отжечь» i- и π-i-области p–i–n структуры, легированные высокоэнергетичными протонами (не затрагивая периферию кристалла), которая выдерживает максимальные температуры почти вплоть до 400°С.
Необходимо отметить, что данные датчики можно подразделить на «карманные» и промышленные. «Карманные» датчики используются как в режиме бета-ЭДС, так и в режиме обратного смещения p–i–n GaAs-структуры (до 40 В). Конечно, чувствительность датчика будет определяться энергией, плотностью потока и флюенсом нейтронов. Промышленные датчики могут быть построены как на обратносмещённых (до 1000 В) COOL гетеро- p–i–n GaAs-структурах, так и на лавинно-доменых n–p–n GaAs «два в одном» транзисторах [7], которые будут иметь высочайшую чувствительность (инжекционно-доменный механизм лавинизации).
Трансмутационные p–i–n GaAs высокотемпературные датчики с рабочей температурой эксплуатации окружающей среды до +300°С
Так называемые «трансмутационные» датчики быстрых нейтронов создаются на основе (n,p) типа ядерной реакции синтеза из ядер 105В изотопа углерода 146С с последующим излучением высокоэнергетичных протонов в p–i–n GaAs-структуру. 105В/ p–i–n GaAs датчики предназначены для сенсорики реакторных нейтронов со средней энергией ~ 2,0 МэВ.
Ядерный синтез на основе быстрых нейтронов и 105В выглядит так [8]:
(n, p) 105В + 10n → 146С + p + 0,63 МэВ.
Как известно, сечение захвата (s, в барнах = 10–24см2) 105В сильно зависит от энергетики нейтрона. Медленные нейтроны имеют огромное сечение захвата в 105В – около s = 3840 барн [1, 2] при E 10n≈10 эВ, и оно изменяется по закону 1/V, где V – скорость медленных нейтронов. С ростом энергии нейтрона (скорости нейтрона) сечение захвата 105В постепенно убывает до значения в единицы и доли единицы барн при превышении E 10n > 1,0 МэВ.
Углеродная трансмутация бора, сопровождаемая излучением потока протонов, происходит при значительных энергиях быстрых реакторных нейтронов порядка 2–10 МэВ.
В качестве борной мишени могут быть использованы такие перспективные термостойкие материалы, как:
- B4C (карбид бора);
- B2O3 (оксид бора);
- BN – нитрид бора (широкозонный полупроводник);
- B/Ni – гальванический боро-никель (нанесённый на омические субмикронные » 0,08–0,1 мкм контакты AuGe/Ni) с толщинами 4–10 мкм).
B4C наиболее предпочтителен, поскольку насыщен изотопом 105В, а также благодаря наличию углеродного замедлителя быстрых нейтронов.
Использование B2O3 в комбинации с ZnS(Ag) широко известно в научном мире.
Полупроводник BN создан ALD-методом на углеродных или на ситалловых/сапфировых подложках, что позволяет ожидать ALD-осаждение через активатор (AlN) на GaAs.
Боро-никель – отработанный в прошлом (в советский период) технологический приём антикоррозийного, термостойкого к окислению покрытия составом B/Ni, устойчивого до +400°С (по показателю паяемость ПСР-припоями).
Далее рассмотрим конструкции специальных нейтронных датчиков диодного и транзисторного типа и специфику их отличия.
Диодные датчики
Высокоэнергетичные протоны, попадая в p–i–n GaAs область физического p–n-перехода (ширина физического p–n-перехода может достичь значительно бóльших размеров, чем даже длина пробега протонов в GaAs с энергиями в 3–5 МэВ) с размерами в десятки микрометров (от 50 мкм и выше), ионизируют кристаллическую решётку GaAs.
Протоны в области равновесного физического p–n-перехода (протоно-вольтаика) выполняют в основном две функции:
- генерацию электронно-дырочных пар, описанную в разделе «Биллиардные датчики»;
- генерацию точечных радиационных дефектов.
Значение протоно-вольтаической ЭДС через, допустим, МЭМС-коммутатор – операционный усилитель можно вывести на АЦП и фиксировать уровни приёмной радиационной микромощности.
В обратносмещённом p–n-переходе будут наблюдаться два механизма лавинизации носителей:
- лавинизация стандартного типа за счёт биполярной генерации двух пар одновременно – электрон/дырка и дырка/электрон с глубокими амфотерными центрами на атомах кремния.
