Введение
Первые радиоэлектронные устройства работали на частотах, при которых ток протекал по всему сечению проводника. Достаточно было рассчитать волновое сопротивление линии передачи, после чего результат работы таких линий был предсказуем. Потери, возникающие в линии передачи, описывались через тангенс угла диэлектрических потерь основания и определялись значением проводимости материала.
С развитием радиоэлектроники, технологии и повышением рабочей частоты было замечено, что сигналы во время прохождения по металлическим проводникам подвергаются дополнительным искажениям и затуханиям, и расчётные значения потерь сигнала на этапе проектирования схемы не совпадали с реальными значениями потерь.
При проектировании высокоскоростных или высокочастотных устройств разработчик для снижения потерь в проводниках должен стремиться снизить длину последних и их влияние друг на друга, используя современные методы [1, 2]. Для оценки падения мощности сигнала при передаче необходимо проводить анализ целостности сигналов [3] в специализированном программном обеспечении (ПО) [4]. В процессе анализа разработчики аппаратуры зачастую упускают дополнительные потери мощности сигнала, возникающие вследствие неоднородной поверхности проводника.
Микрополосковая линия передачи
Для понимания необходимости учёта неоднородности поверхности при расчёте потерь электрической энергии сигналов в проводниках необходимо разобраться в принципах работы линий передачи. Рассмотрим распространение типичного электромагнитного импульса по медной микрополосковой линии. С одной стороны линии передачи возбудим электромагнитный импульс сигналом V (0, t) (см. рис. 1).

На нижней стороне (со стороны опорного слоя) сигнальной трассы будет образовываться повышенная поверхностная плотность заряда, равная: σe,S = ε2 × E2,х, и пониженная плотность заряда на плоскости земли. По мере продвижения плотности заряда вдоль трассы будет нарастать напряжённость магнитного поля

в распространяющейся среде [5].
При отсутствии неоднородности поверхности затухание сигнала в данной линии передачи обусловлено только потерями в диэлектрике.
Наличие неоднородности поверхности проводника приводит к неоднородности и искажению электромагнитного поля (см. рис. 2).

Однако линии передачи без неоднородности технологически недостижимы. К примеру, неоднородность поверхности медного проводника на стеклотекстолите с усиленной степенью адгезии представляет собой «снежные комы» (см. рис. 3).

Исследования в этой области показали, что повышение рабочей частоты приводит к существенному влиянию эффектов неоднородности поверхности проводника, при увеличении рабочей частоты влияние только усиливается [6]. По причине отсутствия во времена становления радиоэлектроники современных инструментов контроля, таких как электронно-лучевой микроскоп, была выбрана гипотетическая и упрощённая модель неоднородности поверхности проводника в виде прямоугольных и треугольных канавок, бесконечно распространяющихся вдоль проводника.
На сегодняшний день все методы учёта неоднородности делятся на три основных типа: поправочные или корректирующие коэффициенты, эффективные параметры и полноволновые модели.
Методы учёта помех
Самым распространённым способом учёта потерь в линии передачи является использование эффективного тангенса угла диэлектрических потерь [7]. Данный подход позволяет проводить грубый учёт вносимых помех. С увеличением рабочей частоты проектируемого устройства, когда скин-эффект становится сопоставим по глубине проникновения электрического поля с размером неоднородности поверхности, используют дополнительный способ учёта потерь протекания сигнала по проводнику, чаще всего используется корректирующий коэффициент Хэммерстада, который позволяет представить поверхность проводника в виде зубчатой (пилообразной) последовательности (см. рис. 4).

Однако корректирующие коэффициенты не позволяют получить физическую картину затухания сигнала при его распространении по проводнику при достижении порога частот, зависящего от метода и конкретной математической модели.
При необходимости проектирования устройств, работающих в области частот порядка 60 ГГц, применяются полноволновые способы моделирования распространения электромагнитной волны по линии передачи с детальной прорисовкой поверхности проводника [8]. Такой метод требует значительных затрат времени на создание трёхмерной модели линии передачи, а также вычислительных ресурсов и времени на проведение расчётов.
Математические модели для расчёта корректирующих коэффициентов
Первые методы учёта неоднородности поверхности заключались в том, чтобы скорректировать расчётное значение импеданса линии передачи по следующей формуле:

где переменная K является поправочным коэффициентом, описывающим неоднородность поверхности. Рассчитывается переменная K различными математическими моделями.
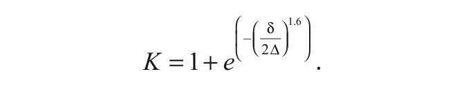
Одним из первых способов учёта неоднородности поверхности проводников на низкотемпературной керамике является модель поправочного коэффициента Хэммерстада [9].
Модель Хэммерстада описывает неоднородность поверхности пилообразно вдоль поверхности проводника. Когда глубина поверхностного слоя значительно больше высоты неоднородности поверхности, то неоднородность не вносит существенных искажений. Когда глубина поверхностного слоя меньше, чем высота неоднородности поверхности, то электрический ток протекает по пути, повторяющему рисунок неоднородности (см. рис. 4).
Расчёт корректирующего коэффициента Хэммерстада выполняется по следующей формуле:

Для применения данного метода необходимо знать значение эффективной (среднеквадратической) высоты неоднородности HRMS [10].
Со временем разработчики заметили, что результаты вычислений (при расчёте потерь мощности) по модели Хэммерстада имеют значительные погрешности относительно реальных измерений. Модель неоднородности Хэммерстада имеет максимальное увеличение длины пути протекания тока не более чем в 2 раза от идеального. Однако на практике неоднородность может проявляться как потеря мощности более чем в 2 раза. При достижении скорости шины передачи данных уровня 8 Гбит/с данная модель не позволит предсказать уровень вносимых потерь и работоспособность шины [11].
Например, при измерении производительности линии передачи на высоких частотах, потери в линии передачи оказались больше, чем это было предсказано с помощью формулы Хэммерстада (см. рис. 5). Также было замечено, что с ростом частоты уровень расхождения математической модели и измерений возрастает [12].

Модель Groiss [13] – ещё одна модель, подобная модели Хэммерстада с небольшими модификациями, которая позволяет получить коэффициент коррекции. Использование данной модели позволяет получить схожие с моделью Хэммерстада результаты. Модель Groiss используется в коммерческих продуктах, выполняющих полноволновые вычисления, такие как Ansys High Frequency Structure Simulator (HFSS) и Simbeor.
Далее были предприняты попытки разработать методы учёта неоднородности поверхности, позволяющие повысить точность предсказываемых потерь в проводнике.
Модель Холла аппроксимирует неоднородность поверхности (приближает) к серии полушарий, выступающих из поверхности проводника (см. рис. 6). Данная модель также актуальна только на частотах, при которых глубина поверхностного слоя меньше радиуса полушария.

Впоследствии модель Холла стала называться полусферической (Hemispherical) [14]. Данная модель позволяет рассчитать дополнительный коэффициент затухания на частотах до 30 ГГц [15]. Полусферическая модель труднее для реализации, так как требует дополнительных геометрических факторов, таких как высота и среднеквадратичное значение радиуса полушарий, что позволяет добиться более точных результатов. Вычисление корректирующего коэффициента выполняется по следующей формуле:

Также Холл предложил несколько альтернативных вариантов для учёта неоднородности поверхности проводников, например заменить параметр проводимости на параметр учёта неоднородности. Предлагается пересчитывать её с использованием эффективной глубины поверхностного слоя. Глубина поверхностного слоя, как правило, обратно пропорциональна квадратному корню из частоты. Холл предлагает сделать пропорцию немного большей, чем 1/2, для увеличения потерь мощности. Ещё одно предложение заключается в том, чтобы использовать в расчётах эффективный тангенс угла диэлектрических потерь и ставить его значение выше, чем фактическое значение тангенса используемого материала. Однако все эти методы основаны на предположениях, и непонятно, как вычислять коэффициенты отклонений. Полученные значения будут действовать только в узком диапазоне частот, для которых данные предположения были выполнены.
С появлением высокопроизводительной электронной вычислительной техники Милан Лукич (Milan V. Lukic¢) предложил создавать компьютерно-генерируемые аналитические уравнения, которые бы имитировали результаты полноволнового моделирования [16]. Уравнения, полученные данным способом, точны для диапазона более высоких частот. Однако, как говорилось ранее, данная модель имеет все недостатки использования полноволновых решателей. В своей работе Лукич представил метод, позволяющий имитировать с помощью полноволнового решения только поверхность. Он сравнивал различные типы неоднородности: пирамидальные, полусферические, кубические. Однако Лукич не показывал, как использовать его метод для применения к реальным образцам и материалам.

