Сигнал треугольной формы широко используется в радиотехнике, вычислительной технике, радиолокации, преобразователях напряжения во временной интервал, широтно-импульсных модуляторах, схемах управления современных источников питания, устройствах временно́й задержки, измерительной технике и т.д.
Схемы формирователей треугольной формы широко освещены в литературе. Простейшим таким формирователем является схема с последовательным соединением компаратора и интегратора. Наряду с простотой основным недостатком этой схемы является зависимость амплитуды выходного напряжения от частоты входного сигнала, невысокая линейность, особенно на низких частотах, и несимметричность выходного напряжения в переходных режимах [1].
Для формирования сигнала треугольной формы часто используется генератор, построенный на базе триггера Шмита и интегратора [2]. Недостатками такого формирователя являются взаимная зависимость амплитуды и частоты и ручное управление, а также невозможность регулирования частоты выходного напряжения изменением частоты входного сигнала в связи с отсутствием в схеме входа.
Интересным схемным решением является формирователь, схема которого приведена в [3]. Работа устройства заключается в противофазном суммировании двух сигналов, получающихся после двухполупериодного выпрямления, входное напряжение одного из которых сдвинуто по фазе на угол 90° [3]. Основным недостатком этого формирователя является низкая линейность.
Несколько повысить точность и линейность формирования треугольного напряжения позволяет применение в схеме аналого-цифрового формирователя [4]. Однако применение в устройстве реактивных элементов снижает быстродействие устройства.
В статье описывается разработка формирователя треугольного напряжения, свободного от приведённых выше недостатков.
На рис. 1 приведена структурная схема устройства. Формирователь содержит удвоитель частоты УЧ, двухполупериодный выпрямитель ДВ, компаратор К, переключатель полярности ПП, блок масштабирования БМ и сумматор С [5].

Устройство работает следующим образом. Входное синусоидальное напряжение переменного тока uвх = Um вх sinωt (рис. 1) с частотой ω подаётся на входы удвоителя частоты УЧ, компаратора К и первый вход сумматора С.
На выходе удвоителя частоты УЧ формируется напряжение u1 = Um вх sin2ωt, удвоенной частотой 2ω и амплитудой Um вх, которое подаётся на вход двухполупериодного выпрямителя ДВ (рис. 1).
После выпрямления выпрямителем ДВ напряжение u2 имеет форму двухполупериодного выпрямления и подаётся на вход переключателя полярности ПП (рис. 1).
Одновременно компаратор К преобразует входное синусоидальное напряжение uвх в напряжение u3 прямоугольной формы, которое подаётся на управляющий вход переключателя полярности ПП и управляет полярностью его выходного напряжения. Причём положительное выходное напряжение u3 компаратора К приводит к изменению полярности выходного напряжения u2 двухполупериодного выпрямителя ДВ на противоположную, а нулевое напряжение – не изменяет полярность напряжения u2. Коэффициент передачи переключателя полярности ПП выбран равным единице, поэтому в первый полупериод входного напряжения uвх он работает как инвертор, а во второй – как повторитель (рис. 1). В результате на выходе переключателя полярности ПП формируется несинусоидальное напряжение u4, которое состоит из фрагментов синусоид и подаётся на вход блока масштабирования БМ.
В блоке масштабирования БМ напряжение u4 масштабируется по амплитуде, и на его выходе формируется напряжение u5, которое подаётся на второй вход сумматора С (рис. 1). Коэффициент передачи блока масштабирования БМ выбран Кп = 0,18.
В сумматоре С полученное напряжение u5 складывается с входным синусоидальным напряжением uвх. В результате на выходе сумматора С и устройства формируется напряжение uвых треугольной формы.
