Устройства, предназначенные для фазового сдвига гармонического сигнала, называются фазовращателями. Если имеется возможность регулирования фазового сдвига, то такой фазовращатель называется управляемым (УФВ).
Построение схем УФВ достаточно широко освещено в литературе по электронике. Простейшими фазосмещателями являются пассивные электрические цепи, обеспечивающие сдвиг фазы между током и напряжением – это RC- или RL-цепи [1].
УФВ на основе неуравновешенного четырёхплечевого моста, в одном из плеч которого включён конденсатор, являются также пассивными, имеют относительно простую схему и обеспечивают сдвиг фазы сигнала приблизительно от 10° до 160° изменением сопротивления переменного резистора [2].
Широкое распространение на практике получили схемы активных УФВ на базе управляемых фазовых фильтров с применением операционных усилителей (ОУ). Эти УФВ осуществляют сдвиг фазы входного сигнала от 0° до 180° с отстающим или опережающим фазовым углом сдвига путём изменения сопротивления переменного резистора [3].
Применение в УФВ фазовых фильтров сделало возможным электронное управления сдвигом фазы путём замены переменных резисторов потенциально регулируемыми элементами, например, на полевом транзисторе, аналого-цифровом преобразователе или перемножителе напряжений [4].
Вышеперечисленные УФВ имеют следующие недостатки: либо ручное управление и переменный коэффициент передачи, либо нелинейность регулировочной характеристики. Кроме того, все эти известные УФВ имеют узкий диапазон углов сдвига фазы.
Развитие средств современной электроники позволило коренным образом пересмотреть подход к построению устройств фазового сдвига и разработать УФВ, свободный от вышеуказанных недостатков.
При построении схемы разработанного УФВ было использовано известное тригонометрическое выражение, которое касается формулы синуса суммы двух аргументов [5]:
sin(x+y) = sinx cosy + cosx siny.
На рис. 1 приведена структурная схема разработанного УФВ.

УФВ содержит фазосмещатель ФСМ на 90°, первый и второй перемножители напряжений ПН1 и ПН2, блок масштабирования БМ, формирователь косинуса ФК, формирователь синуса ФС и сумматор С [6, 7].
УФВ работает следующим образом. Входное синусоидальное напряжение (рис. 1) uвх = Um вхsinωt с частотой ω подаётся на первый вход первого перемножителя ПН1 и вход фазосмещателя ФСМ на 90°. Фазосмещатель ФСМ сдвигает фазу сигнала на 90° в сторону опережения. В результате на выходе фазосмещателя ФСМ формируется напряжение:
u1 = Um вхcosωt.
Полученное напряжение u1 подаётся на первый вход второго перемножителя ПН2.
Одновременно напряжение управления Uу постоянного тока подаётся на вход блока масштабирования БМ. Для принятой максимальной величины напряжения управления |Uу max| = = |±10| В = 10 В коэффициент передачи блока масштабирования БМ выбран равным Kп = 0,1π ≈ 0,314 (использовался в математической модели при моделировании УФВ). При этом на выходе блока масштабирования БМ формируется напряжение u2, пропорциональное напряжению управления Uу и численно равное углу сдвига фазы φ в радианах. Полученное напряжение u2 подаётся на входы формирователей косинуса ФК и синуса ФС.
После тригонометрического преобразования напряжения u2 на выходе формирователя косинуса ФК формируется напряжение u3 = cosφ. Напряжение u3 подаётся на второй вход первого перемножителя ПН1 (рис. 1). При этом на выходе формирователя синуса ФС формируется напряжение u4 = = sinφ. Напряжение u4 подаётся на второй вход второго перемножителя ПН2 (рис. 1).
Перемножители ПН1 и ПН2 производят перемножение соответствующих входных сигналов uвх и u1 на сигналы, полученные на выходе формирователей косинуса ФК и синуса ФС. Соответственно u3 = cosφ и u4 = sinφ.
В результате на выходах перемножителей ПН1 и ПН2 формируются напряжения соответственно u5 и u6:
u5 = uвхu3 = (Um вхsinωt)cosφ;
u6 = u1u4 = (Um вхcosωt)sinφ.
Выходные напряжения u5 и u6, полученные после перемножителей ПН1 и ПН2, суммируются в сумматоре С, на выходе которого и на выходе УФВ формируется напряжение uвых [7]:
uвых=(Um вхsinωt)cosφ + (Um вхcosωt)sinφ = Um вхsin(ωt + φ).
Моделирование УФВ в пакете прикладных программ MATLAB & Simulink показало, что УФВ обеспечивает сдвиг фазы φ входного сигнала от –180° до +180°, т.е. в диапазоне углов 360° при изменении напряжения управления Uу в диапазоне ±10 В и единичном коэффициенте передачи. Величина угла сдвига фазы φ прямо пропорциональна напряжению управления Uу, поэтому регулировочная характеристика УФВ φ = f(Uу) линейная [7], что упрощает построение различных электронных устройств, работа которых основана на фазовом сдвиге. При этом коэффициент пропорциональности равен Кпр = 18 град/В.