- лавинно-доменная генерация, которая описана в разделе «Биллиардные датчики» и в [7].
С ростом количества радиационных воздействий будет нарастать «усталость» кристаллической решётки к энергетике протонов, и здесь не помогут никакие отжиги (при 400–500°С), которые также будут неэффективны из-за контактной металлизации и специфики атомов As (летучесть).
Следовательно, необходимо искать новые варианты «долгоиграющих» (радиационно-стойких) p–i–n GaAs-приёмников эмиссионных заряженных частиц больших энергий: α-частиц, протонов, γ-квантов и Комптоновских (вторичных) электронов, энергии которых будут превышать порог дефектообразования в LPE i-GaAs (от 250 кэВ на электронах и упругих столкновений в десятки эВ на протонах и α-частицах). По этой причине необходимы новые решения, которые приведены далее.
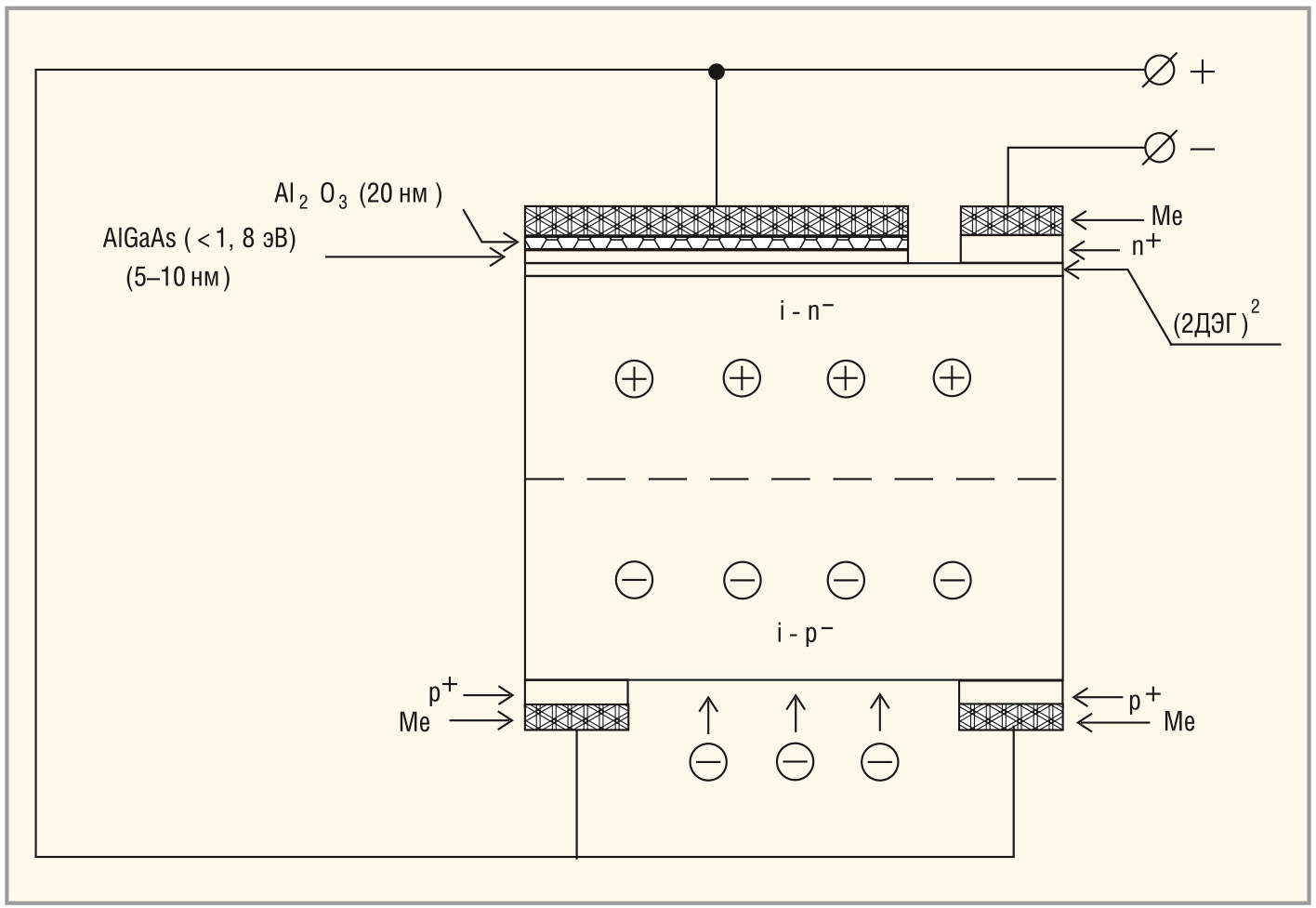
Датчики на нейтронных полевых транзисторах с радиационным затвором, а также полевые транзисторы с инжекционным радиационным истоком
Полевой p–i–n GaAs-транзистор с радиоактивным затвором показан на рисунке 3.