Если сравнить все вышеперечисленные методы вычисления поправочного коэффициента для имитации дополнительного затухания, то можно заметить: результаты будут схожи, за исключением небольших отклонений (см. рис. 7). С появлением современных средств измерений стало возможно детально изучить поверхность проводника, так были получены фотографии поперечного сечения (см. рис. 8).

Хурей выполнил анализ среза и заметил, что из всех вариантов ближе всех к истине оказалась модель Холла, которая имитировала поверхности в виде полусфер. Однако в полусферической модели не учитывались случаи «снежных комов». Хурей совместно с Холлом определил уровень неоднородности поверхности медного проводника на основании снимка, полученного методом сканирующей электронной микроскопии (см. рис. 3) [5].
После анализа полученных снимков была создана новая модель учёта неоднородности поверхности – модель Холла-Хурея [17]. В общем виде она моделирует поперечное сечение проводника в виде сфер, расположенных на полусферах.
Рассмотрим, как подобные медные сферы, или, как их называет Хурей, «снежные комы», влияют на распространение электромагнитной волны. Расположим одну такую сферу увеличенного радиуса на пути распространяющейся электромагнитной волны (см. рис. 9). По рисунку видно, что интенсивность поля существенно меняется.

Далее рассмотрим, как электрическое и магнитное поля воздействуют на изолированный «снежный ком» и последующую генерацию электрического дипольного момента и магнитного дипольного момента с получением рассеяния электромагнитного поля вне сферы (см. рис. 2).
На рисунке 10 видно, как вокруг сферы вследствие её заряда индуцируется электромагнитная волна. Далее Хурей описал, как периодические колебания в линии передачи вызывают переизлучение от сферы, и представил рассеиваемую мощность, построив поперечное сечение рассеяния σsc.

Падение напряжённости магнитного поля индуцирует также и магнитный момент в идеально проводящей сфере (см. рис. 11).

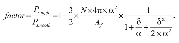
Расчёт электромагнитного поля микрополосковой линии передачи и получение её коэффициента передачи с учётом потерь мощности можно выполнить полноволновым методом. В этом методе расчёта линии передачи без трёхмерной прорисовки неоднородностей необходимо провести расчёт электромагнитных полей и добавить фактор неоднородности поверхности. Таким образом, итоговое расчётное уравнение импеданса линии передачи будет выглядеть так:

где переменная factor и является коэффициентом неоднородности поверхности;

– толщина поверхностного слоя; Prough – потери мощности на неоднородной поверхности; Psmooth – потери мощности на гладкой поверхности;

– поверхностное соотношение Холла-Хурея (sr).
Для использования данной формулы необходимо знать три переменных: Af – площадь элементарной ячейки; N – количество узелков на ячейку (в модели представлены сферами); α – средний радиус одной сферы.
На данный момент метод Холла-Хурея является самым точным способом учёта потерь мощности в линии передачи на СВЧ ИС из стеклотекстолита с медными проводниками. Экспериментально было определено, что данная модель соответствует реальным потерям на частотах до 50 ГГц [5].
Для использования модели Хурея во временно́й области Бракен сделал её модификацию для применения в программных средствах расчёта электромагнитных полей. Особое внимание он уделил тому, чтобы граничная функция импеданса имела причинно-следственную связь при моделировании во временно¢й области.
Учёт геометрической неоднородности поверхности в Altium Designer с использованием Simbeor
В Altium Designer, начиная с версии 19, включено ядро Simbeor от компании Simberian для расчёта электромагнитных полей, которое позволяет учитывать геометрическую неоднородность поверхности с помощью различных математических моделей: Modified Hammerstad; Huray Snowball; Modified Groiss, Hemispherical, Huray–Bracken.
Для разных моделей используются различные функции учёта неоднородностей F (SRi, δs) (см. таблицу).

Для всех моделей в качестве исходных данных требуется наличие двух параметров:
- RF > 1 – коэффициент неоднородностей: максимальное увеличение потерь мощности вследствие влияния неоднородностей;
- SR – параметр неоднородностей поверхности, который определяет размер неоднородности в микрометрах. Для модели Хурея он будет определять диаметр «снежного кома».
Для учёта геометрической неоднородности поверхности в Altium Designer необходимо выбрать тип математической модели (model type), ввести параметр неоднородности поверхности (RF) и коэффициент неоднородности (SR) в группе параметров Roughness в менеджере структуры слоёв (Layer Stack Manager) в панели Properties в разделе Other (см. рис. 12).

