Поскольку энергия питания передаётся одновременно с функционированием приложений в режиме передачи данных по беспроводной сети, то соблюдение допустимых уровней ЭМС требует внимательности и ответственного отношения. Проблема в том, что катушки передатчика и приёмника ведут себя, как трансформатор с малым коэффициентом связи и очень большим воздушным зазором. Это приводит к достаточно большому уровню электромагнитного поля вблизи катушек. Измерения в части выполнения требований по ЭМС показали, что широкополосные помехи могут возникать в спектре основной волны вплоть до частот порядка 80 МГц. Если уровень помех измеряется ниже установленного предела с хорошим запасом, то можно предположить, что требования по напряжённости поля радиопомех также будут соблюдаться. В общем, при разработке устройств беспроводной передачи мощности выполнение требований стандарта EN55022 для класса B может представлять собой проблему, сложность решения которой нельзя недооценивать. Пример результата измерения уровня кондуктивных ЭМП приведён на рисунке 1.

Магнитное поле H (dl/dt) может создать индуктивную связь и, следовательно, навести ток помехи на соседние проводящие дорожки. Обычно для борьбы с этим явлением полезно максимально разнести такие цепи или использовать ферритовые гибкие материалы, например WE-FSFS [4] (подробно об этом материале и вопросах применения магнитного экранирования, в том числе и для беспроводных зарядных устройств, написано в [5]).
В отличие от магнитного электрическое поле E (dV/dt) имеет емкостную связь с «землёй». Это можно наблюдать при измерении напряжения помех или напряжённости поля. Вот почему такие источники синфазных помех необходимо подавлять как в низкочастотном (килогерцевом), так в более высокочастотном (мегагерцевом) диапазоне.
Поскольку в рассматриваемых приложениях беспроводной передачи энергии именно электрическое поле E (а точнее, поле рассеяния) является основной причиной проблем ЭМС, то рекомендуется принять следующие меры:
- для уменьшения вихревых токов под катушкой, особенно если это передатчик, должна быть установлена и ориентирована по направлению к ней перфорированная металлическая пластина. Это может быть, например, медная фольга на печатной плате, подключённая через конденсатор (например, типа WE-CSMH ёмкостью 1–100 нФ, рассчитанный на рабочее напряжение 2000 В) к заземлению или корпусу схемы. Он накоротко замкнёт большую часть электрического поля на источник, и оно уже не будет распространяться через землю (общий провод);
- защитить катушки передатчика и приёмника и их цепи возбуждения и приёма энергии хорошо экранирующим металлическим и/или поглощающим материалом WE-FAS, WE-FSFS [5];
- если это допускают уровни токов утечки (они нормируются стандартами по электробезопасности, в частности в медицинском оборудовании [2]),
- то снизить уровни помех в широком частотном спектре помогут Y-конденсаторы максимальной ёмкостью 2´4,7 нФ, например серии WE-CSSA;
- для фильтрации источников синфазных помех в низкочастотном диапазоне 0,05…5,0 МГц, в зависимости от рабочего напряжения и тока, могут использоваться синфазные дроссели с компенсацией тока из следующих серий: WE-CMB, WE-CMBNC, WE-UCF, WE-SL или WE-FC;
- для фильтрации синфазных помех в более высокочастотном диапазоне 5…100 МГц, в зависимости от рабочего напряжения и тока, могут применяться синфазные дроссели с компенсацией тока из следующих серий: WE-CMB NiZn, WE-CMBNC, WE-SL5HC или WE-SCC;
- подавить дифференциальные ЭМП в зависимости от рабочего напряжения помогут подключённые между обеими линейными шинами и нейтралью Х-конденсаторы из следующих серий: WE-FTXX или WE-CSGP;
- поскольку во всей цепи, в зависимости от приложения, протекает очень большой переменный ток, то для соответствия устройства требованиям по ЭМС важно иметь компактную печатную плату с малой собственной индуктивностью проводников. Компоненты силовой цепи и колебательного контура должны быть расположены максимально близко друг к другу и подключаться проводниками с малой собственной индуктивностью. Для этого необходимо оптимально использовать «заливку» свободных областей с применением обычных полигонов.
Пример решения по выполнению требований ЭМС с использованием Х- и Y-конденсаторов приведён на рисунке 2, а пример конструктивного решения, когда ввиду специфики устройства нельзя использовать Y-конденсатор с подключением на «землю», скажем в медицинских устройствах, носимой аппаратуре и оборудовании для работы в потенциально взрывоопасной среде, показан на рисунке 3.