Радиационная обработка мишени нейтронами приведёт к бомбардировке одной из сторон p–i–n GaAs-структуры α-частицами, протонами или облучению γ-квантами и, в результате, будет происходить ионизация i-области GaAs посредством Комптоновских или ионизированных электронов с последующей генерацией зона/зона, глубокие Si-центры / EC / EV зоны электронно-дырочных пар, что скажется на модуляции проводимости на три–четыре порядка бездефектных (не радиационно-легированных) in и ip внутренних слоёв физического p–n-перехода.
Очевидно, что проводимость скрытых от радиации слоёв in и ip будет зависеть от энергии и флюенса/дозы радиационного энергозатвора и, с качественной точки зрения, будет выглядеть так, как показано на рисунке 4.

Полевые транзисторы с радиационным истоком были описаны в публикации [4]. Модель полевого двухэлектродного транзистора с инжекционным истоком показана на рисунке 5.

Датчики медленных нейтронов на основе LPE i-GaAs
Диодные и нейтронно-транзисторные датчики на основе LPE i-GaAs структур могут быть гораздо более успешными в сравнении со всеми другими известными твердотельными полупроводниковыми датчиками медленных, в том числе тепловых (с энергиями меньше 0,5 эВ), нейтронов.
В качестве мишеней в датчиках медленных нейтронов ничего нового нет. Есть прекрасные преобразователи нейтронной энергии на базе 105В и 113Сd. Это универсальные материалы для «компаундирования» нейтрона с ядрами указанных веществ. Их применяемость, или, точнее, граница раздела применения на медленных нейтронах, показана на рисунках 6 и 7 [1, 2].
![Рис. 6. Зависимость сечения захвата 10 5В от энергии нейтронов [2]](/images_soel/publications/2015/2015-9/СоЭл_2015-9pr_page16_pic6.jpg)
![Рис. 7. Зависимость сечения захвата в барнах 113Сd от энергии нейтрона [9]](/images_soel/publications/2015/2015-9/СоЭл_2015-9pr_page16_pic7.jpg)
Ядерные реакции в системах медленные нейтрон/ 105В или нейтрон/113Cd выглядят так:
- реакция распада

В качестве регистраторов нейтронов на 105В часто используют твёрдодисперсные системы ZnS(Ag)/1 мкм, входящие в окись бора B2O3 от 0,1 мкм;
- реакция синтеза
Из рисунков 6 и 7 следует, что наиболее эффективным является применение системы медленный нейтрон / 105В / i-GaAs в диапазоне энергий нейтронов 0,5 эВ – 100 кэВ, а системы медленный (точнее, тёплый) нейтрон / 113Cd / i-GaAs – в диапазоне от 0,5 до сотых долей эВ.
Для разделения границы тёплых и промежуточных нейтронов применяются бинарные 113Cd/ 105В-мишени (105В в кадмиевой капсуле) / i-GaAs.
Очевидно, что можно использовать как вертикальные p–i–n равновесные и обратносмещённые GaAs-структуры, так и (вероятно, более эффективные) нейтронные транзисторы с радиационным затвором.
LPE i-GaAs-датчики космического применения
Датчики для сенсорики электромагнитного излучения в глубоком космосе
Первое, что необходимо отметить, это то, что LPE i-GaAs-электроника (силовые приборы, СВЧ-электроника, фотоника, цифровая техника) – это лучшие из имеющихся сегодня в мире решений с точки зрения построения бортовой электроники для МКС, межпланетных станций, гиперзвуковых ракет/самолётов в стратосфере / ближней ионосфере, а в сочетании (в гетероисполнении) с AlхGa1-xAs (x ≈ 0,6), ZnS, ZnSeS новая электроника будет пригодна для эксплуатации в атмосфере Венеры. Высочайший диапазон рабочих температур LPE i-GaAs (Si) – до 300–350°С, гетеросистемы GaAs / ZnS – до 400–450°С (температура на поверхности Венеры ≈ 480°С, в атмосфере Венеры – 200–450°С).