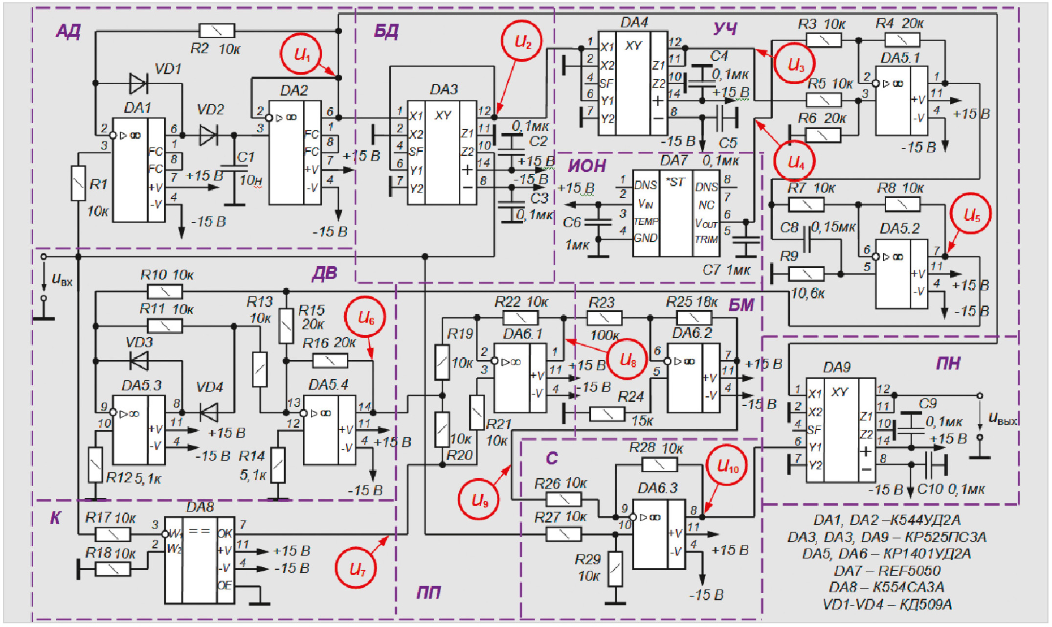
С целью проверки работоспособности формирователя по структурной схеме автором была разработана его принципиальная схема, которая приведена на рис. 2.
На основании полученной схемы был создан опытный образец формирователя и проведены его лабораторные исследования. В результате проведённых исследований были получены осциллограммы напряжений устройства, приведённые на рис. 3.

Следует отметить, что конфигурация и параметры принципиальной схемы несколько отличаются от построения структурной схемы в связи с особенностями применяемых в схеме устройства интегральных микросхем (ИМС) (рис. 2). Для упрощения принципиальной схемы устройства умножитель частоты УЧ был выполнен на основе квадратора. Это потребовало введения в схему формирователя дополнительных узлов: амплитудного детектора АД, блока деления БД и перемножителя напряжений ПН.
Таким образом, амплитудный детектор АД формирователя выполнен на операционных усилителях (ОУ) DA1, DA2, которые выбраны типа К544УД2А с высоким входным сопротивлением с полевыми транзисторами на входе [6]. Блок деления БД выполнен на ИМС DA3 перемножителя напряжений типа КР525ПС3А, включённого по схеме делителя [6]. Умножитель частоты выполнен на перемножителе напряжений DA4 типа КР525ПС3А, включённом по схеме квадратора [6], параллельного сумматора на ОУ DA5.1 на ИМС типа КР1401УД2А и фазосмещателя на 90° на ОУ DA5.2. В качестве источника опорного напряжения ИОН применена ИМС DA7 типа REF5050 с прецизионным выходным напряжением +5 В. Двухполупериодный выпрямитель ДВ в виде активного выпрямителя на ОУ DA5.3, DA5.4 [7]. Компаратор К представляет собой ИМС DA8 компаратор напряжений типа К554СА3А. Переключатель полярности ПП выполнен на ОУ DA6.1, DA6.2 совместно с выходным транзистором компаратора DA8. Сумматор С представляет собой параллельный сумматор на ОУ DA6.3. Перемножитель напряжений ПН выполнен на ИМС DA9 перемножителя напряжений типа КР525ПС3А, включённого по схеме перемножителя (рис. 2).
