1. Виды помех в устройствах микроэлектроники СВЧ
Источниками помех в устройствах микроэлектроники СВЧ являются блоки питания, микропроцессоры, видеодрайверы, радиочастотные генераторы и многие другие компоненты. Помехи могут распространяться двумя способами. Первый – излучением, когда электромагнитная энергия распространяется в пространстве и взаимодействует с другими системами. Второй – проводной путь, когда помеха проходит по проводникам системы, таким как дорожки печатной платы и выводы компонентов. Часто помехи возникают из-за ненадёжных соединений в электронных устройствах. Проводная помеха будет улавливаться другими устройствами, подключёнными к той же линии [1–11].
Нежелательные помехи подразделяются на радиочастотные помехи (Radio Frequency Interference – RFI) и электромагнитные помехи (Electromagnetic Interference – EMI) [1–2]. RFI – помехи в диапазоне частот 3–30 ГГц и более, вызваны сигналами из различных источников. EMI включают в себя помехи более низких частот как от природных, так и от искусственных источников. К природным источникам относятся молнии и солнечная радиация, а к искусственным источникам – линии электропередач, электронное оборудование и многое другое. Подавление помех в этом случае происходит за счёт экранирования, создания барьеров, которые поглощают или перенаправляют электромагнитные помехи, предотвращая их воздействие на электронные компоненты.
В технической литературе помехи этих двух видов чаще всего объединяют и называют электромагнитными помехами. Однако при поиске необходимой информации по помехоподавляющим фильтрам целесообразно их указывать как EMI/RFI Filters.
Эффективная фильтрация электромагнитных помех необходима практически для каждого современного электронного устройства. Помехи вызывают сбои в работе, ошибки в данных и системные сбои, серьёзно влияя на надёжность и функциональность электронных систем. В связи с миниатюризацией аппаратуры, ростом чувствительности схем и компонентов к помехам и повышением частоты передачи сигналов ужесточаются требования к обеспечению электромагнитной совместимости (ЭМС). Под ЭМС понимается «способность технических средств функционировать с заданным качеством в заданной электромагнитной обстановке и не создавать недопустимых электромагнитных помех другим техническим средствам» [3].
В настоящее время общепризнано, что основным средством подавления ЭМП и развязывания по высокой частоте цепей питания и управляющих сигналов являются фильтры нижних частот, которые пропускают низкочастотный сигнал и блокируют нежелательные высокочастотные помехи. Фильтры устанавливают в каждый незаземлённый провод в цепи питания между источником и нагрузкой по возможности как можно ближе к источнику помех. Поэтому помехоподавляющие фильтры стали неотъемлемой частью электронных модулей СВЧ и микроэлектронной аппаратуры [1–11].
Различают две большие группы миниатюрных помехоподавляющих фильтров: проходные, монтируемые в корпуса изделий, и для поверхностного монтажа на печатные платы. В данной статье рассмотрены миниатюрные фильтры первой группы.
Фильтр электромагнитных помех блокирует помехи, чтобы защитить от их негативного воздействия другие электронные устройства. При этом высокочастотные сигналы воспринимаются как шум, а низкочастотные сигналы пропускаются (рис. 1) [4].

2. Электрические схемы фильтров нижних частот
Электрические схемы однозвенных фильтров нижних частот приведены на рис. 2 [4, 5].