Кроме того, данные гетерокристаллы очень хорошо выдерживают космическую радиацию (солнечные батареи на МКС созданы на основе GaAs).
Диапазон космического электромагнитного излучения чрезвычайно широкополосен – от звукового (≈ 1000 Гц), которое зафиксировала Автоматическая межпланетная станция Европейского космического агентства «Розетта» при посадке на ядро кометы 67Р/Чурюмова–Герасименко, до сверхжёсткого g-излучения 1021–1022 Гц (X-лучи).
Для сканирования электромагнитного пространства нужны чувствительные радиационно-стойкие приборы с широким температурным диапазоном (±°C). Кроме этого, полупроводниковые приборы должны не только принимать волны от метрового диапазона до тысячных долей ангстрема Å (Х-лучи), но и сами должны быть способны излучать энергию в широком диапазоне: инфракрасном оптическом диапазоне, ультрафиолетовом, рентгеновском или l-диапазоне, что, в принципе, показано в предыдущих статьях, опубликованных в журнале «Современная электроника» [4, 9].
Принимая во внимание научные идеи ныне здравствующего величайшего физика современности, нашего соотечественника В.Г. Веселаго, можно сделать следующие смелые выводы: твёрдые тела, совмещающие в себе свойства изолятора, полупроводника, проводника, сверхпроводника, такие как ковалентный алмаз (diamond), или, ещё лучше, ионно-связанный LPE i-GaAs на сверхвысоких частотах, могут быть:
- поглотителями электромагнитной энергии в виде накопления электромагнитной массы в кристалле (ε > 1 и µ > 1);
- «невидимками» (то есть абсолютно прозрачными) для чрезвычайно узкой части электромагнитных волн, когда волны проникают через тело кристалла без малейшего сопротивления (ε = 0 и µ = 0);
- упругим энергетическим препятствием для любых фотонов, когда ε< 0 – это явление и открыл В.Г. Веселаго более полувека назад (сейчас оно очень активно используется в США);
- «вакуумной средой» (когда ε = 1 и µ = 1).
В итоге приходим к выводу, что «диэлектрический транзистор» и квантовый вентиль, показанные в [9], являются чрезвычайно удобным инструментом для исследования электромагнитного излучения в космическом пространстве, включая солнечное излучение, излучение планет солнечной системы.
Есть здесь и свои «полупроводниковые» особенности. Допустим, при приёме рентгеновских лучей (с Е ≈ 105–106 эВ или с λ ≈ 0,1–0,01 Å или ещё, в более жёстком диапазоне, с частотами ≈ 3 × 1018 – 3 × 1020 Гц) и, тем более, при приёме Х-лучей, когда энергия Комптоновских электронов может оказаться разрушительной для кристаллической решётки, или когда при запредельных частотах X-лучей (от 1022 Гц) появятся новые проводящие частицы – позитроны, что также может являться предметом дальнейших исследований: от прототипов своеобразных, в данном случае, водородоподобных «куперовских пар» до аннигиляционного перерождения снова в Х-кванты.
В любом случае, приёмник g-квантов (энергия составляет от 1,22 × 106 эВ или 1,22 МэВ), которые будут являться генераторами Комптоновских электронов с энергией гораздо выше, чем энергия дефектообразования (пар Френкеля) в полупроводнике (Ge ≈ 350 кэВ, LPE i-GaAs ≈ 250 кэВ, Si ≈ 190 кэВ, diamond ≈ 150 кэВ), что приведёт к заметному «шуму» в диагностике излучения γ-квантов. В связи с этим необходимо использовать энерготормозящую промежуточную мишень на поверхности LPE i-GaAs с созданием энергопреобразователя (см. рис. 8) с длиной волны Де Бройля λ = 1,22/E1/2 (λ – нм, Е – эВ) как в тормозящей мишени, так и в GaAs. При энергии электрона > 100 кэВ все движущиеся электроны обладают релятивистскими свойствами (Е = mV2/2, где V ³ 1,6 × 1010см/с, или V ≈ 0,5C).

