Фильтр по тематике

Синхронизация магнетронов с выводом энергии в свободное пространство

В настоящее время существует потребность в компактных источниках СВЧ-энергии большой мощности. Современные серийные магнетроны обеспечивают мощности до 1 кВт в диапазоне сантиметровых волн. При этом они нагреваются до высоких температур и оснащены специальными системами настройки. Пространственное суммирование мощности нескольких магнетронов уменьшает вероятность полного отказа системы. Решение этой перспективной задачи для четырёх магнетронов рассматривается в данной статье.

01.09.2013 280 0
Синхронизация магнетронов с выводом энергии в свободное пространство

Введение

Использование электромагнитных колебаний СВЧ-диапазона можно условно разделить на две группы (см. рис. 1). 


К первой группе следует отнести «информационное» применение, включающее все виды связи, радиолокацию, телевидение, зондирование различных объектов, разведку полезных ископаемых, некоторые виды радиоэлектронного противодействия и т.п. Ко второй группе относится «энергетическое» использование СВЧ-колебаний. Это различные виды СВЧ-нагрева (в т.ч. плазмы), передача энергии на расстояние, воздействие электромагнитных волн на технические и биологические объекты с целью изменения их состояния. При этом современные способы генерации и усиления, как правило, связаны с первой группой.

Большинство приборов имеет ограниченное пространство трансформации (пространство преобразования постоянного тока в ВЧ-колебания), локализованный вывод энергии и выходные тракты, ориентированные на применение дополнительных пассивных элементов для обработки сигнала в информационных целях. Предельные тепловые и электрические нагрузки требуют дополнительных технических мероприятий (охлаждение, газовое заполнение, чистота обработки) и повышают удельную стоимость при увеличении мощности и уменьшении частоты.

«Энергетическое» применение не требует столь высокой степени канализирования энергии, но возникает необходимость согласования СВЧ-устройств для транспортировки энергии к объекту воздействия. В настоящее время специальное конструирование приборов для «энергетических» целей практически не ведётся (вот почему на рисунке 1 стоит вопросительный знак). Однако потребность в генераторах большой мощности существует.

Структурная схема суммирования мощности четырёх магнетронов

Для суммирования мощностей от генераторов СВЧ следует разместить их в пространстве так, чтобы колебания складывались в фазе [1, 2]. Одним из способов суммирования является размещение приборов на расстоянии в половину длины волны, с учётом противофазного возбуждения рядом стоящих источников.

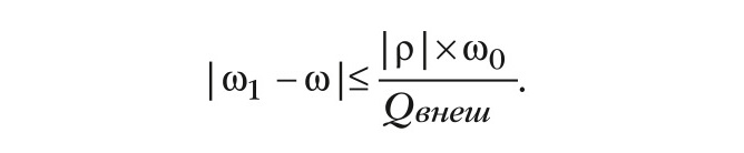
Теоретический вопрос синхронизации и суммирования двух высокочастотных генераторов достаточно широко представлен в работе [1]. В частности, показано, что решение нелинейного дифференциального уравнения для разности фаз между основным и синхронизирующим сигналом имеет вид:

где: φ – мгновенная разность фаз между колебаниями генератора и синхронизирующим сигналом, Qвнеш – внешняя добротность, ρ – коэффициент отражения, ω1 – частота синхронизирующего сигнала, ω – частота свободных колебаний при наличии нагрузки, ω0 – собственная частота колебаний генератора.

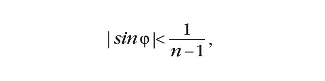
Синхронизация возможна при |sinφ| < 1.

Условие синхронизации:

При суммировании мощностей нескольких магнетронов, каждый из которых может быть и синхронизирующим и синхронизируемым, в первом приближении можно предположить:


где n – число суммируемых магнетронов. Данное положение не учитывает способа связи между генераторами и может быть не столь жёстким для большого числа магнетронов. При рассмотрении реальной конструкции следует стремиться к минимально возможной разности фаз φ между генераторами. Эта мгновенная разность фаз определяет переходный процесс синхронизации и однозначно не соответствует разности фаз синхронизированных генераторов при выводе энергии в различные точки пространства.


Для синхронизации магнетронов была выбрана схема [3] со стабилизирующим резонатором в виде отрезка волновода с высшим типом колебаний, представляющим собой отрезок прямоугольного волновода, закороченный с торцов (см. рис. 2). В этом стабилизирующем резонаторе основным типом колебаний можно считать волну типа Н104, которая образуется при резонансе. Для селекции данного типа колебаний в резонаторе между широкими стенками через равные промежутки установлены три закорачивающие селекционных вставки (4) в виде штырей. Коаксиальные выводы магнетронов вводятся в полость резонатора со стороны широкой нижней стенки (см. рис. 2). Для возбуждения резонатора используются четыре магнетрона Samsung OM75S (см. рис. 3)


В работе [3] рассматривается установившийся режим, и считается, что для успешной синхронизации в рамках некоторой полосы захвата (ΔFз) отношение сигналов синхронизирующего и синхронизируемого магнетрона должно быть в пределах 6…10 дБ. В этом случае ширина полосы захвата для данного типа магнетронов составляет около 30 МГц. Учитывая, что собственные частоты магнетронов находятся в пределах 2440…2470 МГц, такая ширина полосы захвата обеспечивает затягивание и синхронизацию частот магнетронов.

