В современном производстве электрических соединителей всё большее значение приобретают статистические методы управления качеством процессов и производимой продукции. Эти методы основаны на использовании статистических (вероятных) закономерностей, имеющих место при повторении часто случающихся событий.
Математической основой статистического контроля качества электрических соединителей служат теория вероятностей и математическая статистика.
В общем случае организация статистического контроля в производстве продукции связана с необходимостью сбора и обработки больших массивов статистических данных о показателях качества продукции, что позволяет оптимально управлять сложными технологическими процессами производства электрических соединителей.
На практике различают два основных вида статистического контроля качества:
1) статистическое регулирование – текущий контроль производственного процесса методами математической статистики;
2) математико-статистические выборочные методы.
Главная цель статистического регулирования – предупреждение брака путём своевременного вмешательства в технологический процесс. Математико-статистические выборочные методы предназначены, как правило, для контроля уже готовой продукции. Они позволяют определять объём брака и источники его возникновения в технологическом процессе или же качественные недостатки и несоответствия в процессе проведения различных видов испытаний.
В настоящее время промышленно развитые страны далеко продвинулись в области управления качеством. Разработаны новые системы и инструменты оценки качества. Современная методология контроля, регулирования и управления качеством значительно отличаются от традиционной. Рассмотрим современную концепцию управления качеством продукции и этапы её развития.
Современная концепция обеспечения, регулирования и управления качеством промышленной продукции начала складываться в 20-х годах XX столетия и уже в 30-х годах сформировалась в стройную систему статистического контроля качества. Её задача сводилась к минимизации расходов на контроль качества при условии, что будет получена своевременная достоверная и наглядная информация о фактическом состоянии дел при реализации технологического процесса, обеспечивающего оперативное принятие управленческих решений, направленных на непрерывное поддержание требуемого качества продукции. Оказалось, что, для чёткого функционирования этой системы нужна строгая регламентация статистических методов контроля качества, т.е. наличие соответствующих стандартов. Первым таким документом стал американский военный стандарт MS105D; в соответствии с ним определялся объём выборки, по которому можно судить о качестве всей партии на основании результатов фактического контроля деталей этой выборки.
Очередной этап развития системы статистического контроля наступил в середине 50-х годов, когда английский статистик Дж. Бокс предложил метод эволюционного планирования промышленных экспериментов. В нём содержались идеи, которые изменили существовавшие взгляды на то, как управлять технологическими процессами. Раньше считалось, что рабочий и мастер всегда знают, как управлять процессом, но не используют эти знания только из-за отсутствия своевременной информации. В связи с этим система контроля качества должна обеспечиваться своевременно необходимой информацией.
По мере повышения требований к качеству продукции появился новый тезис: выработка оптимального управления столь сложна, что рабочий как правило, не знает, как его найти. Вследствие этого напрашивается вывод: система должна сама вырабатывать импульсы на управляющие воздействия. Это значит, что она должна перестать быть чисто информационной, а стать инструментом текущего управления технологическим процессом. Стабильное поддержание необходимого количества раз и навсегда заданного оптимального режима представляется трудновыполнимым, т.к. в технологическом процессе задействовано большое количество изменяющихся факторов и к тому же задача управления заключается не в стабилизации, а в непрерывной адаптации режима. Получается, что в ходе процесса производится не только продукция, но и вырабатывается информация о текущем состоянии основных параметров процесса.
В середине 60-х годов в Японии появились собственные разработки системы управления качеством продукции, которые были внедрены во всех производственных структурах. В настоящее время они являются передовыми разработками, а именно: засекреченный до недавнего времени новый метод, называемый структурированием функции качества (Quality Function Deployment). Для разработки конкурентоспособной продукции весь мир широко применяет комплекс методов, известный под названием «Методы Тагути», по имени их создателя Г. Тагути.