Как правило, во время проведения ОКР необходимо измерять уровни ЭМП на всех этапах проектирования, начиная с прототипа. Для этого рекомендуется заключить договор и поручить выполнять измерения компетентной лаборатории, профессионально занимающейся вопросами ЭМС. Внесение изменений в массовом производстве всегда связано с более высокими материальными затратами [3].
Кроме того, следует учитывать, что требования национальных стандартов могут отличаться, поэтому если конечный продукт будет продаваться в разных странах, то для ускорения процесса разработки и вывода изделия на рынок необходимо заранее учитывать регламенты стандартов и допустимые полосы частот для каждой страны.
Передающие и приёмные катушки: особенности выбора
Для того чтобы найти подходящую беспроводную катушку для системы беспроводной передачи энергии, необходимо обратить внимание на следующие вопросы:
- насколько высок ожидаемый максимальный ток в катушке (реактивный и номинальный ток);
- каковы максимально допустимые размеры корпуса устройства (длина, высота и ширина).
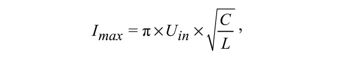
Во избежание нежелательного насыщения или перегрева у катушек всегда должен быть запланирован некий запас, обычно на уровне 30% от расчётного номинального рабочего тока. Если можно использовать несколько вариантов катушек, предпочтение следует отдавать тем катушкам, которые имеют наивысшую индуктивность, поскольку в этом случае конденсатор колебательного контура может быть меньше. Кроме того, такой подход сокращает уровень реактивных токов, возникающих в колебательном контуре. Меньшие токи в контуре приводят к снижению самонагрева и улучшению свойств в части ЭМС.
Максимальный ток в колебательном контуре равен:

где Uin – напряжение на контуре.
Лучший коэффициент связи достигается тогда, когда катушки передатчика и приёмника имеют одинаковые геометрические размеры, поэтому здесь рекомендуются катушки с соотношением размеров 1:1. Компоненты семейства WE-WPCC, например 760308102142 (53×53 мм), 760308100143 (∅50 мм), 760308100110 (∅50 мм), были специально разработаны для устройств высокой мощности. Эти катушки могут использоваться в качестве передатчиков и приёмников. Они характеризуются весьма низкими значениями сопротивления по постоянному току Rdc, очень высокими значениями добротности Q и очень высокими токами насыщения IR.
Конденсатор колебательного контура: особенности выбора
Поскольку в параллельном колебательном контуре, как известно из теории, циркулируют большие токи, то при выборе типа используемых в нём конденсаторов подходит далеко не любая технология. В зависимости от приложения пригодны только три типа конденсаторов: MKP (например, WEFTXX и WE-FTBP), с диэлектриком NP0 (в частности, WE-CSGP) или FKP. В связи с низким уровнем собственных потерь данные типы конденсаторов способны выдерживать высокие переменные токи без перегрева. Однако в зависимости от мощности резонансного преобразователя, для того чтобы уменьшить нагрев, применяют разделение токов, которое достигается параллельным включением нескольких конденсаторов. Здесь следует тщательно следить за тем, чтобы ни один из конденсаторов не нагревался до температуры, превышающей +85°C. Именно по этой причине конденсаторы с более высокими потерями (особенно следует оценивать уровень диэлектрических потерь) X7R, X5R, MKS и т.д. не подходят для колебательных контуров в резонансных преобразователях. Принимая во внимание размер корпуса, общие затраты и минимально возможный реактивный ток в резонансном контуре, необходимо выбрать максимально низкую ёмкость конденсатора. Предельными факторами здесь являются максимальная рабочая частота преобразователя, индуктивность катушки передатчика и приёмника. Номинальное рабочее напряжение конденсатора должно быть не менее π×Vin плюс дополнительный запас 20%. Также следует учитывать, что максимально допустимое среднеквадратичное напряжение переменного тока V ACrms для конденсаторов типа MKP заметно падает на частотах выше 5 кГц.
Коэффициент потерь конденсатора в процентах определяется как:
DF = 2π × f × ESRcap × C × 100%.
Индуктивности фильтра: особенности выбора
Колебательный контур с переменным током отделяют от источника питания две катушки индуктивности (дроссели). Через них подаётся напряжение от источника питания постоянного тока, при этом они играют роль фильтрующих элементов. Дроссели следует выбирать, исходя из максимально возможного номинального тока конкретной схемы. Здесь должен использоваться классический силовой дроссель с воздушным зазором и высокой добротностью, например WE-HCI, WE-PD, WE-LHMI. Его номинальная индуктивность должна быть как минимум в 5 раз выше индуктивности катушки колебательного контура. Это требуется для того, чтобы доставить в колебательный контур достаточную энергию. Если пульсация входного (для передатчика) или выходного (для приёмника) напряжения всё ещё слишком высока, то номинальные значения индуктивности дросселя или ёмкость конденсатора фильтра могут быть увеличены. В качестве альтернативы, для достижения низких уровней пульсаций, можно уменьшить ESR фильтрующих компонентов. Кроме того, более эффективными здесь будут SMD-дроссели (WE-HCF или WE-HCI), преимущество которых заключается в том, что они имеют меньшие потери на больших токах (как постоянных, так и переменных). Поскольку эти дроссели должны постоянно подавать большой переменный ток в колебательный контур, их нагрев происходит из-за наличия гистерезиса и потерь из-за вихревых токов в материале сердечника. Требуемый уровень индуктивности дросселя напрямую связан с ёмкостью фильтрующего конденсатора.
Добротность дросселя Q определяется как: QL = XL/Rdk.
К вопросу выбора МОП-транзисторов
Выбор подходящего N-канального МОП-транзистора в основном зависит от уровня напряжения питания. Если это лишь 5 В, то для надёжного управления может, например, использоваться транзистор с логическими уровнями управления по затвору. Поскольку большинство мощных МОП-транзисторов имеют максимально допустимое напряжение затвор/исток ±20 В, то при использовании напряжения питания выше 20 В необходимо принять меры для защиты затвора. Это может быть, скажем, стабилитрон, включённый с затвора на общий провод, или ёмкостный делитель напряжения, который удержит напряжение затвора в оптимальном диапазоне. Следует также обратить внимание на то, чтобы напряжение на затворе не было слишком низким, поскольку в таком случае МОП-транзистор резонансного преобразователя может оказаться в режиме линейного усилителя, в результате чего схема перестанет функционировать.
Такой режим, когда транзистор окажется в активной области своей вольт-амперной характеристики (ВАХ), как правило, приводит к перегреву одного из двух МОП-транзисторов. Кроме того, необходимо соблюдать осторожность, чтобы предотвратить превышение напряжен ия с учётом увеличения напряжения на множитель p. Так, при напряжении питания 20 В МОП-транзисторы должны выдерживать напряжение исток/сток не менее 63 В. В этом случае следует использовать 100-вольтные транзисторы. Эффективность (КПД) схемы в значительной степени зависит от того, насколько высоки сопротивление канала транзисторов в открытом состоянии Rds,on и требования по заряду затвора (имеется в виду общий заряд затвора) выбранных МОП-транзисторов. Здесь нужно найти компромисс, поскольку МОП-транзисторы с низким Rds,on обычно имеют более высокую ёмкость затвора и, следовательно, требуется высокий общий заряд затвора.
Ток заряда/разряда по затвору МОП-транзистора: Igate = Cgate × (∆Vgate/∆tsw), где Cgate – ёмкость затвора транзистора; ∆Vgate – управляющее напряжение на затворе; ∆tsw – длительность импульса.
При этом коммутационные потери равны: PV = I2d × Rds,on, где Id – ток стока.
Диоды и схема подтяжки
Поскольку МОП-транзисторы необходимо переключать относительно быстро, то в результате появляются связанные с быстрым переключением токи на уровне ампер как следствие заряда и разряда ёмкости затвора. Такие зарядно-разрядные токи должны поступать через резисторы подтяжки и диоды. Возникающие при этом потери не столь уж малы. Вот почему необходимо принять меры по оптимизации максимально допустимых потерь мощности (PV), при этом учитывать и токовую нагрузку компонентов в цепи управления затвором. Аналогично защитные диоды транзисторов должны иметь такое же максимально допустимое обратное напряжение, как и МОП-транзисторы. В качестве альтернативы классическим диодам или диодам Шоттки можно использовать диоды, которые имеются в корпусах МОП-транзисторов. В зависимости от типа они способны выдерживать большие нагрузки, сохранять свои характеристики при более высокой температуре, чем та, что обычно указана в спецификации на транзистор. Не следует недооценивать и потери обратного восстановления, их тоже надо учитывать.
Потери мощности в цепи управления затвором: PV = (Udiode× I) + (I2 × Rpull-up), где Udiode – падение напряжения на диоде; Rpull-up – номинальное сопротивление резистора подтяжки.
Входной и выходной конденсаторы: особенности выбора
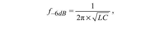
Входные и выходные конденсаторы в сочетании с дросселями служат в основном как элементы входного и выходного фильтров. Поскольку резонансные частоты в системе беспроводной передачи энергии находятся ниже 200 кГц, то конденсаторы должны быть рассчитаны на более высокие рабочие частоты. Проведённые испытания показали, что значения их номинальных ёмкостей в зависимости от конкретных решений системы и индуктивности дросселей могут находиться в диапазоне 10–1000 мкФ. Частота среза по уровню –6 дБ такого LC-фильтра должна составлять около 1/10 от частоты колебательного контура системы. При этом её ослабление теоретически ожидается с коэффициентом 40 дБ/декада. Принимая во внимание неидеальность реальных компонентов фильтра, на практике следует ожидать уровень затухания 30 дБ/декада. В зависимости от используемого типа дросселя на текущий через него постоянный ток может быть наложен значительный компонент переменного тока. Если этот ток слишком высок, то для работы на больших токах пульсаций вместо обычного алюминиевого электролитического конденсатора лучше использовать полимерный электролитический конденсатор, выдерживающий большие токи переменной составляющей. Полимерные и керамические конденсаторы с присущим им низким ESR также обеспечивают возможность значительного уменьшения амплитуды пульсации отражённого напряжения. Меньшая пульсация напряжения означает, что при измерении помех, влияющих на ЭМС, их уровень будет ниже. Наилучший результат достигается при использовании параллельного соединения алюминиевых электролитических конденсаторов и полимерных или керамических конденсаторов, например WCAP-PTHR или WCAP-PSLC.
Частота среза входного/выходного фильтра:

где L – индуктивность дросселя фильтра; C – ёмкость конденсатора или суммарная ёмкость всех конденсаторов фильтра.
Падение напряжения (напряжение пульсаций) на конденсаторе фильтра: Uripple = ESR × IAC, где ESR – эквивалентное сопротивление конденсатора или суммарное эквивалентное сопротивление всех конденсаторов фильтра; IAC – переменная составляющая тока.
Возможные проблемы, которые необходимо учитывать при разработке резонансного преобразователя
На практике, если вы остановили выбор на предлагаемой топологии схемы, основа которой, несомненно, это удобный для использования генератор Ройера, потребуется рассмотреть два момента, связанных с тем, чтобы исключить защёлкивание МОП-транзисторов.
1. Требования к источнику питания передатчика в момент включения системы беспроводной передачи мощности
Если источник питания не в состоянии обеспечить достаточный пусковой ток во время переходного процесса при включении, произойдёт просадка напряжения, и может случиться так, что один из двух МОП-транзисторов начнёт зависать в режиме линейного усиления, а через напряжение питания постоянно закорачиваться на «землю», что способно привести к перегреву МОП-транзистора и, как следствие, его выходу из строя. Следует также обратить внимание на то, чтобы конденсатор входного фильтра не имел чрезмерного номинала, поскольку это может ещё больше усугубить эффект защёлкивания, ведь блок питания, кроме пускового тока для генератора, должен будет зарядить и этот конденсатор.
На практике подобного негативного эффекта удаётся избежать, подключив конденсаторы и резонансный контур к рабочему напряжению ещё до остальной части схемы. Затем затворы МОП-транзисторов можно переключать с помощью оптопар или транзисторов. Затворами также управляют и через отдельный источник питающего напряжения, например уже упомянутый модуль серии MagI3C, его включение от основного источника питания выполняется с некоторой задержкой.
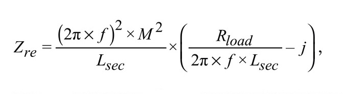
2. Импеданс, отражённый от приёмника к передатчику
С учётом больших скачков нагрузки на стороне приёмника и вполне реальных внезапных изменений коэффициентов связи катушек может случиться так, что частично отражённый импеданс накоротко замыкает индуктивность намагничивания со стороны передатчика. Это, в свою очередь, приводит к срыву колебаний, а схема «защёлкивается».
Коэффициент связи можно определить как:

где Usec – напряжение на вторичной обмотке; Upri – напряжение на первичной обмотке; Npri – число витков первичной обмотки; Nsec – число витков вторичной обмотки; Lpri – индуктивность первичной обмотки; Lsec – индуктивность вторичной обмотки.
M – коэффициент взаимоиндукции определяется как:

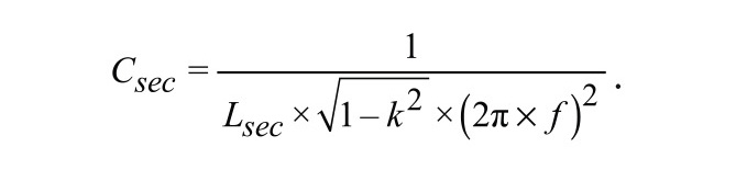
Для противодействия этому негативному эффекту полезно слегка отстроить частоту резонансного контура приёмника при помощи подключения дополнительного параллельного конденсатора так, чтобы резонансная частота самого контура приёмника была на 10–20% выше частоты контура передатчика. Альтернативно, параллельно катушке передатчика, может быть подсоединена дополнительная индуктивность (дроссель), причём так, чтобы не возникло магнитной связи с каналом передачи энергии. Эта параллельная индуктивность должна быть равна или меньше индуктивности намагничивания катушки передатчика. Дроссель сохраняет энергию во время ZVS-процесса и помогает поддерживать колебания в случае неблагоприятных переходных процессов, связанных с изменением нагрузки.
Отражённый импеданс с параллельной компенсацией:

где f – частота; Rload – сопротивление нагрузки.
Резонансный конденсаторный приёмник:

Дополнительная компенсирующая ёмкость приёмника:

На первом этапе, ещё при создании прототипа, важно насколько это возможно проверить все ситуации, связанные с изменением нагрузки, что критично для обеспечения надёжной конструкции с надлежащей функциональностью.
Оптимизация окружающей среды катушек WPT
Если катушки WPT закреплены на металле, то в этом случае могут возникать индуктивные потери из-за индуцированных вихревых токов, вызванных магнитным полем рассеяния. Кроме того, металл, например медь на печатных платах, способен нагреваться. Мощные магнитные поля рассеяния также могут оказывать непреднамеренное влияние на электронные компоненты схемы. Этот эффект будет увеличиваться при разносе катушек WPT.
Меры предупреждения предполагают максимальное удаление излучающей катушки от элементов печатной платы и металлических частей катушек, а также использование гибких ферритовых материалов с высокой магнитной проницаемостью, таких как WE-FSFS [4] (код заказа 374006), что позволит сфокусировать магнитный поток в заданном направлении и не превращать его в ненужное тепло. Для рассматриваемого материала на рисунке 4 приведены графики поведения действительной и реактивной составляющих относительной магнитной проницаемости.

Здесь µ’ – это действительная часть, µ” – реактивная, или мнимая, часть, описывающая зависящие от частоты потери либо, как их называют, потери на гистерезис. Данные потери приводят к разогреву материала и ухудшению его магнитных свойств, более подробно об этом написано в [5].
Пример решения
Примеры решений, которые рассматривались в рамках настоящей статьи, приведены в [1]. На рисунке 5 представлен пример обратимой схемы, которая может использоваться как передатчик и приёмник для беспроводных систем передачи энергии мощностью 100 Вт.