Такая модель γ-датчика вполне реализуема на основе LPE i-GaAs-кристалла. По параметрам вторичных по отношению к Комптоновским или третичных лавинно-ионизационных электронов можно анализировать энергоспектр γ-квантов. Как мы видим, при огромной плотности γ-квантов с успехом могут быть созданы компактные источники электропитания [4].
Датчики α-частиц и протонов
При облучении GaAs тяжёлыми заряженными частицами (протонами и α-частицами) образуются радиационные дефекты кристаллической решётки GaAs, такие как: вакансия – междоузельный атом (пары Френкеля), дивакансия и другие. Дефектообразование, как уже указывалось, в широких пределах изменяет электрофизические свойства GaAs, такие как L, µ, D, τ, то есть параметры, определяющие проводимость и скорость генерации/рекомбинации заряда.
В наиболее реальном диапазоне энергий тяжёлых заряженных частиц, как производных от нейтронного облучения, от 0,3 МэВ до 5,0 МэВ глубина проникновения (длина пробега ионизированных частиц) в GaAs будет сильно зависеть от температуры GaAs-мишени. В частности, протон с энергией 300 кэВ создаёт до 50 смещений в GaAs, проникая на глубину до 3 мкм. При этом максимум дефектов при облучении тяжёлыми частицами наблюдается не в начальной, а в конечной стадии пробега.
Количество образованных дефектных пар Френкеля зависит от температуры GaAs-подложки. К примеру, при контроле реакторного теплоносителя (Т >250°С) мы можем получить механизм диссоциации дефектных пар Френкеля, то есть возврат их в исходное состояние. Другими словами, при рабочих температурах > 250°С устойчивость радиационных датчиков к облучению заряженными частицами резко возрастает.
Датчики α-частиц и протонного космического излучения, особенно сильно беспокоившего космонавтов, могут быть реализованы на практике по прототипу «нейтронных» транзисторов (см. рис. 4), с аналогичной физической моделью приёма и через мишень – экран-преобразователь (a-вольтаика, протоно-вольтаика)
Датчики β-частиц
Датчики β-частиц с энергиями ≤ 250 кэВ легко реализуются в виде LPE i-GaAs-датчиков-регистраторов в виде как обратносмещённых p–i–n структур, так и, при большой плотности электронов, на основе бета-вольтаики [4]. Ничего нового здесь, кроме LPE i-GaAs (Si) сверхэффективного бета-приёмника, нет (в сравнении со всеми существующими бета-вольтаическими моделями на полупроводниковых p–i–n структурах эффективность выше в 45 раз).
Датчики спектра инфракрасного излучения Солнца в диапазоне длин волн до 4,0 мкм
Энергетика солнечного излучения в оптическом и коротком инфракрасном диапазоне (0,2–4,0 мкм) выглядит так, как показано на рисунке 9.

С учётом водородоподобного (встроенно-экситонного) расщепления энергетики запрещённой зоны LPE i-GaAs (Si) [9], обратносмещённый LPE i-GaAs квантовый вентиль или «диэлектрический триод» является одним из лучших приёмников/детекторов инфракрасного излучения в диапазоне 0,2–5,0 мкм. В космосе он может служить анализатором реального поведения Солнца. В земной атмосфере это прибор ночного наблюдения для одного из прозрачных инфракрасных атмосферных коридоров, как для ночного видения, так и для инфракрасного самонаведения.
Из рисунка 9 следует, что космические солнечные батареи на МКС не исчерпали свои возможности, и их мощность, с помощью LPE i-GaAs-материала, можно увеличить как минимум на 30% и довести до разумных 50 кВт.
Датчики нейтронов в космосе
Нейтрон в глубоком космосе не существует (время жизни в вакууме ≤ 15 минут). Но, исходя из спектральной характеристики атмосферы Солнца (H, He, Li, Be, B, C, N, O, F, Ne), вероятно, существует достаточно плотная нейтронная атмосфера вокруг Солнца толщиной h = 3 × 1010 cм/с × 900 с = 100–300 млн км. То есть, возможно, достигающая окрестностей Земли (следы нейтронов).