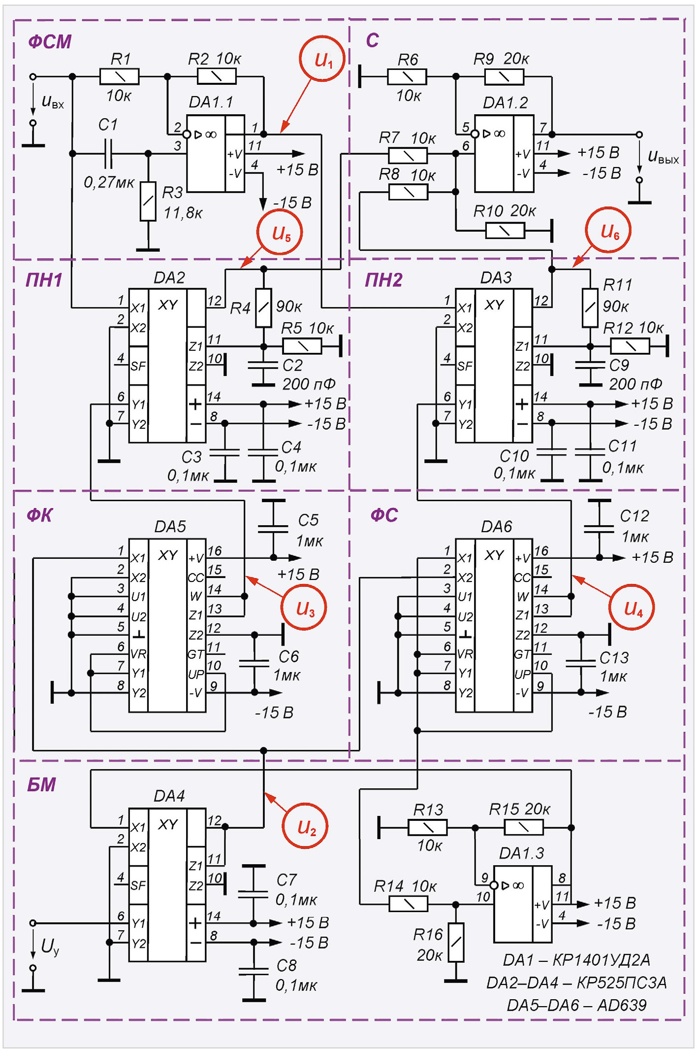
Принципиальная схема разработанного УФВ приведена на рис. 2. Схема выполнена на интегральных микросхемах (ИМС): счетверённом ОУ DA1 типа КР1401УД2А, перемножителях напряжений DA2…DA4 типа КР525ПС3А и конверторов тригонометрических функций DA5, DA6 типа AD639 [8].
Фазосмещатель ФСМ выполнен на ОУ DA1.1, включённом по схеме фазового фильтра, который сдвигает входное напряжение uвх на угол 90° в сторону опережения на частоте 50 Гц (рис. 2), для чего необходимо выдержать соотношение [3]:
φ=180° – 2arctg(R3C1ω) = 90°
или 2arctg(2πfR3C1) = 90°,
тогда 2πfR3C1 = 1. (1)
Задавшись ёмкостью конденсатора C1 = 0,27 мкФ, было определено сопротивление резистора R3:

Коэффициент передачи фазосмещателя ФСМ равен единице при равенстве сопротивлений резисторов R1 и R2 [3].
Блок масштабирования БМ выполнен на ИМС перемножителя напряжений DA4 и ОУ DA1.3. В отличие от модели [7], в соответствии с [8] коэффициент преобразования (масштабирования) ИМС AD639 составляет Кпр = 50 град/В, а на выводе 6 «VR» формируется опорное напряжение величиной Uоп = 1,8 В. Таким образом, чтобы обеспечить угол 180°, это напряжение необходимо увеличить в два раза. Поэтому коэффициент передачи усилителя на ОУ DA1.3 выбран равным 2. В результате на выходе блока масштабирования БМ будет формироваться напряжение U2 = ±3,6 В при изменении напряжения управления Uу в пределах ±10 В, т.е. [9]:
где x2 = y2 = z2 = 0, поэтому эти входы DA4 в схеме (рис. 2) подключены к общему проводу.
Формирователь косинуса ФК выполнен на ИМС DA5 типа AD639, включённой по схеме формирователя косинуса согласно [8].
u3 = cos(Kпр u2) = cos(50•0,36Uy) = cos(18Uy).
Формирователь синуса ФС выполнен на ИМС DA5 типа AD639, включённой по схеме формирователя синуса согласно [8].
u4 = sin(Kпр u2) = sin(50•0,36Uy) = sin(18Uy).
Перемножители напряжений ПМ1 и ПМ2 выполнены на интегральных микросхемах ИМС перемножителей DA2 и DA3 типа КР525ПС3А [8]. Коэффициент передачи этих перемножителей единичный, в отличие от стандартного применения. Это обеспечивается использованием внутренних ОУ ИМС перемножителей DA2 и DA3, включённых по схеме неинвертирующих усилителей, которые реализуются введением отрицательной обратной связи при помощи внешних резисторов R4, R5 и R11, R12 соответственно.
