Для работы телекоммуникационных систем необходимо обеспечить их надёжную синхронизацию. В основном она обеспечивается высокостабильным временны́м сигналом от атомных часов, поступающим от глобальной спутниковой сети или с помощью серверов точного времени. Однако при работе такой системы могут возникать сбои, связанные с потерей опорного сигнала. Для таких случаев в подобных системах предусмотрены внутренние источники точного времени, например прецизионные кварцевые (КГ) или рубидиевые генераторы.
Стабильность их частоты (и, соответственно, времени) ниже, чем стабильность частоты атомных часов. В итоге при таком режиме работы системы возникает временнáя ошибка TIE (Time Interval Error):
TIE = Tref – Tint,
где Tref – показания точного времени, Tint – показания времени КГ или рубидиевого генератора.
Пятое поколение мобильной связи 5G, разрабатываемое в данный момент, налагает очень жёсткие требования по временно́й ошибке. Так, для опорных устройств сети (первичных часов) временнáя ошибка должна быть на уровне 400…100 нс за 24 ч [1].
Основными источниками временно́й ошибки при использовании прецизионных кварцевых и рубидиевых генераторов являются долговременная и температурная нестабильности частоты.
Долговременная нестабильность частоты современных прецизионных КГ составляет 2…7×10–11 за сутки, что приводит к временно́й ошибке 0,9…3,0 мкс за сутки. При этом она сильно зависит от времени непрерывной работы генератора после включения. Для рубидиевых генераторов величина долговременной нестабильности частоты составляет 0,2…2×10–11 за сутки (0,1…0,9 мкс).
Как видно, только из-за эффекта старения кварцевые генераторы сами по себе не могут обеспечить столь строгие требования по временно́й ошибке. Однако для её уменьшения можно использовать компенсацию ухода частоты генератора во времени. Суть подобной компенсации сводится к тому, чтобы по известному ранее поведению частоты генератора предсказать изменение частоты на следующий период. Первый период времени, за который происходит оценка старения генератора, называется периодом обучения, второй период – период определения временно́й ошибки. Процесс обучения представляет собой построение аппроксимирующей модели дрейфа частоты, которая позволит предсказать дрейф частоты генератора в последующий период времени. В итоге временнáя ошибка будет определяться уже разницей между прогнозируемым и реальным старением (см. рис. 1) [3].

В качестве аппроксимирующей модели можно использовать линейную функцию. Однако при этом следует иметь в виду, что в первые дни после длительного выключения ошибка прогнозирования линейной аппроксимацией будет чрезмерно высокой. На рисунке 1 представлена типовая характеристика старения КГ, после длительного выключения. Использование такой компенсации позволяет уменьшить временнýю ошибку, вносимую старением КГ, в 3–5 раз. Таким образом, временнáя ошибка при использовании подобной компенсации может составлять менее 400 нс за 24 часа, что удовлетворяет требованиям стандарта 5G.
Температурная нестабильность частоты современных термостатированных КГ может достигать ±3×10–11 в интервале температур –40…+85°С (менее 1×10–11 на каждые 20°C). При небольших температурных изменениях (~5°C), что справедливо для условий работы первичных часов, вклад температурной нестабильности КГ довольно мал и составляет около 1×10–12 на 5°C. Температурная стабильность рубидиевых генераторов составляет ±1×10–10 в интервале температур –5…+55°С и не является монотонной. Соответственно, её вклад во временнýю ошибку будет больше.

При этом стоит понимать, что сам профиль изменения температуры может существенно влиять на временнýю ошибку. Для примера на рисунке 2 показаны 2 профиля с изменением температуры в пределах 5°С в течение суток и временнáя ошибка, которая получается при изменении температуры по этим профилям для генератора с идеальной линейной температурной зависимостью 2×10–13 на 1°С.
Профиль 1 (вверху) абсолютно симметричен в течение суток – максимум временно́й ошибки при таком профиле составляет примерно 15 нс, при этом через 24 часа она равна 0. Профиль 2 (внизу) не симметричен – максимум временно́й ошибки составляет около 45 нс.
Для кварцевых генераторов, использование которых предполагает компенсацию дрейфа частоты, накладываются дополнительные требования по обеспечению монотонности дрейфа. Это достигается специальными мерами при производстве резонаторов и конструкциями самих генераторов. Для таких генераторов вводится дополнительный параметр контроля – значение временно́й ошибки при компенсации дрейфа частоты.
При оценке данного параметра используется алгоритм, схожий с компенсацией старения, описанной выше. Он позволяет оценить прогнозируемость и возможность компенсации старения генератора. На данные длительного изменения частоты с течением времени накладывается скользящее временно́е окно, которое также состоит из двух частей: интервала обучения и интервала оценки временно́й ошибки, расположенных один за другим. По данным в первом интервале строится аппроксимирующая модель, по данным во втором интервале происходит оценка временно́й ошибки как интеграла от разницы между полученными и предсказанными значениями частоты.
На рисунке 3 показан пример оценки временно́й ошибки кварцевого генератора по описанной методике.