Для первоначального сбора и анализа информации применяются так называемые 7 простых методов, которыми обязаны владеть абсолютно все работники предприятия «от уборщицы до генерального директора» и которые позволяют решать от 50 до 95% всех возникающих проблем. Эти методы используются на многих предприятиях России, но не систематически и не на уровне рабочих-исполнителей.
Для анализа более сложных производственных ситуаций целесообразно применять 7 новых методов решения проблем, которыми обязаны пользоваться все менеджеры высшего уровня предприятия. К сожалению, эти методы практически не применяются на отечественных предприятиях.
И, наконец, новейшие изобретения управленческой мысли – бенчмаркинг и реинжениринг. Бенчмаркинг – это систематическое сопоставление тех или иных элементов собственной деятельности с лучшими аналогами в целях их усовершенствования. Реинжениринг – это методология революционной перестройки предприятия в целях прорыва на новые уровни конкурентоспособности. Эти два инструмента стали активно использоваться в ОАО «Карачевский завод «Электродеталь».
Рассмотрим более подробно обозначенные инструменты влияния на качество продукции. Итак, по утверждению специалистов, отмечается, что от 50 до 95% проблем в области качества продукции может быть успешно решено с помощью 7 простых инструментов статистического управления процессами:
1) контрольные листки;
2) гистограммы;
3) диаграммы Порето;
4) причинно-следственные диаграммы Исикава;
5) точечные диаграммы (разброса или облако, поля корреляции);
6) стратификация – расслоение данных;
7) контрольные карты.
Каждый из этих инструментов может применяться в любой последовательности в зависимости от конкретных решаемых задач. Эти инструменты должны применять все работники предприятия, т.к. на качество продукции влияют все без исключения. В дополнение к этому, звенья системы управления качеством, от которых зависят инженерные решения, должны использовать более сложные инструменты статистического контроля:
- анализ петли качества до запуска в производство и после, с момента его начала (off-line и оn-line);
- анализ соотношения сигнал – шум;
- расчёт и анализ функции потери качества;
- расчёт и анализ индексов воспроизводимости и т.д.
Более сложные статистические инструменты позволяют эффективно создавать изделия с высокой устойчивостью функциональных характеристик к различным факторам – так называемым шумам. Источники шума – это все те переменные, которые приводят к отклонениям рабочих характеристик от заданных величин. Не все источники шума удается учесть из-за недостатка знаний и физических ограничений.
Для руководителей производства в арсенале инструментов, позволяющих решать проблемы качества, имеется ещё 7 новых методов:
1) диаграммы сродства;
2) графы связей;
3) деревья – иерархические структуры;
4) матричные диаграммы;
5) многомерный статистический анализ;
6) блок-схемы процессов принятия решений;
7) сетевые графики (система ПЕРТ).
Вся система эффективного применения инструментов оценки качества продукции основывается на понимании и использовании таких важных представлений, как:
- автономизация – формы организации процесса в виде взаимосвязанных сотрудников: рабочих, инженеров, управляющих, каждый из которых оказывается одновременно и потребителем, и поставщиком и нуждается в собственных системах входного и выходного контроля;
- «дуракоустойчивость» – определённая система блокирования, препятствующая перемещению бракованной продукции с одной операции на другую;
- принцип «точно вовремя» – то есть требуемая продукция соответствующего качества и в нужном количестве должна находиться в определённом месте в заданное время, что естественно связано с реализацией идеи бездефектного производства;
- стиль принятия решений путём систематического поиска консенсуса по проблемам качества в группах специалистов и всех участников производства;
- использование концепции «улучшения – каждый день», то есть эволюционного совершенствования качества.
Категория «качество» является ёмким понятием, и поэтому оценка его может быть различной и неоднозначной. Для того чтобы однозначно оценивать качество (продукта, процесса, услуги), Тагути предлагает измерять его теми потерями, которые вынуждено нести общество после того, как некоторый товар произведён и отправлен потребителю.