Помехоподавляющий фильтр нижних частот представляет собой линейный четырёхполюсник, предназначенный для частотной селекции сигналов. Фильтр выделяет из сложного электромагнитного колебания, подаваемого на его вход, частотные составляющие, расположенные в полосе пропускания, и подавляет частотные составляющие в полосе задержания (рис. 2б) [5].
С-фильтр – проходной конденсатор с тремя выводами, включаемый между источником помехи и нагрузкой. Конденсаторы работают как фильтры нижних частот, когда подключаются параллельно нагрузке в цепи между сигнальным проводником и «землёй» устройства. Особенность импеданса конденсатора заключается в том, что он уменьшается на более высоких частотах.
Примечание: импеданс – это комплексное эффективное электрическое сопротивление между двумя узлами для цепи гармонического сигнала. Символом полного сопротивления является Z, а единицей измерения Ом. Z=√(R² + XL²), где R – активное, а XL – реактивное сопротивления. Значения Z и XL зависят от частоты.
Так как характер помехи в основном высокочастотный, она отводится конденсатором на «землю». При большой ёмкости конденсатор шунтирует переменную составляющую тока помехи, и она не попадает в нагрузку, и в нагрузку поступает постоянный ток. В высокочастотных схемах требуются конденсаторы с низкими эквивалентным последовательным сопротивлением (ESR) и эквивалентной последовательной индуктивностью (ESL) для обеспечения минимальных потерь сигнала и высокой эффективности. Низкое значение ESR указывает на то, что фильтр не будет рассеивать много энергии во время работы.
L-C-фильтр содержит один индуктивный и один ёмкостной элементы и применяется в случае низкого импеданса источника и высокого импеданса нагрузки. В случае использования индуктивного элемента он включается последовательно в цепь с помехами.
В качестве индуктивности в таких фильтрах применяют трубчатые ферритовые сердечники, надетые на центральный проводник. Основную долю (более 90%) в величину индуктивности вносит феррит. Для применения в фильтрах выбирают высокочастотные термостабильные никель-цинковые ферриты марки 50 ВН [5]. Полное сопротивление индуктивности растёт с увеличением частоты, что позволяет ослабить или подавить помехи. Индуктивность при работе на высоких частотах по своим свойствам приближаются к резистору, что, во-первых, уменьшает вероятность возникновения паразитных колебаний, а во-вторых, не искажает форму полезного сигнала. Конденсатор действует как «канал связи с землёй» для сигналов, но только на высокой частоте, где и возникает «шум». Индуктивность отбрасывает «шум» обратно по линии, но пропускает сигналы постоянного тока [6].
Pi-фильтр содержит два ёмкостных и один индуктивный элементы. Наличие второго конденсатора значительно улучшает параметры подавления ЭМП. Фильтры с такой электрической схемой целесообразно применять при низких значениях импеданса источника и нагрузки.
Т-фильтр состоит из двух индуктивных и одного ёмкостного элементов. Этот фильтр применяют в случае высоких значений импеданса входа и выхода, например, в цепях коммутации.
3. Основные параметры помехоподавляющих фильтров
Основными параметрами фильтров с разными электрическими схемами являются: частота среза; вносимое затухание; электрическая ёмкость; номинальные напряжение и ток; сопротивление изоляции; герметичность; рабочий диапазон температур; миниатюрность, конструктивные особенности и удобство применения.
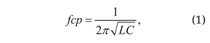
Главными показателями эффективности работы фильтра являются частота среза, величина вносимого затухания (α), размеры полос перехода и задержания (рис. 2б). На частоте среза фильтра (fср) – величина вносимого затухания равна 3 дБ, что на 3 дБ ниже по амплитуде уровня полосы пропускания фильтра. Частота среза определяет нижнюю границу частотного диапазона подавления помех. Частоту среза для LC-фильтра рассчитывают по формуле:
где L – индуктивность, C – ёмкость конденсатора.
Эффективность действия помехоподавляющих фильтров оценивают величиной вносимого затухания (ɑ) сигнала помех:
где U1 и U2 – напряжения на нагрузке без фильтра и с фильтром.
Вносимое затухание в технике СВЧ удобно измерять в децибелах. Например, если U1 = 100 мВ, а U2 = 1 мВ, то α = –40 дБ. Приведём некоторые полезные соотношения, вытекающие из приведённой формулы (2): 3 дБ соответствуют изменению измеряемой величины в 2 раза, 6 дБ – 4 раза, 10 дБ – 10 раз, 20 дБ – 100 раз, 30 дБ – в 1000 раз и т.д. При величине 40 дБ вносимых потерь на частоте 100 МГц фильтр удаляет 99,99% помех.
Вносимое затухание – один из важнейших параметров при выборе фильтра электромагнитных помех. Чем больше величина вносимого затухания и чем уже полоса перехода, тем выше эффективность подавления ЭМП фильтром.
Величина вносимого затухания фильтра зависит от его электрической схемы (рис. 3) [5].