Как уже было сказано, в первое время (обычно 1–3 дня) после длительного выключения кварцевые генераторы показывают сильную логарифмическую зависимость, поэтому при необходимости компенсировать дрейф частоты на начальном участке следует использовать логарифмическую функцию аппроксимации вида φ(t)=a+b×ln(ct+1) ( см. рис. 4).

При измерениях столь малых величин временно́й ошибки крайне важно учесть все возможные факторы, которые могут внести дополнительную погрешность. Так, например, для таких измерений в качестве опорного сигнала использовался сигнал от водородного стандарта частоты. На рисунке 5 показано изменение частоты с течением времени одного и того же кварцевого генератора при использовании рубидиевого (слева) и водородного (справа) стандарта и полученные графики временно́й ошибки.

Сами испытательные стенды должны иметь кабели и соединители очень хорошего качества, чтобы свести к минимуму погрешность оценки временно́й ошибки. Кроме того, при испытаниях группы генераторов на одном стенде следует учитывать взаимную синтонизацию частот измеряемых генераторов. На рисунке 6 показаны результаты оценки временно́й ошибки одного и того же кварцевого генератора в стенде без учёта описанных особенностей (слева), и в стенде, где они учтены (справа).

Температурная камера может иметь свои источники погрешности, например включение/отключение холодильника при определённой температуре. При оценке временно́й ошибки следует учитывать эти нюансы и подбирать испытательное оборудование и режимы работы с особой тщательностью. Для некоторых испытаний была использована температурная камера на основе элементов Пельтье (см. рис. 7).

В качестве примера генераторов, которые могут использоваться в качестве хранителей времени в телекоммуникационных системах, можно привести кварцевые генераторы типа ГК360, ГК336, ГК341 и рубидиевые генераторы FE-5650A и FE-5680A производства АО «Морион».

В таблице приведены основные параметры и предельная временнáя ошибка, которую могут обеспечить эти генераторы в разных режимах работы. Указанная для кварцевых генераторов временнáя ошибка подразумевает использование компенсации ухода частоты во времени, при этом сами генераторы обязательно проходят отбор по прогнозируемости дрейфа частоты. Рубидиевые генераторы, в свою очередь, отбираются по температурной стабильности частоты.