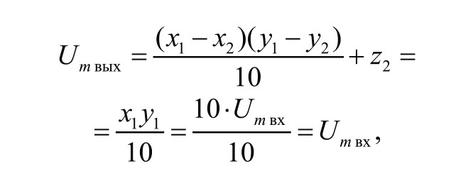
Рассмотрим работу принципиальной схемы (рис. 2) формирователя. Входное синусоидальное напряжение uвх = Um вх sinωt подаётся на входы амплитудного детектора АД, блока деления БД и компаратора К (рис. 2). В блоке деления БД входное напряжение uвх делится на его амплитуду Um вх, в результате чего на выходе блока деления БД формируется напряжение u2 = 10 sinωt с амплитудой напряжения 10 В, независимой от амплитуды входного напряжения Um вх (в структурной схеме амплитуда напряжения u2 имеет единичное значение) [7]:
где x2 = y2 = z1 = 0, поэтому эти входы DA3 в схеме (рис. 2) подключены к общему проводу.
Амплитуда напряжения u2 принята равной 10 В с целью увеличения точности формирователя (рис. 2). Синусоидальное напряжение u2 = 10sinωt подаётся на вход квадратора на ОУ DA4 удвоителя частоты УЧ, на выходе которого формируется напряжение, содержащее постоянную составляющую напряжения 5 В [7]:
где x2 = y2 = z2 = 0, поэтому эти входы DA4 в схеме (рис. 2) подключены к общему проводу.
Напряжение u3 подаётся на неинвертирующий вход параллельного сумматора на ОУ DA5.1 с коэффициентом усиления, равным 2, на инвертирующий вход которого подаётся напряжение u4 = 5 В с источника опорного напряжения на DA7. Тем самым компенсируется постоянная составляющая напряжения u3. Выходное напряжение ОУ DA5.1 подаётся на вход фазосмещателя ФС на ОУ DA5.2, который выполнен в виде фазового фильтра и сдвигает фазу входного напряжения на φ = 90° в сторону опережения (рис. 3) [7]:
φ = 180° – 2arctg(R9C8·2ω) = 180° – 2arctg(10,6·103·0,15·10–6·2·314) = 180° – 2arctg1 = 180° – 2·45° = 90°. (1)
В результате на выходе ОУ DA5.2 и на выходе удвоителя частоты УЧ формируется переменное синусоидальное напряжение u4 амплитудой 10 В (рис. 3):
u5 = [5 – 5cos(2ωt + 90°) – 5]·2 = 10sin2ωt·В.
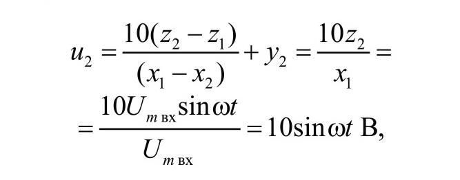
Выходное напряжение u5 удвоителя частоты УЧ выпрямляется двухполупериодным выпрямителем ДВ на ОУ DA5.3, DA5.4, на выходе которого формируется напряжение u6 (рис. 3), поступающее на вход переключателя полярности ПП.
Переключатель полярности ПП выполнен по схеме управляемого усилителя на ОУ DA6.1 [8] и управляется выходным транзистором компаратора напряжения DA8, на выходе которого формируется импульсное напряжение u7 из входного напряжения формирователя uвх (рис. 3). В первый полупериод входного напряжения uвх выходной транзистор компаратора К на ОУ DA8 открыт, и управляемый усилитель на ОУ DA6.1 работает как инвертирующий усилитель, во второй полупериод транзистор компаратора К закрыт, и управляемый усилитель работает как неинвертирующий. В результате выходное напряжение u8 переключателя полярности ПП состоит из фрагментов полусинусоид его входного напряжения (рис. 3).
