Устройство представляет собой нормально замкнутое силовое предохранительное реле источника питания.
Его ключевая функция — обеспечение защиты без смещения источника питания.
После подачи смещения коммутатор‑распределитель позволяет управлять процессами включения и выключения посредством входного сигнала.
Схема поддерживает два режима работы — защитный и коммутационный — через изолированный выход оперативного контроля. Устройство может выступать в качестве исполнительного коммутатора в интеллектуальной распределительной системе.
Основные функции:
- ограничение тока;
- защита от перегрузки и короткого замыкания;
- защитная блокировка;
- обратная связь по состоянию.
Коммутаторы‑распределители XMTI рассчитаны на эксплуатацию в широком температурном диапазоне от -55 до +125ºC. Характеризуются стойкостью к эффекту полной накопленной дозы 100 крад (Si) и стойкостью к одиночным эффектам при воздействии заряженных частиц с пороговыми линейными потерями энергии (ЛПЭ) до 75 МэВ·см2/мг.
Производство осуществляется в соответствии с требованиями национального стандарта GJB2438B-2017 «General Specification for Hybrid Integrated Circuits», который идентичен спецификации MIL-PRF-38534C «Hybrid Microcircuits, General Specification For» (США).
Предлагаются устройства с уровнями качества H и G.
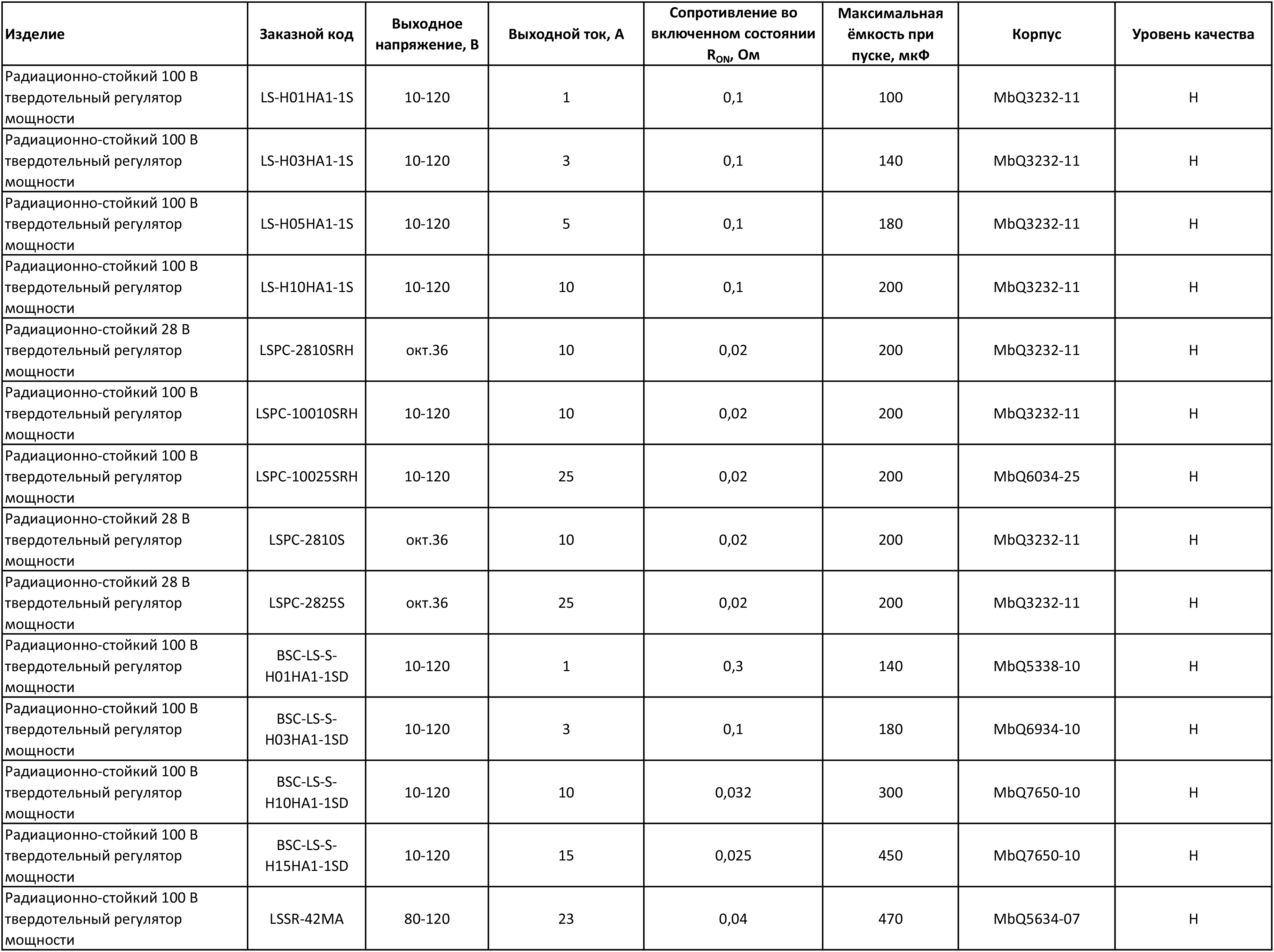
Основные технические параметры интеллектуальных коммутаторов-распределителей
Для получения дополнительной информации по продукции XMTI обращайтесь по электронной почте info@prochip.ru
Источник: https://www.prochip.ru/news/intellektualnye-kommutatory-raspredeliteli-dlya-primeneniya-v-funktsionalnoy-chasti-bortovoy-apparat.html
Если вам понравился материал, кликните значок — вы поможете нам узнать, каким статьям и новостям следует отдавать предпочтение. Если вы хотите обсудить материал —не стесняйтесь оставлять свои комментарии : возможно, они будут полезны другим нашим читателям!