Основные идеи такого подхода к оценке качества можно представить в следующем виде:
- качество продукции определяется полными потерями для общества, и величины этих потерь (функция потери качества) пропорциональна квадрату отклонения показателя качества продукта от номинала;
- разрабатываемые изделия должны обладать робастностью (устойчивостью функциональных характеристик изделия к изменению шумовых факторов) по отношению к возможным внешним воздействиям и иметь минимальный разброс показателей относительно номинала;
- минимизация функции потери качества и создание робастного изделия осуществляется методами планирования эксперимента.
Для количественной оценки потерь ненадлежащего качества продукции Тагути ввёл понятие функции потери качества, которую предложил описывать простой квадратичной функцией:
где L – потери, исчисляемые в рублях;
y – фактическое значение параметра изделия; К – коэффициент пропорциональности между потерями и квадратом отклонения параметра от номинала; m – заданное значение параметра (номинал).
Графически это выглядит следующим образом (см. рис. 1).

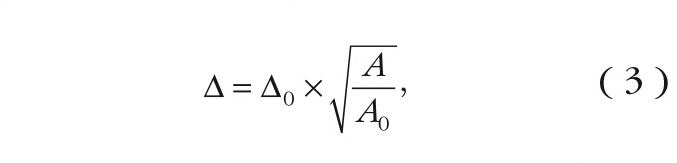
На границе поля допуска продукция бракуется, её стоимость равна:
где Δ0 – это разность между границей допуска и номиналом, т.е. m – НГД = ВГД – M = 0 (для симметричного допуска в общем случае это условие не обязательно).
Такой подход к оценке качества приводит к фундаментальному пересмотру самого понятия допуска и принципиально меняет взгляд на то, для чего и в какой степени он нужен.
При существующем подходе к оценке качества предполагается, что все детали, находящиеся в пределах допуска, имеют одинаковое максимально возможное качество, а детали, находящиеся за пределами поля допуска, бракуются.
В рассматриваемом варианте оценки качества предполагается, что любое отклонение от номинала ведёт к потерям, а границы поля допуска – это искусственные величины, имеющие только второстепенные значения. Предполагается назначать допуски таким образом, чтобы потери потребителя и потери изготовителя продукции в том случае, когда характеристики попадают на границу поля допуска, были равны. В этом случае:
где А – стоимость забракованной продукции у изготовителя.
Допуск изготовителя ужесточается обратно пропорционально квадратному корню из соотношения стоимости забракованной продукции у изготовителя и потребителя. Как правило, стоимость отказа у потребителя во много раз больше стоимости отказа у изготовителя.
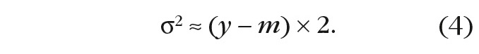
Если необходимо определить потери при изготовлении партии изделий, то нужно определить среднее квадратическое отклонение и выход годного (т.е. процент изделий, приемлемый для потребителя при существующем уровне производства). Для этого определяется дисперсия (σ2), или, точнее, средний квадрат ошибок.
Тогда функция потерь качества для партии деталей будет определяться по формуле:
Методы Тагути позволяют при разработке изделий в начале производства обеспечить их выпуск не только с заданным номиналом, но и с номинальным разбросом вокруг этого номинала (причём разброс должен быть максимально нечувствителен к неизбежным колебаниям различных внешних воздействий). Для этого предлагается целенаправленно проводить факторный эксперимент. Результатом этого эксперимента должно быть разделение всех факторов, влияющих на процесс: влияющие в основном на среднее значение – номинал и факторы, влияющие на разброс вокруг этого номинала. Если это удаётся сделать, то с помощью факторов первой группы обеспечивается выпуск продукции, соответствующей номиналу, после чего факторы второй группы корректируются так, чтобы разброс вокруг номинала был минимальным. Критерием оптимизации при этом служит соотношение сигнал – шум, которое тем лучше, чем оно больше. Это – новый показатель качества.