Выходное напряжение u8 переключателя полярности ПП подаётся на вход блока масштабирования БМ на ОУ DA6.2, где инвертируется и уменьшается до u9 = 1,8 В. Это напряжение u9 вычитается в параллельном сумматоре С на ОУ DA6.3 из входного напряжения uвх с выхода удвоителя частоты УЧ. В результате на выходе сумматора С формируется напряжение u10 треугольной формы амплитудой, равной 10 В (рис. 3), которое подаётся на вход y1 перемножителя напряжений ПН на DA9. На вход x1 подаётся напряжение u1 с выхода амплитудного детектора АД (рис. 2).
При этом в перемножителе напряжений ПН происходит восстановление амплитуды входного сигнала uвх:
где x2 = y2 = z2 = 0, поэтому эти входы DA9 в схеме (рис. 2) подключены к общему проводу.
В результате на выходе перемножителя напряжений ПН и на выходе схемы формирователя образуется напряжение uвых треугольной формы с амплитудой, равной амплитуде входного сигнала Um вх.
Следует отметить, что особенностью работы рассмотренного формирователя является то, что он настроен на промышленную частоту 50 Гц входного сигнала uвх. Если для работы формирователя требуется другая частота входного сигнала, то необходимо изменить параметры фазосмещателя ФС в соответствии с выражением (1). Для работы устройства в широком диапазоне частот необходимо в формирователе использовать широкополосный фазосмещатель ФС, выполненный, например, по схеме, приведённой в [9].
В случае работы формирователя с фиксированным значением амплитуды входного сигнала uвх необходимость в амплитудном детекторе АД и перемножителе напряжений ПН отпадает. При этом на входе формирователя необходимо включить усилитель с соответствующим коэффициентом передачи, чтобы напряжение на входе удвоителя частоты УЧ было равно 10 В.
Литература
- Кауфман М., Сидман A.Г. Практическое руководство по расчётам схем в электронике: Справочник. В 2 т. Т. 1 / пер. с анrл.; под ред. Ф.Н. Покровскоrо. М.: Энерrоатомиздат, 1991. 368 с.
- Алексеенко А.Г. и др. Применение прецизионных аналоговых микросхем. М.: Радио и связь, 1985. 256 с.
- Шустов М.А. Аддитивный формирователь сигнала треугольной формы // Радиотехника. 2003. № 1. С. 95.
- Пат. 81859 Российская Федерация, МПК H03K 4/06. Аналого-цифровой аддитивный формирователь сигнала треугольной формы / Дубровин В.С., Зюзин А.М. № 2008146321/22; заявл. 24.11.2008; опубл. 27.03.2009, Бюл. № 9.
- Пат. № 222828 Российская Федерация, МПК H03K 4/06, H03B 28/00. Формирователь сигнала треугольной формы / Колесников Е.Б. № 2023128369 /07; заявл. 30.10.2023; опубл. 19.01.2024, Бюл. № 2.
- Коломбет Е.А. Микроэлектронные средства обработки аналоговых сигналов. М.: Радио и связь, 1991. 376 с.
- Пейтон А.Дж., Волш В. Аналоговая электроника на операционных усилителях. М.: БИНОМ, 1994. 352 с.
- Хоровиц П., Хилл У. Искусство схемотехники: В 3 т. Т. 1 / пер. с англ. 4-е изд. перераб. и доп. М.: Мир, 1993. 413 с.
- Пат. № 205068 Российская Федерация, МПК G01R 25/04. Устройство сдвига фазы на 90 градусов / Колесников Е.Б. № 2021109335/28; заявл. 05.04.2021; опубл. 25.06.2021, Бюл. № 18.
© СТА-ПРЕСС, 2026
Если вам понравился материал, кликните значок — вы поможете нам узнать, каким статьям и новостям следует отдавать предпочтение. Если вы хотите обсудить материал —не стесняйтесь оставлять свои комментарии : возможно, они будут полезны другим нашим читателям!

