Введение
Настоящий период развития электроники отличается широким использованием сигналов всё меньшей мощности, что продиктовано эволюцией микроэлектронной компонентной базы в направлении уменьшения технологических норм. С другой стороны, повышается плотность монтажа и трассировка проводников печатных узлов, что приводит к возникновению перекрёстных помех, способных иметь шумовой или импульсный непериодический характер. Такие составляющие являются аддитивными по отношению к измеряемым сигналам и часто имеют с ними перекрывающиеся полосы частот. Они могут наблюдаться при инструментальном анализе сигналов во временно́й и в частотной областях.
Следующей причиной появления шума при измерениях могут быть кондуктивные и излучаемые помехи, порождённые вне объекта измерений. К этой группе помех относятся и те, которые образованы наводками на измерительную оснастку или цепи объекта измерений, вызванные сторонними электромагнитными полями. Классическим примером в этом смысле является распространение помехонесущих токов по цепям заземления ввиду их повышенного полного сопротивления [2]. В результате такие цепи приобретают плавающий потенциал, колебания которого проявляются на осциллограммах в виде аддитивной составляющей. Для сигналов сравнительно малого уровня она может иметь существенное относительное значение.
Наконец, третья возможная причина появления дополнительного шума кроется в трактах самого осциллографа и состоит в очевидном снижении отношения «сигнал/шум» при анализе сигналов с амплитудными характеристиками на уровне чувствительности прибора. При этом на экране прибора при минимально возможной цене деления по амплитуде наблюдается аддитивный случайный процесс с нормальным распределением и среднеквадратичным отклонением, зависящим от эффективного числа разрядов аналого-цифрового преобразования и мощности привнесённого трактом широкополосного шума.
Таким образом, выполнение реальных измерений, в особенности по месту эксплуатации электронных устройств, весьма часто сопровождается наличием аддитивного шума в измеряемых сигналах. Очевидно, что даже если шумовая составляющая не маскирует полезный сигнал, её наличие всё равно негативно влияет на точность результатов измерений и их качество в целом: больший разброс приобретают значения результатов автоматических измерений, а для периодических сигналов снижается межпериодная корреляция. Ввиду этого целесообразно рассмотреть методы, позволяющие снизить влияние аддитивного шума на качество результатов приборного анализа сигналов во временно́й области.
Основные способы снижения влияния шумов на результаты анализа сигналов во временно́й области
Номенклатура способов снижения влияния шума на результаты анализа сигналов во временно́й области и качество их наблюдения на экране осциллографа оказывается весьма широкой, однако применимость каждого из них определяется причиной появления нежелательных аддитивных составляющих и частными условиями решения измерительной задачи. Важно подчеркнуть, что все рассматриваемые ниже методы не будут эффективными, если сигнал и шум образованы их свёрткой [3]. Для таких случаев должна применяться гомоморфная обработка.
Усреднение, реализуемое современными цифровыми осциллографами по заданному количеству осциллограмм, позволяет уменьшить уровень отображаемого шума за счёт его статистической компенсации. Это хорошо работает, если речь идёт о шуме с нормальным или, по крайней мере, симметричным распределением и нулевым математическим ожиданием. Способ в основном применяется для периодических сигналов, однако при специальных типах запуска развёртки применим и для непериодических сигналов. В [4] отмечается, что такое усреднение позволяет получить улучшение отношения сигнал/шум порядка 1,4 дБ, или 28%.
Ограничение полосы пропускания также является базовой функцией современных осциллографов. Для распространённых любительских приборов с полосой 100 МГц частота среза обычно соответствует 20 МГц, что позволяет снизить уровень широкополосного шума в 5 раз, или на 7 дБ. Более дорогие профессиональные осциллографы имеют настраиваемую частоту среза, что позволяет адаптировать ограничение полосы пропускания под конкретный измеряемый сигнал. Ключевым фактором использования данного способа, равно как и почти всех рассматриваемых ниже других, является получение достоверных результатов измерений, поэтому во избежание влияния фильтрации на измеряемый сигнал (ИС) необходимо иметь о нём априорную информацию в достаточном объёме. В данном случае требуется знать полосу частот, занимаемую ИС.
Цифровая фильтрация ИС может выполняться в двух вариантах. Некоторые модели цифровых осциллографов имеют настраиваемые пользователем цифровые фильтры всех четырёх наиболее распространённых типов: полосовые, режекторные; нижних, верхних частот. Как правило, они имеют порядок не выше двух для ограничения вычислительных затрат. Другой вариант выполнения цифровой фильтрации состоит в том, что она реализуется в специальных программах, например, в MATLAB. Во всех случаях, где в схеме на рис. 1 требуется математическая обработка, с осциллографа получают последовательно взятые выборки, т.е. он фактически служит аналого-цифровым преобразователем с изменяемыми настройками.