Внимание! В схеме присутствуют напряжения, опасные для прикосновения человека.
Преимущество схемы (см. рис. 5) состоит в том, что здесь требуется только одна катушка фильтра. Центральный отвод увеличивает частоту колебаний в 2 раза, а уровень пульсаций входного/выходного напряжения становится меньше. Это позволяет использовать менее габаритные дроссели в фильтрах. Кроме того, благодаря наличию двух перекрывающихся катушек снижаются требования по точности сопряжения катушек передающей и приёмной стороны. Дополнительное напряжение 8…10 В можно получить из основного рабочего напряжения посредством маломощного линейного стабилизатора или стабилизатора компании Wurth Elektronik (код заказа 171012401). Транзисторы M3 и M4, выполняющие роль диодов, могут быть заменены быстрыми одноамперными диодами Шоттки с номинальным обратным напряжением 100 В.

Если для запитки подтягивающих резисторов применить более низкое напряжение от вспомогательного источника, то удаётся сократить потери мощности. В качестве конденсаторов C5 и C6 могут быть использованы конденсаторы номинальной емкостью 1 нФ, рассчитанные на рабочее напряжение 50 В, с ТКЕ NP0. Они необходимы для формирования крутых фронтов при переключении транзисторов М1 и М2. Конструктивное исполнение данной схемы приведено на рисунке 6.
Заключение
Предложенный вниманию читателей резонансный преобразователь представляет собой очень гибкое решение, которое легко адаптируется к условиям работы самых разнообразных приложений. Он может обеспечить наиболее эффективную беспроводную передачу энергии до нескольких сотен ватт. Если для конкретного приложения необходимо ужесточить требования по безопасности (в частности, отсутствие электрической искры при включении/выключении, обнаружение состояния передачи энергии, например при заряде аккумуляторной батареи и т.д.), то предпочтительным окажется именно представленный вариант. Предложенное в настоящей статье схемотехническое решение может стать основой и легко адаптироваться к специфике проектируемого оборудования. Вместо топологии резонансного преобразователя основой может служить и классическая мостовая схема с активным регулированием. В любом случае измерения на соответствие требованиям стандартов по ЭМС должны выполняться уже на первых прототипах и на самой ранней стадии разработки.
Высокая эффективность, малые габариты и выполнение требований стандартов в части ЭМС в большей степени зависят от схемы генератора, чем от катушек передатчика и приёмника. Помимо широкого ассортимента самой разнообразной продукции, компания Wurth Elektronik предлагает удобные в применении, полностью собранные катушки с наивысшими значениями добротности Q, которые благодаря высоким значениям индуктивности позволяют использовать малогабаритные конденсаторы.
На катушки намотан высокочастотный специальный многожильный провод, каждая жила которого покрыта изолирующим лаком – литцендратом (от нем. Litzen – пряди и Draht – провод). Этот провод создан именно для изготовления высокодобротных катушек индуктивности. Данное конструктивное решение позволяет катушкам компании Wurth Elektronik работать на большой мощности с низкими потерями на токах частоты преобразования. В сочетании с высококачественными ферритовыми материалами, имеющими высокую магнитную проницаемость, обеспечивается не только максимальная эффективность, но и наилучшие показатели электромагнитной совместимости уже как свойство конечного продукта.
Подводя итоги, в настоящей статье показаны принцип и общее решение устройств беспроводной передачи энергии большой мощности, работающих в условиях индустриальной среды, представлены варианты возможных технических решений, даны рекомендации, приведено перспективное практическое решение.
Литература
- Nadler A., Som C. ANP032e – High Power Wireless Power Transfer for the Industrial Environment. 2016-08-09, Wurth Elektronik eiSos GmbH. www.we-online.com/web/en/electronic_components/produkte_pb/application_notes/anp032.php.
- Бейлис А.М. Безопасное использование DC/DC-преобразователей: требования третьей редакции стандарта IEC 60601-1.
- Компоненты и технологии. 2015. № 11.
- Рентюк В. Что нужно знать об испытаниях по выполнению требований по ЭМС для изделий коммерческого назначения. Компоненты и технологии. 2017. № 7.
- www.katalog.we-online.de/en/pbs/WE-FSFS.
- Рентюк В. Решение проблемы магнитного экранирования на примере материалов компании Wurth Elektronik. Компоненты и технологии. 2015. № 8.
© СТА-ПРЕСС
Если вам понравился материал, кликните значок — вы поможете нам узнать, каким статьям и новостям следует отдавать предпочтение. Если вы хотите обсудить материал —не стесняйтесь оставлять свои комментарии : возможно, они будут полезны другим нашим читателям!