Если принять во внимание «сжатие времени» по теории относительности Эйнштейна, то достаточно мощное излучение нейтронов можно будет обнаружить вблизи Венеры и Меркурия, а с учётом того, что нейтронная масса – это ≈ ½ массы Солнца, то измерение потока нейтронов вблизи Солнца исключительно важно с точки зрения прогнозирования условий жизни на Земле – как для биологического, так и для геополитического климата. Нейтронные датчики для наземного использования ничем не отличаются от космических, и были описаны ранее.
Тепловые и терагерцовые радиационно-стойкие датчики для контроля безопасности при эксплуатации АЭС или космических бортовых реакторов
Температурные датчики
Тепловые радиационно-стойкие твердотельные датчики на известных полупроводниках непригодны к использованию в контактной зоне теплоносителя реактора, к которым предъявляются очень жёсткие нейтронно-физические требования.
Важнейшими характеристиками твердотельных датчиков для контроля температуры теплоносителя являются: высокая чувствительность 1–3 мВ/град, высокая радиационная стойкость с предельной температурой эксплуатации вплоть до 350–374,15°С (когда при давлении 255,65 атмосфер вода – и не пар, и не жидкость).
Для реакторов с водяным теплоносителем (и, в частности, для тяжеловодных водо-водяных реакторов, как, например, на Балаковской АЭС), вероятно, очень полезны будут LPE p–i–n GaAs (Si) датчики с использованием специально выращенных кристаллов диодных структур с прямой ветвью вольт-амперной характеристики (ВАХ), имеющей как положительный, так и отрицательный температурный коэффициент ВАХ. Такие датчики были продемонстрированы в самых первых публикациях по силовым p–i–n GaAs-диодам [10]. График зависимости VF = f(T°C) [10] приведён на рисунке 10 (см. также рис. 11).


Для повышения чувствительности датчика можно использовать мостовую (однофазную) схему включения температурного датчика, когда в одно плечо включён UFRED, в другое – HyperFRED.
В таком случае размах DV = f(DT°C) будет удвоен, то есть чувствительность может быть увеличена до 5,0 мВ/град (или до 0,5 В при DЕ = 100°С).
Рабочий диапазон таких датчиков составит вплоть до сверхкритической температуры реакторного теплоносителя (+350°С) на воде.
СВЧ-датчики для контроля реакторного теплоносителя
Радары, работающие на частотах 18–19 ГГц, практически «слепы» из-за резонансного поглощении электромагнитной волны молекулой воды. Максимум поглощения на частоте f = ω/2π = 18,861 ГГц или λ = С/f = 1,59 см при температуре ≈25°С – радиопоглощение парами H2O. Ещё более эффективное поглощение будет наблюдаться в СВЧ/субтерагерцовом диапазоне на частотах порядка 180 ГГц и около 300 ГГц.
При рабочем режиме реактора в теплоносителе обычно поддерживается pv = const., но в случае аварийной ситуации адиабата резко изменяется. Газ (пар) будет иметь иную энергию поглощения, чем, предположим, при T = 25°C, T = 260°C или T = 300°С. Используя i-GaAs СВЧ-генератор (с Tраб. = 250–300°C) на полевых транзисторах (p-HEMT, JFET, MOSFET, особенно на «диэлектрических триодах») и высокочувствительный бесшумный СВЧ-приёмник на i-GaAs-кристаллах, можно зафиксировать девиацию резонансной частоты поглощения СВЧ-излучения парами воды теплоносителя (используя аварийный спускной кран-датчик по типу бытового крана Маевского). Специфика измерительного процесса будет усложняться тем, что пары водяного реакторного теплоносителя будут состоять не только из молекул H2O, но и диссоциированных под действием g-излучения атомов O–2 и Н+1. Другими словами, резкий рост количества атомов кислорода (как и в случае роста концентрации кислорода в клетках биоткани при онкологии) будет сигнализировать о нарастании вероятности аварийной ситуации в реакторе из-за «перебора» энергии расщепления тяжёлых ядер.

Следуя ярко выраженным резонансным свойствам поглощения атомами кислорода (см. рис. 12) [11] на частоте ≈ 60 ГГц, а также на частоте ≈ 200 ГГц, можно построить СВЧ-датчик контроля концентрации атомов кислорода в парах реакторного теплоносителя, поскольку такой контроль будет фиксировать как рост радиоактивного воздействия на реакторный водяной теплоноситель, так и вероятность неуправляемой реакции диссоциации воды («гремучий газ»).