Современная методология контроля, регулирования и управления качеством основывается на использовании так называемых индексов воспроизводимости, которые являются своеобразным развитием известных сравнительных коэффициентов точности, широкоиспользуемых в технике при оценке качества.
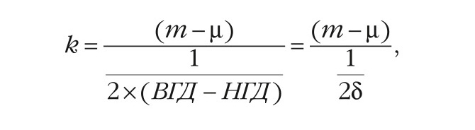
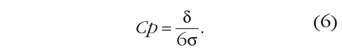
Рассмотренный выше подход к назначению допусков хорошо согласуется с использованием индексов воспроизводимости качества. Самым простым является индекс Ср, который в общем виде определяется соотношением:
Обычно за интервал поля допуска принимают размах (ВГД – НГД) = δ. Одним из самых распространённых способов оценки диапазона рассеивания изделий по тому или иному параметру является способ 6σ, где σ – так называемое стандартное отклонение. С учётом этих обозначений формула для индекса Ср приобретает следующий вид:
Значение Ср показывает – во сколько раз ширина поля допуска больше (меньше) фактической ширины соответствующего распределения.
Многообразие возникающих в производстве задач, связанных с необходимостью изготовления деталей с заданной точностью, сводится к нескольким схемам, основные из них представлены на рисунке 2.

Первая ситуация (I) отражает тот факт, что при реализации технологического процесса наблюдается смещение (μ) середины поля рассеивания по отношению к середине поля допуска, а само рассеивание, равное ±3σI, значительно шире поля допуска. Для приведения процесса в норму, т. е. ликвидации брака (заштрихованные области), необходимо произвести настройку факторов, влияющих на разброс размеров относительно номинала.
В отличие от первой, во второй ситуации (II) требуется поднастройка процесса, т.к. и 3σII практически совпадают.
Третья ситуация (III) показывает, что технологический процесс изготовления деталей является стабильным и обеспечивает определённый запас по точности.
Четвёртая ситуация (IV), в противоположность второй, не требует поднастройки, а нуждается лишь в уменьшении рассеивания.
И, наконец, пятая ситуация (V) – это модель полного соответствия технических требований и технологических возможностей производственного процесса.
Следует отметить, что условно изображённые на рисунке 2 кривые распределения размеров отображают некоторое мгновенное, статистическое состояние процесса. Эти же кривые с определённым допущением можно рассматривать и как результат усреднения. В действительности же происходит своеобразное плавание кривых распределения, они даже при идеальной ситуации могут смещаться вследствие воздействия систематических или случайных факторов.
Необходимо учитывать и влияние метрологических погрешностей контроля, которые в сочетании с технологическим рассеиванием размеров могут изменить окончательное положение и формы кривой рассеивания. Реальные погрешности измерения заметно искажают результаты забракования на участках кривой распределения, расположенных у границ поля допуска.
Приведённые соображения, наряду с другими, делают целесообразным назначение контрольных границ (верхней – Тв и нижней – Тн, см. рис. 2) внутри поля допуска на изделия в более узких пределах. Такое ограничение является основой всех методов статистического контроля качества изделий.
Таким образом, введение индекса воспроизводимости качества потребовалось для того, чтобы с помощью легко определяемого числа характеризовать процессы по проценту брака. Различные иностранные фирмы в зависимости от важности технологических процессов и значимости изделий устанавливают для них различные критические значения Ср. Например, для процессов с обычным уровнем требований (существующих/новых) – 1,33/1,50; для процессов обеспечения безопасности, прочности и для критических требований – 1,50/1,67. Многие японские производители ориентируются на значение Ср = 1,33, заводы «Renault» во Франции – на Ср = 1,00.
Необходимо отметить, что индекс Ср никак не связан с положением центра распределения внутри поля допуска. Поэтому были предложены другие индексы, характеризующие точность настройки качества процесса на середину поля допуска, например:
где
а m – генеральное среднее данного распределения.