Передача отсчётов в программу, выполняющую обработку, может осуществляться посредством стандартных интерфейсов или путём их сохранения в файл. Эффективность цифровой фильтрации, которая может быть достигнута такой внешней обработкой, оказывается намного выше, и сравнительно легко могут быть синтезированы фильтры с порядком более 10 [5].
Во многом сходным решением является использование внешних фильтров, в том числе перестраиваемых. Здесь уже не требуется математическая обработка, однако необходим подходящий фильтр, который должен быть подвергнут предварительной калибровке. Особое внимание следует обратить на то, что в самих фильтрах могут возникать резонансные явления [2], способные вносить заметные искажения в форму ИС. Ввиду этого можно рекомендовать использование таких изделий в интегральном исполнении.
В теории обеспечения электромагнитной совместимости (ЭМС) решение упомянутой выше проблемы «загрязнения» потенциала земли помехонесущими токами отнесена к сфере фильтрации. Однако здесь имеется та особенность, что помехонесущие токи нельзя просто направить в цепи заземления в привычном понимании: они уже циркулируют в них. Ввиду этого необходимо использовать специальные решения. Первое из них состоит в том, что цепи заземления осциллографа придаётся повышенное полное сопротивление на частотах выше нескольких килогерц, для чего в неё включается индуктивность на ферритовом магнитопроводе. Второй вариант состоит в проектировании заземления для качественной работы на высоких частотах, когда минимизируется полное сопротивление проводников за счёт повышения их ширины, не применяются магнитные материалы и каждый прибор подключается отдельной шиной к точке заземления.
Альтернативным решением является применение разделительных трансформаторов и отдельного «чистого» заземления для организации электропитания средств измерений, которое может быть изготовлено в виде ряда штырей, погружённых в грунт под зданием и соединённых по принципу сетки при помощи медных или латунных полос с соблюдением требований по защите мест соединения от коррозии. Такое заземление иногда называют координатным [6], оно отличается низкой индуктивностью и стабильностью потенциала, но при условии, что вблизи строения нет источников блуждающих токов: трамвайных, железнодорожных путей, станций катодной защиты трубопроводов и т.п.
Применение экранирования совместно с фильтрацией целесообразно в отношении измерительной оснастки и объекта измерений, если измерения проводятся в условиях напряжённой электромагнитной обстановки. Ключевой особенностью является необходимость их правильного сочетания с фильтрами, когда они взаимно дополняют друг друга, обеспечивая электромагнитную герметичность. Если объект исследований невозможно экранировать, то применяют защищённые экраном линии передачи, заземлённые с обеих сторон, а на входе осциллографа ставят подходящий фильтр. Применение экранов должно сопровождаться априорной информацией о полосе частот и интенсивности воздействующего электромагнитного поля, поскольку эффективность экранирования снижается с ростом частоты. Эти данные могут быть получены с использованием спектрального анализа в рамках предварительного инструментального анализа электромагнитной обстановки.
Предварительное усиление ИС позволяет повысить его уровень относительно внутреннего шума осциллографа. Основные требования к усилителю состоят в соответствии полосы рабочих частот ИС, в низких интермодуляционных искажениях, в достаточности динамического диапазона и малой неравномерности амплитудной-частотной характеристики. Для сигналов с широкой полосой частот также вводятся требования по согласованию с источником ИС и входом осциллографа. Фазочастотная характеристика должна быть линейной. Применение широкополосных усилителей, как это следует из приводимой ниже оценки, представляется предпочтительным и допустимым несмотря на то, что они обычно имеют более высокий средний коэффициент шума (КШ).
Рассмотрим в качестве примера случай, когда канал осциллографа имеет входное сопротивление RВХ = 50 Ом, что наиболее соответствует потребности в усилении слабых сигналов перед осциллографическим анализом. Пусть к нему подключён усилитель с известным коэффициентом усиления GAMP, а максимально допустимый его коэффициент шума FAMP подлежит обоснованию. Шум измерительного тракта осциллографа с КШ FOSC является широкополосным и имеет тепловую природу, что позволяет сопоставить ему постоянную спектральную плотность в полосе рабочих частот осциллографа fР, а саму эту полосу считать эффективной полосой пропускания прибора по аналогии с приёмными устройствами. Согласно правилу учёта шумовых свойств последовательно включённых четырёхполюсников [4] его значение для такой схемы составит