Можно предположить, что для этих целей будут очень эффективны диэлектрические i-GaAs-триоды [9]. Наличие диэлектрических триодов, квантовых вентилей и нейтронных транзисторов на борту межпланетного космического корабля предоставляет собой очень хорошую возможность реализации нового водородно-кислородного двигателя космических аппаратов с бортовой ядерной энергетической установкой.
Заключение
Показанные в статье возможности создания новых датчиков радиационного контроля нейтронов и заряженных частиц на LPE i-GaAs (Si) кристаллах – совершенно новая технология. Ничего подобного пока в мире нет.
Наряду с традиционной, классической p–i–n приёмной полупроводниковой конструкцией радиоактивных датчиков в статье продемонстрирована новая модель на «нейтронном» транзисторе – полевом транзисторе с модуляцией канала проводимости ионизированными электронно-дырочными парами под воздействием радиационного затвора.
В перспективе возможно создание регистраторов высокоэнергетичных античастиц-позитронов на основе «двухэтажной» гетеросистемы с базовой LPE i-GaAs (Si) подложкой.
Для контроля безопасности ядерных реакторов в статье показаны датчики нового типа – сверхвысокочастотные датчики и датчики субтерагерцового диапазона, которые могут стать достаточно эффективным инструментом для сенсорики «водяных» ядерных реакторов.
Новая силовая, СВЧ, терагерцовая, фотонная, «диэлектрическая», «нейтронная» электроника на основе LPE i-GaAs-монокристаллов может послужить прекрасной стартовой площадкой для территорий опережающего развития (ТОР) Росатома.
Новые идеи и модели патентуются.
Литература
- Кузаков К.А. Курс лекций. Взаимодействие частиц и излучений с веществом. Прохождение нейтронов через среды. МГУ им. М.В. Ломоносова. Научно-исследовательский институт ядерной физики имени Д.В. Скобельцына (НИИЯФ МГУ), Кафедра физики атомного ядра и квантовой теории столкновений. www.np-chair.sinp.msu.ru/cources.html.
- Стогов Ю.В. Основы нейтронной физики. Московский инженерно-физический институт (Государственный университет). Москва. 2008.
- Мокрицкий В.А., Гаркавенко А.С., Зубарев В.В., Ленков С.В. Радиационное легирование сульфида кадмия и арсенида галлия. Украина. Технология и конструирование в электронной аппаратуре (ТКЭА). 2003. №6.
- Войтович В.Е., Гордеев А.И., Думаневич А.Н. Моделирование новой бета-вольтаики на монокристаллах LPE i-GaAs». Современная электроника. 2015. №6.
- Бритвич Г.И., Кольцов Г.И. и др. Патент RU 2 532 647 от 28.06.13. Детектор быстрых нейтронов. МИСиС. Москва.
- Гордеев А.И. Электроника как одна из основ национального суверенитета. Силовая электроника. 2014. №6.
- Vainshtein S.N., Yuferev V.S., Kostamovaara J.T., Kulagina M.M., Moilanen H.T. Significant Effect of Emitter Area on the Efficiency, Stability and Reliability of Picosecond Switching in a GaAs Bipolar Transistor Structure. IEEE Transactions on Electron Devices. 2010. Vol. 57. №4.
- Бекман И.Н. Курс лекций. Ядерная физика. Лекция 15. www.profbeckman.narod.ru/YadFiz.files/L15.pdf.
- Войтович В.Е., Гордеев А.И., Звонарёв А.В. Фотонная и релятивистская энергетика на основе LPE i-GaAs-монокристаллов. Современная электроника. 2015. №7.
- Войтович В.Е., Гордеев А.И., Думаневич А.Н. Чем заменить SiC-диоды Шоттки? Силовая Электроника. 2009. №5.
- Родос Л.Я. Электродинамика и распространение радиоволн. Северо-западный государственный заочный технологический университет. Санкт-Петербург. 2007.
Если вам понравился материал, кликните значок — вы поможете нам узнать, каким статьям и новостям следует отдавать предпочтение. Если вы хотите обсудить материал —не стесняйтесь оставлять свои комментарии : возможно, они будут полезны другим нашим читателям!