Заключение
Учёт геометрической неоднородности поверхности при работе с высокоскоростными и высокочастотными конструкциями печатных плат позволит более точно смоделировать распространение сигнала по линии передачи и избежать проблем с целостностью сигналов на стадии проектирования. Ядро Simbeor, встроенное в Altium Designer, позволяет учитывать геометрическую неоднородность поверхности при расчёте параметров линий передач с помощью различных математических моделей.
Литература
- Зырин И. Д., Карабан В. М. Методы снижения паразитной связи между проводниками. Технологии электромагнитной совместимости. 2013. № 3 (46). С. 68–78.
- Зырин И. Д., Карабан В. М., Морозов Е. А. Инновационный подход к трассировке печатных проводников. Материалы 17-го Международного молодёжного форума «Радиоэлектроника и молодёжь в ХХІ веке». Сб. материалов форума. Харьков: ХНУРЭ. 2013. Т. 2. С. 123–124.
- Зырин И. Д., Сунцов С. Б., Морозов Е. А., Карабан В. М. Анализ целостности сигналов универсального электронного модуля бортовой РЭА космического назначения. Известия высших учебных заведений. Физика. Т. 54. 2011. № 10/2. С. 91–96.
- Зырин И. Д., Карабан В. М. Алгоритм трансляции топологического рисунка из Altium Designer в Siwave. ANSYS Advantage Ru. Электроника. 2012. № 18.
- Huray P. G., Pytel S. G., Hall S. H., Oluwafemi F., Mellitz R. I., Hua D. and Ye P. Fundamentals of a 3-D «Snowball» Model for Surface Roughness Power Losses. 11th Annual IEEE SPI Proceedings. May 13-16. 2006. P. 121–124.
- Morgan S. Effect of Surface Roughness on Eddy Current Losses at Microwave. Journal of Applied Physics. 1949. № 20. P. 352–362.
- Кечиев Л. Н. Проектирование печатных плат для цифровой быстродействующей аппаратуры. Москва: ООО «Группа ИДТ». 2007. 616 с.
- Зырин И. Д., Карабан В. М. Влияние шероховатости поверхности керамики марки GREEN TAPE 951 и серебряной пасты 6148 фирмы DU PONT на параметры сигнала микрополосковой линии передачи. Доклады XII Международной научно-практической конференции студентов, аспирантов и молодых учёных «Молодёжь и современные информационные технологии». Томск. 2014. Т. 1. С. 246–247.
- Hammerstad E., Jensen O. Accurate models for microstrip computer aided design. Microwave symposium Digest. 1980 IEEE MTT-S International. Washington, DC, USA. 1980. P. 407–409.
- Hammerstad E., Bekkadal F. Microstrip Handbook. Trondheim: ELAB-report, STF44, 1975.
- Hall S. Modeling Requirements for Transmission Lines in Multi-Gigabit. Electrical Performance of Electronic Packaging. IEEE 13th Topical Meeting. 2004. P. 67–70.
- Oluwafemi O. Surface Roughness and its Impact on System Power Losses. Columbia: Univ. of South Carolina, 2007.
- Groiss S., Bardi I., Biro O., Preis K. and Richter K. R. Parameters of lossy cavity resonators calculated by the finite element method. IEEE Transactions on Magnetics. 1996. № 32. P. 894–897.
- Hall S., Pytel S., Huray P., Hua D., Moonshiram A., Birst G. and Sijercic E. Multigigahertz causal transmission line modeling methodology using a 3-D hemispherical surface roughness approach. Microwave Theory and Techniques. IEEE Transactions. 2007. Vol. 55. N. 12. P. 2614–2624.
- Xiao M. A. Modeling of conductor surface roughness effect. Urbana: University of Illinois at Urbana-Champaign. 2014.
- Lukic¢ M. V., Filipovic D. S. Modeling of 3-D Surface Roughness Effects With Application to u-Coaxial Lines. IEEE Transactions on Microwave. Theory and Techniques. № 55. 2007. P. 518–525.
- Yunhui C. Method for modeling conductor surface roughness. Metod US 8,527,246 B1. Sep 3. 2013.
Если вам понравился материал, кликните значок — вы поможете нам узнать, каким статьям и новостям следует отдавать предпочтение. Если вы хотите обсудить материал —не стесняйтесь оставлять свои комментарии : возможно, они будут полезны другим нашим читателям!