На выходах перемножителей DA2 и DA3 формируются напряжения u5 и u6 соответственно:
u5 = (x1 – x2)(y1 – y2) + z2 = x1y1 = uвхu3 = (Um вх sinωt)cos(18Uy);
u6 = (x1 – x2)(y1 – y2) + z2 = x1y1 = u1u4 = (Um вх sinωt)cos(18Uy);
где uвх = Um вх sinωt; u1 = Um вх cosωt; x2 = y2 = z2 = 0, поэтому эти входы DA2 и DA3 в схеме (рис. 2) подключены к общему проводу.
Напряжения u5 и u6 подаются на входы неинвертирующего сумматора С, выполненного на ОУ DA2, имеющего единичный коэффициент передачи. В результате на выходе сумматора С и на выходе УФВ формируется напряжение:
uвых = u5 + u6 = (Um вх sinωt)cos(18Uy) + (Um вх cosωt)sin(18Uy) = Um вх sin(ωt + 18Uy) = Um вх sin(ωt + φ).
.
По разработанной схеме (рис. 2) был создан опытный образец УФВ и проведены его лабораторные исследования, которые показали работоспособность устройства и правильность выбора схемных решений.
На управляющий вход УФВ последовательно подавались уровни напряжений Uу постоянного тока от –10 В до +10 В и снимались осциллограммы входного uвх и выходного напряжений uвых.
На рис. 3 приведены осциллограммы напряжений, полученные в результате исследований опытного образца УФВ.

Из осциллограмм видно, что на первом интервале входного напряжения uвх от 0 до 4 мс при напряжении управления Uу = +10 В угол сдвига фазы сигнала составляет φ = +180°. На втором интервале входного напряжения uвх от 4 до 8 мс при напряжении управления Uу = + 5 В угол сдвига фазы сигнала составляет φ = +90°. На третьем интервале входного напряжения uвх от 8 до 12 мс при напряжении управления Uу = 0 В угол сдвига фазы сигнала составляет φ = 0°. На четвёртом интервале входного напряжения uвх от 12 до 16 мс при напряжении управления Uу = –5 В угол сдвига фазы сигнала составляет φ = –90°. На пятом интервале входного напряжения uвх от 12 до 16 мс при напряжении управления Uу = –5 В угол сдвига фазы сигнала составляет φ = –180°.
Таким образом, разработанный УФВ позволяет сдвигать фазу φ входного сигнала от –180° до +180°, т.е. в диапазоне углов 360° при изменении напряжения управления Uу от –10 В до +10 В.
Следует отметить, что рабочий диапазон частот разработанного УФВ ограничен промышленной частотой 50 Гц, так как фазосмещатель ФСМ обеспечивает сдвиг фазы входного сигнала на 90° только на этой частоте. Для перестройки УФВ на другую частоту необходимо в ФСМ изменить параметры цепи R3C1 в соответствии с выражением (1). Для расширения рабочего диапазона частот УФВ фазосмещатель ФСМ можно выполнить широкополосным по схеме, приведённой в [10].
Литература
- Баскаков С.И. Радиотехнические цепи и сигналы: учеб. пособие. М.: Высш. шк., 2003. 462 с.
- Гусев В.Г., Гусев Ю.М. Электроника: учеб. пособие для приборостроит. спец. вузов. М.: Высшая школа, 1991. 622 с.
- Пейтон А.Дж., Волш В. Аналоговая электроника на операционных усилителях. М.: БИНОМ, 1994. 352.
- Дубровин В.С. Управляемые фазовращатели // Южно-уральский научный вестник. Бийск, 2012. Вып. 2 (2). С. 38–41.
- Бронштейн И.Н., Семендяев К.А. Справочник по математике для инженеров и учащихся вузов: учебное пособие. СПб.: Лань, 2010. 608 с.
- Пат. № 206198 Российская Федерация, МПК G01R 25/04, H03H 11/16, H03H 17/08. Управляемый фазовращатель / Колесников Е.Б. № 2021113412 /28; заявл. 11.05.2021; опубл. 30.08.2021, Бюл. № 25.
- Колесников Е.Б. Управляемый фазовращатель гармонического сигнала // Изв. вузов. Электроника. 2023. Т. 28. № 4. С. 509–517.
- AD639 Datasheet – Analog Devices. URL: https://datasheet4u.com/datasheet-pdf/AnalogDevices/AD639/pdf.php?id=145684 (дата обращения: 15.08.2025).
- Коломбет Е.А. Микроэлектронные средства обработки аналоговых сигналов. М.: Радио и связь, 1991. 376 с.
- Пат. № 196044 Российская Федерация, МПК G01R 25/04. Устройство сдвига фазы на 90 градусов / Колесников Е.Б. № 2019141469/28; заявл. 12.12.2019; опубл. 14.02.2020, Бюл. № 5.
© СТА-ПРЕСС, 2025
Если вам понравился материал, кликните значок — вы поможете нам узнать, каким статьям и новостям следует отдавать предпочтение. Если вы хотите обсудить материал —не стесняйтесь оставлять свои комментарии : возможно, они будут полезны другим нашим читателям!