Пусть минимальная цена деления вертикальной развёртки осциллографа составляет UCD, количество вертикальных делений с ценой UCD равняется K, а разрядность аналого-цифрового преобразователя осциллографа составляет N. Тогда шаг квантования по амплитуде в сечении оцифровки вне зависимости от природы напряжения составит ΔU = KUCD/(2N – 1). Тепловой шум имеет нормальное распределение и может быть охарактеризован среднеквадратичным значением UN, которое может быть определено несколькими путями. Если известно количество разрядов NN, охваченных шумовым процессом, то с учётом правила 3σ, устанавливающего, что в пределах трёх среднеквадратичных отклонений от математического ожидания лежит 99,72% нормально распределённых случайных значений, UN может быть оценено следующим образом:
Второй способ определения UN во многом аналогичен первому и состоит в том, что по амплитудной шкале осциллографа на некотором интервале времени определяется размах шума, и UN приравнивается его 1/6 части. Очевидно, что такие оценки UN в трактовке статистической теории будут являться смещёнными, и их среднее значение при увеличении количества реализаций может не сходиться асимптотически к истинному среднеквадратичному значению с ошибкой до 20%, как это следует из проведённых статистических расчётов. Более точные оценки даёт метод оценки UN на основе автоматических измерений, когда учитываются все значения отсчётов шума, зарегистрированные прибором в отсутствие сигнала на входе. Если же такая функция недоступна, то несмещённую оценку UN можно получить так [7]:

где Uj – оцифрованные отсчёты шума. Эта оценка асимптотически сходится к истинному среднеквадратичному значению при J → ∞. Согласно оценочным расчётам, при J = 300 ошибка оценки UN не превосходит 6%. В уравнении (3) математическое ожидание принято равным нулю, что соответствует природе шума с симметричным статистическим распределением, порождённого сочетанием случайных процессов.
Из изложенного следует, что среднеквадратичное значение шума для конкретного образца осциллографа может быть получено без применения каких-либо дополнительных средств измерений, и потому его можно считать известным. Оно однозначно характеризует шумовую температуру и коэффициент шума тракта осциллографа в целом [8]. Исходя из принятого их определения и математической связи, можно показать, что

где k0 = 1,381∙10–23 Дж/К – постоянная Больцмана, Т0 – температура окружающей среды, fp – полоса рабочих частот осциллографа при текущих настройках. Усилитель, используемый для повышения мощности сигнала, сам также является источником широкополосного теплового шума в полосе усиления. Поскольку внутренний шум осциллографа с ним не коррелирован, то их мощности будут складываться алгебраически. Пусть γ – допустимая кратность увеличения мощности отображаемого шума. С учётом изложенного выше можно показать, что максимально допустимое значение FAMP составит FAMP = (γ – 1)(FOCS – 1), и в это выражение при необходимости может быть подставлено уравнение (4) для FOSC. С учётом (1) получаем, что коэффициент шума измерительной системы в целом составит F = (γ – 1 + 1/GAMP)(FOCS – 1) + 1.
Рассмотрим расчётный пример. Пусть N и NN равны соответственно 8 и 1,5 бит, K = 10, UCD = 1 мВ, fp = 100 МГц; γ = 2, GAMP = 40 (или 16 дБ). Тогда UN = 18,5 мкВ, FOSC = FAMP = 17,5 (или 12,4 дБ), F = 17,9 (или 12,5 дБ). Исходя из изложенного, а также проведённых расчётов, можно сформулировать следующие выводы по использованию предварительного усиления в приложении к рассматриваемой проблеме. Усилители, как это заявлялось выше, могут не отличаться низким уровнем шума, но должны иметь высокий коэффициент усиления и, что не менее важно, равномерные амплитудно-частотные и фазочастотные характеристики в рабочей полосе осциллографа.
Все перечисленные выше способы повышения качества измерений во временнóй области, как следует из их сути, направлены на снижение мощности шума, суммируемого с ИС по тем или иным причинам. Для ИС, подвергнутых такой обработке, в дальнейшем могут быть проведены курсорные, автоматические и иные измерения с получением более точных результатов и при классическом наблюдении осциллограмм на экране прибора или компьютера. Однако представленные методы не в состоянии в должной степени выделить ИС при слишком малом отношении мощностей сигнала и шума при значительном перекрытии их полос частот. В этом случае целесообразно применение более сложных подходов: автокорреляционного и вейвлет-анализа. Эти способы обработки направлены не на восстановление формы зашумленных сигналов, а на определение отдельных их амплитудных и временны́х характеристик. Справедливости ради надо отметить, что некоторые осциллографы высшего класса типа имеют в составе базовой математики способность построения функций взаимной корреляции [9], однако это не является распространённой нормой. Поэтому в схеме на рис. 1 названные способы отнесены к требующим математической обработки вне осциллографа.
Автокорреляционный анализ, применяемый для периодических сигналов либо для периодически продолженных фрагментов непериодических сигналов, позволяет за счёт статистической компенсации случайных компонент шума выявить их амплитудные, временны́е и фазовые особенности [3]. Вейвлет-анализ направлен на выявление в зашумлённом сигнале импульсных компонент и является частным случаем разложения сигналов в негармонические ряды [10]. Эффективность проведения анализа данных видов зависит от объёма и качества выборки, интервала интегрирования и, конечно же, фактического соотношения мощностей сигнала и шума. Для обоих видов анализа необходимы априорные сведения о сигнале, например, о приближённом значении периода, форме амплитуды и т.д., чтобы, во-первых, правильно выбрать интервал захвата выборок и, во-вторых, получить адекватные измерительной задаче результаты.
Представленное перечисление способов повышения качества измерений не является исчерпывающим. К другим из них могут быть отнесены:
- парное преобразование Фурье для периодических и непериодических сигналов с выделением участка спектра для обратного восстановления;
- взаимная корреляция измеряемого сигнала с опорным сигналом или функцией;
- прямая компенсация шума на основе результатов наблюдения электромагнитной обстановки.
Реализация автокорреляционного анализа и оценка его эффективности
Ценность автокорреляционной обработки в приложении к рассматриваемой задаче состоит в простоте её реализации, поэтому целесообразно в рамках настоящей статьи привести о ней некоторые результаты оценки эффективности. Пусть ИС является гармоническим и имеет функцию u(t) = Acos(2πft), где А – его амплитуда, t – время, f – частота, являющаяся оцениваемым параметром. Пусть σ – среднеквадратичное значение нормально распределённого белого шума n(t), аддитивного по отношению к ИС, а функция un(t) = u(t) + + n(t) – сумма шума и ИС. Будем считать задачей автокорреляционного анализа оценку значения частоты f измеряемого сигнала.
Пример сигнала un(t), построенного при σ = 0,3 В, A = 1 В и f = 1 МГц по выборкам, взятым с частотой fS = 110 МГц, приведён на рис. 2.