Электрическая ёмкость фильтра (далее – ёмкость) – также важнейший параметр, определяющий все основные электрические параметры фильтра: частоту среза, ширину полосы перехода и уровень вносимого затухания в полосе задержания. Чем больше величина электрической ёмкости, тем меньше частота среза, ширина полосы перехода и тем выше уровень вносимого затухания. Ёмкость фильтров для применения в цепях питания должна быть не менее 1500 пФ, для цепей наносекундных импульсных сигналов (чтобы не исказить форму импульса) – не более 50 пФ [5, 8].
В табл. 1 показана частотная зависимость вносимого затухания от ёмкости фильтров с электрическими схемами C, L-C, Pi [5].

Сравнение частотных зависимостей вносимого затухания фильтров, построенных на основе разных электрических схем, показывает, что эффективность подавления электромагнитных помех возрастает в последовательности схем C, L-C, T и Pi.
Зарубежные компании приводят величины вносимого затухания на определённых частотах, например 10, 100 и 300 МГц, 1 и 10 ГГц. Величину вносимого затухания отечественных фильтров ранее приводили как среднее значение в заданном диапазоне частот. Это обстоятельство следует учитывать при сравнении отечественных и зарубежных фильтров.
Номинальный ток – максимально допустимый непрерывный рабочий ток при номинальном напряжении и заданной температуре окружающей среды. Номинальный ток фильтра должен быть равен или превышать максимальный постоянный входной ток, который может потреблять устройство [8].
Номинальное напряжение – максимальное напряжение сети, с которым может работать фильтр. Оно должно быть равно или превышать максимальное входное напряжение, подаваемое на фильтруемое устройство. Фильтры могут выдерживать кратковременные перенапряжения выше номинального уровня, но постоянное превышение номинального напряжения может привести к серьёзному повреждению конденсаторов фильтра [8].
Сопротивление изоляции – электрическое сопротивление изоляции между корпусом и выводами фильтра, измеренное при определённом напряжении. Оно определяет токи утечки фильтра. Величина сопротивления изоляции помехоподавляющих фильтров разных типов от 500 МОм до 10 ГОм.
Рабочий диапазон температур – это диапазон температур, при которых фильтр может безопасно работать. Для большинства коммерческих фильтров диапазон рабочих температур составляет от –25°C до +85°C или от –25°C до +100°C. Для военных применений этот диапазон должен быть от –40°C до +100°C или от –60°C до +125°C. Использование фильтра при температуре, выходящей за пределы этого диапазона, может привести к повреждению его компонентов.
Герметичность. Понятие «герметичность» без указания величины скорости натекания гелия (или другого газа) через фильтр не имеет практического смысла. Известны три уровня герметичности [9].
1. Герметичность не регламентируется и поэтому не гарантируется. Это относится ко всем фильтрам, герметизированным эпоксидными компаундами.
2. Скорость 1,3×10–6–1,3×10–7м3•Па/с – средний уровень герметичности. Фильтры среднего уровня герметичности нежелательно применять в изделиях с большим сроком хранения. Они предназначены для изделий менее ответственного назначения или кратковременного действия.
3. Скорость натекания 1,3×10–9–1,3×10–11м3•Па/с – высокий уровень герметичности (вакуумная плотность) фильтра. Герметичность обеспечивается за счёт внутреннего металлостеклянного спая. Такую скорость натекания определяют масс-спектрометрическим методом при помощи гелиевого течеискателя. Фильтры высокого уровня герметичности необходимы для применения в герметизированной аппаратуре СВЧ высокой надёжности.
4. Об измерении параметров помехоподавляющих фильтров
Все производители указывают в спецификациях на выпускаемые фильтры величину вносимых потерь на разных частотах в системе с эталонным сопротивлением 50 Ом. Производитель фильтра зачастую не знает ни уровня помех, связанных с конкретным устройством, ни реальных значений сопротивления нагрузки. Поэтому опубликованные характеристики вносимых фильтром потерь в определённом диапазоне частот или во всём диапазоне частот не обязательно отражают эквивалентное ослабление помех в устройстве на практике. Производителю устройства желательно проводить собственные испытания, чтобы определить, подходит ли фильтр для подавления помех в его устройстве.
Следует подчеркнуть, что вносимое затухание обычно определяют в измерительной схеме с волновым сопротивлением 50 Ом. При включении фильтра в электрическую схему, в которой сопротивления источника и нагрузки не равны 50 Ом, величина эффективного вносимого затухания фильтра будет отличаться от измеренной [8]:
где Zи и Zн – сопротивления соответственно источника и нагрузки, Ом;
Zп – сопротивление линии передачи, Ом, определяемое по графику рис. 4 [8].