Необходимо отметить любопытное следствие использования индексов воспроизводимости качества совместно с функцией потери качества. Оказывается, процессы с большими значениями индексов воспроизводимости качества, не дающие 100% выхода годных, являются более выгодными (т.е. наносят меньший ущерб производителю и потребителю), чем процессы с более низкими значениями индексов воспроизводимости качества, но со 100%-ным выходом годных.
На основании вышеизложенного следует вывод: ужесточать допуск нецелесообразно, поскольку это приводит к удорожанию продукции. Более высокое качество означает обеспечение тех же самых функций с меньшими потерями для потребителя. Функция потери качества по Тагути позволяет перевести технические характеристики изделия и его составляющих в денежное выражение.
Широкое использование индексов воспроизводимости качества процессов на предприятиях объясняется следующими основными причинами:
- удобная возможность количественного описания различных вариантов оценки качества процессов;
- дешёвое и простое средство количественной характеристики сравниваемых параметров изделия;
- универсальное средство для современного аудита;
- простые количественные показатели при проверке настройки оборудования либо планово-предупредительных ремонтных работах;
- удобная мера оценки контроля состояния и совершенствования качества;
- средства для решения проблем с выбором поставщиков и их стимуляции;
- средства для увеличения продаж собственной продукции;
- средства общения на «одном языке» всех участников процесса.
Робастность – это устойчивость функциональных характеристик изделий к изменению шумовых факторов. Чтобы обеспечивать устойчивость производства, надо этим заниматься на стадии его проектирования. Именно на этой стадии можно предусмотреть практически все факторы, обуславливающие негативное влияние на будущее производство. Если же заниматься этим уже на стадии разработки технологического процесса, то остаётся только возможность влияния на те шумы, которые обусловлены неполадками технологического процесса, при этом многие причины останутся вне зоны влияния. Такой подход имеет принципиальное значение.
Задача организации процесса состоит в том, чтобы минимизировать отклонения функциональных характеристик изделий от заданных значений. Эффективный путь минимизации должен быть таким, чтобы проектируемое изделие и технологический процесс его изготовления обеспечивали бы как можно меньшую чувствительность всех этапов производства к влиянию внешних и внутренних шумов. Иными словами, общая цель «инженерии качества» состоит в том, чтобы изготавливаемое изделие было устойчиво к любым шумовым факторам.
В связи с этим процесс проектирования изделия с позиции оптимизации качества принято разделять на 3 этапа.
- Проектирование системы – создание базового прототипа, обеспечивающего выполнение требуемых функций.
- Определение параметров, обеспечивающих поведение изделий и всей системы (как можно ближе к желаемым).
- Расчёт и установление допусков на готовую продукцию.
Применяя свой метод, Тагути идентифицировал очень важные проблемы качества и производства для этапов проектирования изделий и технологического процесса их изготовления, а также предложил обобщённую стратегию, объединяющую идеи управления качеством и статистические методы для эффективной работы над указанными проблемами.
Всё большее освоение экономической среды воспроизводства, т.е. рыночных отношений, диктует необходимость постоянного улучшения качества с использованием для этого всех возможностей, в том числе и достижений прогресса в области техники и организации производства.
Наиболее полная и всесторонняя оценка качества обеспечивается в том случае, когда учтены все свойства анализируемого объекта, проявляющиеся на всех этапах его жизненного цикла, начиная с разработки, изготовления, эксплуатации и хранения. Таким требованиям в полной мере соответствуют статистические методы контроля качества, которые являются эффективным, не требующим больших затрат инструментом сбора и анализа информации о качестве.
В конечном счёте итогом функционирования системы статистического контроля и управления качеством продукции должно быть не устранение самих дефектов, а устранение причин их возникновения.
© СТА-ПРЕСС
Если вам понравился материал, кликните значок — вы поможете нам узнать, каким статьям и новостям следует отдавать предпочтение. Если вы хотите обсудить материал —не стесняйтесь оставлять свои комментарии : возможно, они будут полезны другим нашим читателям!