Как видно, непосредственная оценка искомых параметров по графику функции весьма затруднена: шум не позволяет однозначно определить положение характерных точек гармонического сигнала для отсчёта периода.
Рассматриваемый вид анализа реализуется на основе построения автокорреляционных функций (АКФ). Для непрерывного сигнала g(t), определённого для любого момента времени, АКФ зависит от смещения τ и рассчитывается по формуле [10]:

Для периодических сигналов АКФ также будет периодической и с тем же периодом, что позволяет определить значение периода Т = 1/f и далее искомую частоту. Отличия (5) от реально используемых выражений состоят в следующем. Реальные сигналы всегда определены на ограниченном интервале времени, поэтому пределы суммирования при расчёте АКФ будут конечными. Практика показала, что для характеристики интервала расчёта АКФ периодических сигналов коэффициент γ = tИ/T, где tИ ≥ T. Поскольку после оцифровки данные представлены в виде эквидистантных по времени отсчётов, значение τ может изменяться только с дискретным шагом, кратным 1/fS. Принимая, что функция un(t) определена для неотрицательных значений времени, будем рассматривать дискретную АКФ в виде

где n ≥ 0 – целочисленный коэффициент смещения; un(i/fS) – отсчёты функции un(t). Значения BD(n) рассчитываются для шага по времени, равного 1/fS. Соответственно, интервал времени между смежными максимумами такой АКФ будет характеризовать период синусоидального сигнала и его частоту. Если такие максимумы соответствуют значениям n1 и n2, то оценка частоты f* = fS/|n1 – n2|.
На рис. 3 в пределах двух периодов синусоидального сигнала построены графики АКФ при γ = 2; 20 и σ = 0,2; 5 В и тех же прочих характеристиках.

Из сопоставления форм АКФ могут быть сделаны следующие выводы.
- Увеличение интервала суммирования, т.е. γ, позволяет существенно снизить шум в составе АКФ, если σ имеет порядок амплитуды измеряемого гармонического сигнала.
- Для σ > А такой эффект также наблюдается, но снижение случайных составляющих в АКФ оказывается заметно меньше, а наличие у зависимости BD(n) существенных выбросов будет осложнять применение формальных методов поиска её экстремумов.
Исходя из этого, для вычисления АКФ BD(n) целесообразно выбирать значения γ > 1, что означает пропорциональное увеличение вычислительных затрат. Можно ожидать, что для некоторого отношения A/σ автокорреляционный метод утратит способность обеспечивать оценку частоты сигнала с точностью не хуже заданной.
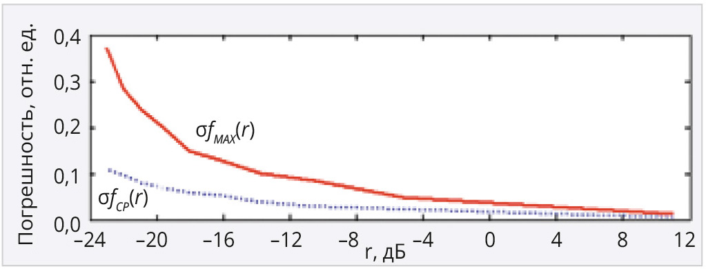
В качестве меры точности рассматриваемого метода будем использовать максимальный модуль относительного отклонения оценки частоты f* от её истинного значения f и среднее отклонение. Эти величины обозначим δfMAX и δfСР соответственно. Поскольку в расчётах применяются случайные значения, то для оценки зависимостей δfMAX и δfСР от σ необходимо провести ряд статистических розыгрышей. Также в целях обобщения нижеследующих результатов следует рассматривать их зависимость от соотношения r = A/(√2σ), выраженного в дБ и характеризующего соотношение энергии полезного сигнала и шума. На рис. 4 представлены зависимости δfMAX(r) и δfСР(r), полученные для 100 статистических розыгрышей и при γ = 20.

Как следует из полученных результатов, применение автокорреляционной обработки показывает эффективность при таких отношениях мощности сигнала и шума, когда выявить форму сигнала не представляется возможным. Для больших интервалов корреляции средняя погрешность оценки частоты не будет превосходить 20% для r ниже –30 дБ.
Что касается вейвлет-анализа, то его ожидаемая эффективность оказывается ещё выше, поскольку для него используются опорные функции без всякого шума, с которыми и сопоставляется измеряемый сигнал. При этом допускается использование вейвлетов и в виде целого количества периодов синусоиды [10].
Примеры измерения характеристик сигналов при наличии аддитивного шума
Схемы измерений, оборудование и сигналы. Измерения, результаты которых приводятся ниже, имели своей целью оценку влияния усреднения осциллограмм, ограничения полосы пропускания осциллографа, их сочетания, а также фильтрации на качество измерений синусоидального сигнала с аддитивным широкополосным гауссовским шумом. Схемы измерений, отличающиеся друг от друга наличием фильтра, представлены на рис. 5 и рис. 6.