Синхронизация работы магнетронов зависит от их взаимного влияния. Для его уменьшения необходимо оптимизировать шаг следования магнетронов, размеры резонатора и селекционных вставок. Кроме этого использовано уменьшение поперечного размера широкой стенки резонатора (волновода). В результате волновод переходит в запредельный режим и между магнетронами наблюдается эффект ослабления сигнала. Тогда можно считать, что общий резонатор распадается на четыре взаимосвязанных (с некоторым ослаблением), согласованных по частоте и фазе резонатора.

В данной конструкции суммирование мощностей осуществляется в свободном пространстве в ближней зоне и по принципу действия напоминает антенную фазированную решётку.

Пассивная часть устройства суммирования мощности в резонаторе и рупорная антенна, излучающая мощность в пространство, были рассчитаны и оптимизированы с помощью программы электродинамического моделирования HFSS Ansoft [4].

Моделирование системы суммирования и синхронизации мощности от четырех магнетронов

Для создания в пространстве резонатора стоячих волн его размеры были выбраны так, чтобы в резонаторе 3 (см. рис. 2) возникал основной тип колебаний Н104. Исходные данные для моделирования системы суммирования и синхронизации мощности:

  • рабочая частота 2450 МГц;
  • длина резонатора 368 мм;
  • ширина резонатора 58 мм;
  • высота резонатора 45 мм;
  • диаметр селективных штырей 12 мм.

Резонатор в разрезе представлен на рисунке 4. 


Он разделён на четыре бокса, в каждом из которых находится коаксиальная линия, идущая от магнетрона и оканчивающаяся штыревым излучателем конической формы. Каждый штырь является монопольной антенной.

Коаксиальная линия от порта магнетрона имеет характеристический импеданс 50 Ом. Частотные характеристики коэффициентов отражения без рупора представлены на рисунке 5. 


В дальнейшем выполнена оптимизация отверстий связи и высоты рупора по критерию минимизации коэффициента отражения в полосе частот.

Фазовые характеристики являются определяющими при анализе синхронизации работы магнетронов. В процессе расчётов было обнаружено запаздывание фазы в боковых ячейках резонатора. Можно показать, что оно является следствием неоптимального положения торцевых стенок резонатора (время прохождения высокочастотного тока по внутренней поверхности торцевой стенки слишком велико). В результате возникает отклонение фазы в боковых ячейках на 20…30 градусов. Это вносит свой вклад в изменение режима работы отдельных магнетронов и расширяет диаграмму направленности в продольном направлении.

Для расчёта фазовых характеристик поля в сечении каждого бокса были построены фазовые характеристики поля по линии, параллельной оси коаксиальной линии каждого магнетрона (см. рис. 4). Графики распределения фаз по вертикальным линиям внутри четырёх ячеек представлены на рисунке 6. 


Расчёты показывают, что вдоль линий распространения электромагнитных волн фазы изменяются нелинейно, с разницей около 180 градусов. Это указывает на взаимное влияние магнетронов и их несинхронное рассогласование. Такие физические эффекты можно уменьшить с помощью подбора и оптимизации формы вибратора штыря возбуждения.

Моделирование трёхмерных СВЧ-структур с помощью электродинамических программ позволяет исключить дорогостоящие макетирование и настройку. В процессе расчётов была проведена оптимизация по размерам отверстий связи (наружному радиусу секторов Var) в полосе частот. График представлен на рисунке 7; видно, что оптимальный радиус находится в районе 27…28 мм.


Изометрия структуры сумматора с излучающим рупором показана на рисунке 8. 


Рупор охватывает отверстия связи, которые становятся для него щелевыми антеннами. После пристыковки рупора и установки граничного условия поглощения (аналог безэховой камеры) с помощью HFSS была рассчитана диаграмма направленности в дальней зоне с максимальным коэффициентом направленного действия КНД = 11,2 дБ. Диаграмма направленности имеет веерный характер. Картина поля в ближней зоне в центральном сечении показана на рисунке 8.

Для получения требуемой диаграммы направленности в пространстве была проведена оптимизация по высоте рупора (от которого зависит угол раскрыва). Определены оптимальные размеры рупора с учётом рабочей полосы.

На рисунке 8 видно, что при добавлении рупора ближнее поле в резонаторах выравнивается. Следует отметить, что реализация электродинамических методов моделирования в современных коммерческих пакетах программ [4, 5] переводит проектирование на новый уровень, часто исключая дорогостоящее макетирование и подгонку. Это особенно важно при оптимизации сложных СВЧ-структур, которые одновременно демонстрируют и согласующие, и излучающие свойства.

Результаты эксперимента

Макет сумматора мощности четырёх магнетронов показан на рисунке 9. 