Например, если Zи = 100 Ом, Zн = 600 Ом, а величина вносимого затухания фильтра равна 50 дБ на частоте 100 МГц при измерении в 50-омной схеме, то Zп = 0,08 Ом. Тогда эффективное вносимое затухания равно:
Эти измерения осуществляют с использованием двухпортового анализатора цепей (рис. 5) [9].

В данном контексте S-параметры пассивных радиочастотных фильтров представляют собой матрицу, зависящую от частоты:
Поскольку измерительное устройство является пассивным (и немагнитным), то есть S12 = S21, то для описания отклика фильтра необходимы только три параметра: S11, S21 и S22. Величина и фаза этих сигналов соответствуют нескольким частотно-зависимым параметрам, важным для анализа фильтров (табл. 2) [9].

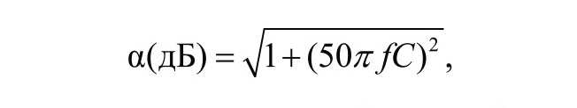
Компания Corry Micronics рассчитывает величину вносимого затухания С-фильтров по упрощённой формуле:
где ƒ – частота, Гц; C – ёмкость фильтра, фарад [9].
5. Конструкция миниатюрных помехоподавляющих фильтров
5.1. Трубчатые и дисковые конденсаторы, применяемые в миниатюрных помехоподавляющих фильтрах
Первый международный стандарт MIL-PRF-15733 на конденсаторы и фильтры закрепил конструкцию фильтров, в которых в качестве электрической ёмкости применялся трубчатый тонкостенный керамический конденсатор. Но когда были разработаны монолитные многослойные дисковые конденсаторы, они сразу заняли доминирующее положение в конструкциях помехоподавляющих фильтров.
На рис. 6 показаны трубчатые и дисковые конденсаторы, применяемые в помехоподавляющих фильтрах.

Многослойные монолитные дисковые конденсаторы, содержащие от двух до нескольких десятков металлизированных определённым образом тонких слоёв керамики, имеют прочную конструкцию, малую собственную индуктивность и ёмкость до нескольких единиц микрофарад. Такая структура достигается путём нанесения на керамическую подложку слоёв различных металлических электродов и диэлектрика. Используемые материалы, как правило, представляют собой керамический диэлектрик на основе BaTiO3 с электродами из PdAg с покрытием Au [14].

В качестве примера в табл. 3 приведены размеры и параметры некоторых дисковых конденсаторов американской компании Advanced Monolithic Ceramics (AMC) [9].
5.2. Конструкция фильтров с трубчатым и дисковым конденсаторами
На рис. 7 показаны типичные конструкции помехоподавляющих фильтров с трубчатым и дисковым конденсаторами компании Souriau PA&E [13]. Внутри трубчатого конденсатора расположены ферритовый сердечник и центральный проводник (индуктивность) (рис. 7а).