Для анализа сигналов был выбран осциллограф VESNA OVS-403. Данный образец имел 4 канала, полосу пропускания до 350 МГц, вертикальное разрешение 12 бит и, конечно же, необходимые функции автоматических измерений. Входное сопротивление канала осциллографа равнялось 50 Ом. Этот прибор интересен не только тем, что относится к новой для российского рынка серии осциллографов, но и весьма перспективными техническими характеристиками. Для серии OVS3 предельная полоса рабочих частот составляет до 500 МГц, глубина памяти – до 360 млн отсчётов, максимальная скорость захвата осциллограмм – 230 тыс. шт/с. Также следует отметить продуманность эргономики, включая 14-дюймовый сенсорный экран.
Для формирования ИС использовался генератор сигналов произвольной формы (ГСПФ) Hantek 1025G, в память которого посредством специального программного обеспечения загружались отсчёты сигнала в количестве 2000 шт., частота и разрядность цифроаналогового преобразования составляли 200 МГц и 12 бит соответственно. В качестве ИС было выбрано синусоидальное напряжение с частотой f = 2 МГц и амплитудой A = 0,5 В на нагрузке 50 Ом, к нему добавлялся гауссовский шум с выбранным значением среднеквадратичного напряжения σ. Предельная полоса генерации сигналов для такого ГСПФ составляет 100 МГц.
На рис. 7 показана фотография использовавшегося фильтра.

Как следует из обозначений на его корпусе, для частот менее 10 МГц и выше 20 МГц вносимое ослабление составляет менее 3 дБ и более 60 дБ соответственно. Согласно результатам предварительных измерений, на частоте 2 МГц фильтр демонстрировал ослабление порядка 0,2 дБ.
Результаты измерений, полученные для синусоидального сигнала с аддитивным шумом. На рис. 8 показана «эталонная» осциллограмма синусоидального сигнала без дополнительного шума.

Согласно результатам автоматических измерений, его частота f* = 2,003 МГц, размах UP-P* = 976 мВ. Его среднеквадратичное значение составило URMS* = 346 мВ. На рис. 9 аналогичные результаты показаны при наличия аддитивного шума с σ = 0,05 В без дополнительной обработки осциллограмм при усреднении осциллограмм (УО) по 256 реализациям, при ограничении полосы пропускания (ОПП) канала осциллографа частотой 20 МГц, а также при их сочетании.

Как следует из анализа осциллограмм на рис. 9, в отсутствие дополнительной обработки значения URMS* определяются весьма точно, в то время как частота и размах измеряются с погрешностями 1% и 10,7% соответственно. Усреднение по нескольким осциллограммам даёт лучший результат, чем ОПП, а их сочетание показывает промежуточный результат, но приближённый к УО. УО и его сочетание с ОПП позволяет существенно улучшить качество воспроизведения формы синусоидального сигнала, и при выбранном значении σ искажения на ней почти не видны.
Для случая, когда σ = 0,15 В, результаты тех же измерений при прочих равных условиях приведены на рис. 10.

Из анализа представленных осциллограмм следует, что наиболее точное приближение к искомым параметрам даёт сочетание УО и ОПП. Этот же режим соответствует наилучшему качеству воспроизведения формы синусоидального сигнала. В отсутствие обработки погрешность измерений рассматриваемых параметров достигает десятков процентов, что неприемлемо для практических задач. Результаты автоматических измерений сведены в таблицу.

Результаты измерений, полученные при использовании внешнего фильтра. На рис. 11 представлены результаты быстрого преобразования Фурье, полученные при синтезе на ГСПФ чистого гауссовского шума с σ = 1,5 В на нагрузке 50 Ом.