В процессе исследований был достигнут коэффициент сложения мощностей Ксум = 0,7 и получена суммарная мощность в растре рупора 2,8 кВт. Амплитудно-частотные характеристики магнетронов в одиночном режиме и в режиме суммирования представлены на рисунке 10. На основании этих экспериментов был зарегистрирован патент РФ [3].


Измерение ближнего поля и спектральной характеристики устройства суммирования и синхронизации мощности выполнено с помощью тестовой антенны, которая устанавливается в ближней зоне рупора. На рисунке 10 отдельными линиями показаны модули спектральной плотности электромагнитного поля, измеренного на выходе сумматора при работе отдельных магнетронов (1, 2, 3, 4), а красным цветом выделена характеристика при одновременной работе четырёх магнетронов.

Заключение

В статье описана методика оптимизации сумматора магнетронных генераторов, в результате которой улучшен коэффициент сложения мощностей и обеспечено формирование требуемой диаграммы направленности в дальней зоне излучающего устройства. Оптимизированы геометрические размеры отверстий связи резонатора со свободным пространством. Данное устройство может быть увеличено в продольном и поперечном направлениях посредством дополнительных «полуволновых» ячеек, с сохранением симметричных свойств диаграммы направленности. При этом не требуется принципиальных изменений конструкции и изменения режимов питания и охлаждения отдельных магнетронов. Возможно применение описанного устройства для передачи энергии на расстояние и для СВЧ-воздействия на протяжённых объектах.

Литература

  1. Дейвид Е.Е. Фазирование высокочастотными сигналами: Электронные сверхвысокочастотные приборы со скрещенными полями: Изд-во иностранной литературы, 1961.
  2. Канавец В.И., Мозговой Ю.Д., Слепков А.И. Излучение мощных электронных потоков в резонансных замедляющих системах. Изд-во МГУ, 1993.
  3. Егоров Ю.М., Иванов И.М., Артамонов В.А., Юсупов У. Патент РФ №2394357. Устройство сложения мощностей генераторов на магнетронах.
  4. Программа HFSS Ansoft (www.ansoft.com)
  5. Банков С.Е., Гутцайт Э.М., Курушин А.А. Решение оптических и СВЧ-задач с помощью HFSS, Оркада, 2012.

© СТА-ПРЕСС

Если вам понравился материал, кликните значок — вы поможете нам узнать, каким статьям и новостям следует отдавать предпочтение. Если вы хотите обсудить материал —не стесняйтесь оставлять свои комментарии : возможно, они будут полезны другим нашим читателям!

01.09.2013 280 0
Комментарии
Рекомендуем
Телевизор с электронно-лучевой трубкой: разработки С.И. Катаева и их значение

Телевизор с электронно-лучевой трубкой: разработки С.И. Катаева и их значение

«…Наступит время… когда миллионы таких приборов, таких "электрических глаз" будут всесторонне обслуживать общественную и частную жизнь, науку, технику и промышленность…» Б. Розинг Семён Исидорович Катаев (1904–1991 гг.), советский учёный и изобретатель в области телевидения, доктор технических наук, профессор, заслуженный деятель науки и техники – незаслуженно обделён вниманием популяризаторами истории электроники и телевидения в нашей стране. Тем не менее И.С. Катаев внёс значительный вклад в развитие инженерной мысли в СССР при разработке и усовершенствовании электронно-лучевых трубок (ЭЛТ), ставших на многие годы ключевой технологией, лежащей в основе экранов телевизоров и оборудования различного назначения. Катаев дополнил изобретение Зворыкина и по праву может считаться ещё одним «отцом» отечественного телевидения. В найденных документах роль Катаева прослеживается чётко, и в статье мы хотим это показать.
23.04.2026 СЭ №4/2026 35 0
Электронные системы диагностики, стимуляции и воздействия на человека на примере BAMH и управления –  на примере AE-Skin

Электронные системы диагностики, стимуляции и воздействия на человека на примере BAMH и управления – на примере AE-Skin

Путь будущих разработок в области современной электроники пролегает от визуального отображения окружающего пространства до тактильного. В этой связи представляют интерес система Bioinspired Adaptable Multiplanar mechano-vibrotactile Haptic (BAMH) – пневматически активируемый роботизированный электронный комплекс с интерфейсом из мягкого материала и система AE-Skin, обеспечивающая интерфейс между кожей человека и физическими поверхностями. Принцип её действия достаточно известен и заложен в управлении интерактивными экранами. В первой части статьи рассматриваются особенности новых разработок в области медицинской электроники и перспективы тактильного воздействия на кожу человека для лечения и изменения настроения. Во второй части представлен подробный разбор AE-Skin и примеры её совершенствования во всех сферах жизни человека: от управления посредством электронных тактильных датчиков миниатюрной формы до устройств на основе новых технологий, воспринимающих движения руками без прикосновения и без применения пироэлектрических детекторов, как управляющие сигналы для РЭА.
17.04.2026 СЭ №4/2026 102 0

ООО «ИнСАТ»  ИНН 7734682230  erid = 2SDnjeHksEz
ООО «ИнСАТ»  ИНН 7734682230  erid = 2SDnjddDXPx
  Подписывайтесь на наш канал в Telegram и читайте новости раньше всех! Подписаться