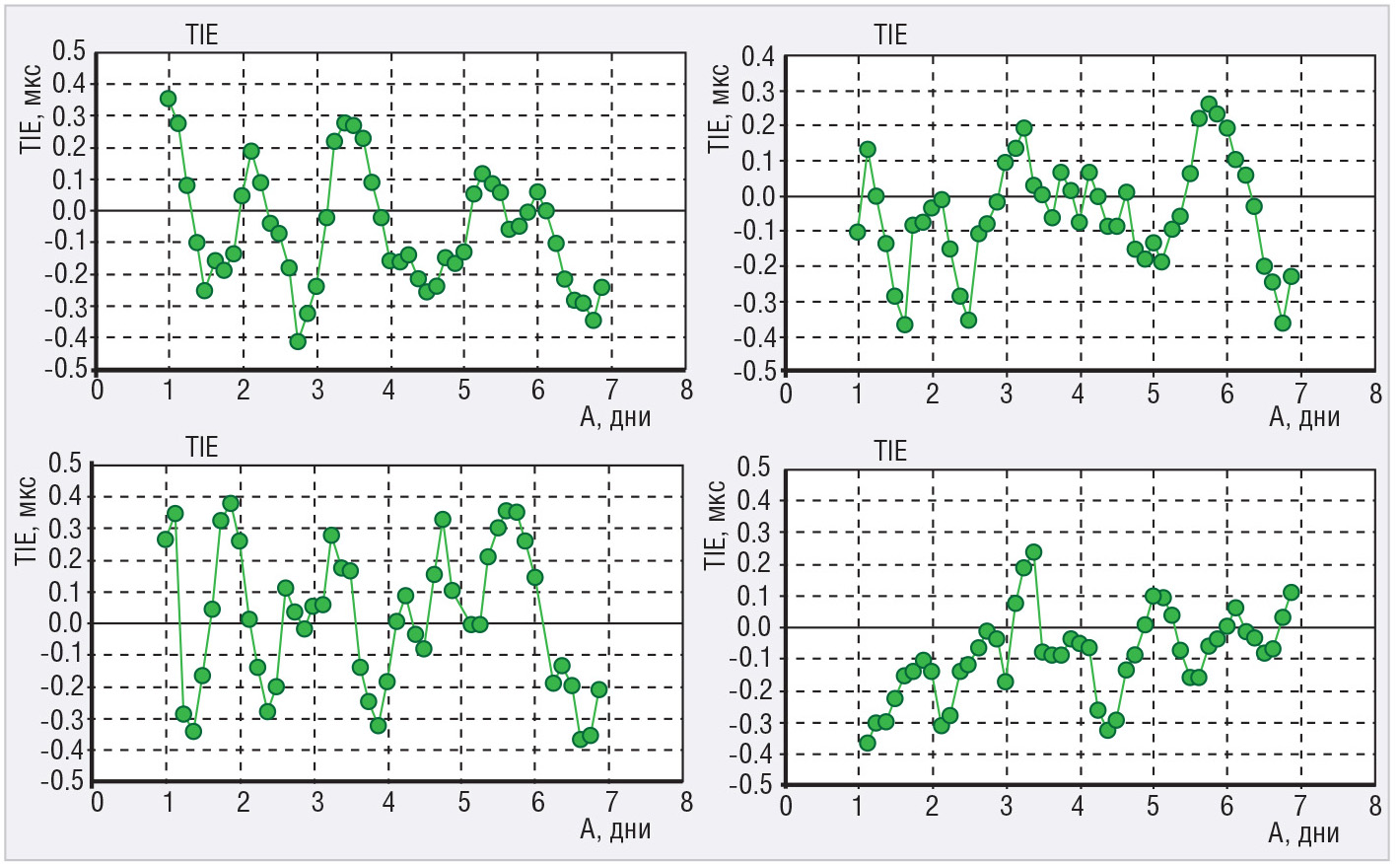
На рисунке 8 представлены результаты оценки временно́й ошибки за 24 ч для прецизионных кварцевых генераторов ГК360 при изменении температуры окружающей среды в пределах 5°С в течение суток (по профилю 2, показанному на рисунке 2).
На рисунке 9 приведены результаты оценки временно́й ошибки за 24 ч для кварцевых генераторов ГК341 при постоянной температуре окружающей среды. При изменении температуры окружающей среды в пределах 5°С в течение суток временнáя ошибка для кварцевых генераторов ГК341 будет выше на ~500 нс.

На рисунке 10 показаны результаты оценки временно́й ошибки за 24 ч для рубидиевых генераторов типа FE-5650A при постоянной температуре.

На рисунке 11 показаны результаты измерений временно́й ошибки для этих же рубидиевых генераторов при изменении температуры в пределах 5°С в течение суток (по профилю 2, приведённому на рисунке 2).

Таким образом, современные прецизионные кварцевые и рубидиевые генераторы вполне могут удовлетворять требованиям нового стандарта 5G по временно́й ошибке и использоваться в составе первичных часов и других устройств, где требуются высокостабильные источники времени. При этом для первых особенно критичным становится долговременная нестабильность частоты, а для вторых – изменение температуры окружающей среды.
Как видно, при условии постоянной температуры окружающей среды рубидиевые генераторы показывают меньшую временнýю ошибку. Однако в условиях изменения температуры при использовании компенсации дрейфа частоты кварцевые генераторы за счёт большей температурной стабильности могут обеспечивать меньшую временнýю ошибку, при этом обладая меньшим потреблением и габаритными размерами.
Литература
- Han Li, Liuyan Han, Ran Duan. Synchronization Requirements of 5G and Corresponding Solutions. IEEE Communications Standards Magazine. March. 2017.
- Kotyukov А., Ivanov Y., Nikonov А. Precise Frequency Sources Meeting the 5G Holdover Time Interval Error Requirement. Microwave journal. May. 2018.
- Иванов Ю.А. О подходе к оценке временнóй ошибки при применении прецизионных кварцевых генераторов (КГ) в новейших телекоммуникационных системах. Доклады VIII международного симпозиума «Метрология времени и пространства». Менделеево, ФГУП «ВНИИФТРИ», 2017. С. 30–35.
- 3GPP TS 38.104 specification.
Если вам понравился материал, кликните значок — вы поможете нам узнать, каким статьям и новостям следует отдавать предпочтение. Если вы хотите обсудить материал —не стесняйтесь оставлять свои комментарии : возможно, они будут полезны другим нашим читателям!