По изменчивости хода спектральной кривой можно судить о свойствах фильтра. В частности, подтверждается ослабление не менее чем на 50 дБ на частотах выше 20 МГц. Следовательно, фильтр, как это было описано выше, будет заметно снижать энергию аддитивного широкополосного шума. Учитывая спад спектра, отношение мощностей шума на входе и на выходе фильтра можно оценить на уровне 6 дБ. Следовательно, ожидаемое улучшение качества воспроизведения формы синусоидального сигнала может быть достигнуто при более высоких значениях σ, чем ранее.
На рис. 12 показаны осциллограммы, полученные для случая аддитивного гауссовского шума при σ = A = 0,5 В (отношение сигнал/шум на входе фильтра равнялось –3 дБ).

Сигнал на входе осциллографа уже не имеет заметных шумов, поскольку они существенно сглажены фильтром. Значения ИС f* и UP-P* измерены с погрешностями 0,8% и 15,3%. Усреднение осциллограмм позволяет существенно повысить точность этих параметров. Как видно внизу рис. 11б, в этом случае сигнал практически соответствует эталону, искажений формы визуально не наблюдается, при этом f* = 2,001 МГц, UP-P* = 966 мВ, URMS* = 342 мВ.
Как следует из изложенного, сочетание различных способов снижения влияния шумов на результаты измерений во временно́й области позволяет добиться получения весьма точных оценок необходимых параметров сигналов даже при отношениях сигнал/шум ниже 0 дБ. Это позволяет с успехом решать лежащие на грани чувствительности измерительных систем и установок измерительные задачи, не прибегая к существенному усложнению методик и схем измерений.
Заключение
Таким образом, арсенал методов, позволяющих анализировать зашумлённые сигналы с измерением из параметров во временно́й области, оказывается весьма широким, причём наиболее простые из них вовсе не требуют ни математической обработки вспомогательными программными средствами, ни использования дополнительного оборудования. Комбинирование таких методов позволяет повысить их совокупную эффективность, которая тем не менее имеет принципиальные ограничения, связанные с неизбежным снижением точности при снижении отношения сигнал/шум.
Важнейшим моментом является качество реализации обработки измеряемых сигналов непосредственно в осциллографе, которая в рассматриваемых условиях только возрастает. В этом отношении осциллографы VESNA серии OVS3 заслуживают пристального внимания и доверия со стороны конечных потребителей.
Литература
- Кечиев Л.Н. Печатные платы и узы гигабитной электроники. М.: Грифон, 2017. 424 с.
- Уильямс Т. ЭМС для разработчиков продукции / пер. с англ. В.С. Кармашева, Л.Н. Кечиева. М.: Издательский дом «Технологии», 2003. 540 с.
- Гоноровский И.С. Радиотехнические цепи и сигналы: учебник для вузов. М.: Радио и связь, 1986. 512 с.
- Раушер К., Йанессен Ф., Минихольд Р. Основы спектрального анализа / пер с англ. С.М. Смольского под ред. Ю.А. Горбенко. 4-е изд. М.: Навигатор, 2021. 226 с.
- Скляр Б. Цифровая связь. Теоретические основы и практическое применение. 2-е изд / пер. с англ. М.: Издательский дом «Вильямс», 2003. 1104 с.
- Балюк Н.В., Кечиев Л.Н., Степанов П.В. Мощный электромагнитный импульс: воздействие на электронные средства и методы защиты. М.: ООО «Группа ИДТ», 2007. 478 с.
- Корн Г., Корн Т. Справочник по математике (для научных работников и инженеров). М.: Наука, 1974. 832 с.
- Белинский В.Т., Васюк Г.И., Внутенсмери В.С. и др. Радиотехника: Энциклопедия / под ред. Ю.Л. Мазора. М.: ДМК Пресс, 2016. 944 с.
- Лемешко Н.В., Струнин П.А. Анализ зашумлённых эфирных сигналов с использованием осциллографов R&S RTO // Компоненты и технологии. 2017. № 10 (195). С. 144–150.
- Баскаков С.И. Радиотехнические цепи и сигналы. М.: Высшая школа, 2003. 462 с.
Если вам понравился материал, кликните значок — вы поможете нам узнать, каким статьям и новостям следует отдавать предпочтение. Если вы хотите обсудить материал —не стесняйтесь оставлять свои комментарии : возможно, они будут полезны другим нашим читателям!