В зависимости от материалов, используемых для изготовления сердечника, феррит эффективно работает на определённых частотных диапазонах. На более высоких частотах ферриты переходят из режима индуктивности в режим потерь, как резисторы [1].
Конструкция с трубчатым конденсатором имеет следующие недостатки:
- невозможность получения в миниатюрных фильтрах большой ёмкости (более сотых долей микрофарада);
- повышенная хрупкость трубчатого конденсатора, из-за которой в нём могут возникнуть трещины во время установки и при пайке фильтра в корпус изделия.
Конструкция фильтра с дисковыми конденсаторами показана на рис. 7б и 8.

В фильтре с Pi-схемой компании Souriau PA&E ферритовый сердечник расположен между двумя дисковыми конденсаторами [13]. Фильтр, показанный на рис. 8б, герметизирован с торцов металлостеклянным спаем и эпоксидным компаундом.
Заключение
Борьба с электромагнитными помехами – важнейшая задача при создании изделий микроэлектроники СВЧ. Подход к её решению усложняют следующие факторы:
- возрастание функциональных возможностей и сложности изделий;
- миниатюризация;
- увеличение плотности компоновки и усиление взаимного влияния компонентов;
- повышение рабочих частот;
- рост требований к надёжности и долговечности и вследствие этого необходимость герметизации изделий.
Помехоподавляющие фильтры являются важнейшими компонентами электронных устройств, обеспечивающими снижение уровня нежелательных помех.
Во второй части данной статьи будут рассмотрены типы фильтров, их выбор и применение, а также сравнение зарубежных и отечественных фильтров.
Литература
- Guide to EMI Filters | Ohmite Mfg Co. URL: https://ohmite.com.
- Экранирование RFI/EMI: защита электроники в современном мире. URL: https://www.niceone-keypad.com/ru.
- Воловик М., Смирнов В. Керамические проходные конденсаторы и фильтры нижних частот. Состояние и перспективы развития // ЭЛЕКТРОНИКА: Наука, Технология, Бизнес. 2004. № 7. С. 36–40.
- Applications and Benefits of EMI Filters. URL: https://www.iqsdirectory.com/articles.
- Джуринский К.Б. Миниатюрные помехоподавляющие фильтры СВЧ диапазона частот // Современная электроника. 2023. № 8. С. 28–33.
- EMI Filters advanced EMI protection. Oxley Group. URL: https://www.oxleygroup.com.
- How to Choose the Right EMI Filter for your Design? URL: https://components101.com.
- EMI Filters Selection Guide – EEE Parts... | doEEEt.com.
- Джуринский К.Б. Современные радиочастотные соединители и помехоподавляющие фильтры / под ред. д.т.н. А.А. Борисова. СПб.: Изд-во ЗАО «Медиа Группа Файнстрит», 2014. 426 с.
- LC Filter Design Tool. Marki Microwave. URL: https://markimicrowave.com.
- Bulkhead-miniature-emi-filters-for-aerospace-applications-explained. URL: https://www.doeeet.com.
- Comprehensive Guide to EMI Filter Selection – EMC Directory. URL: https://emc-directory.com.
- PАЕ. cat.057. Souirau PA&E. 2007. Vol. 3.
- Производство керамических конденсаторов. 31 янв. 2024 г. Компания «ЕвроМикроТех». URL: https://euromicrotech.ru.
© СТА-ПРЕСС, 2025
Если вам понравился материал, кликните значок — вы поможете нам узнать, каким статьям и новостям следует отдавать предпочтение. Если вы хотите обсудить материал —не стесняйтесь оставлять свои комментарии : возможно, они будут полезны другим нашим читателям!

