Проектируя высокоскоростное устройство на печатной плате, разработчик сталкивается с необходимостью решать задачи обеспечения целостности сигналов. Чаще всего к ним относятся следующие: расчёт волнового сопротивления, вычисление ослабления сигнала, оценка перекрёстных помех. Используя ту или иную программу для решения выделенных задач, инженер должен быть уверен, что вычислительное средство использует точные и проверенные методы. Неверные расчёты, большие погрешности часто становятся источником серьёзных ошибок, цена исправления которых может быть очень высокой.
Компания «ЭРЕМЕКС» постепенно внедряет в свои продукты инструменты обеспечения целостности сигналов. Многим пользователям известны такие САПР, как SimPCB Lite и встроенный модуль в Delta Design SimPCB. Основой SimPCB и SimPCB Lite является математический модуль. Для компании важно, чтобы качество его реализации не вызывало сомнений у инженеров, поэтому в данном издании периодически появляются публикации о способах решения той или иной задачи обеспечения целостности сигналов. В данной статье речь пойдёт о расчёте перекрёстных помех.
Перекрёстные помехи возникают, когда два или более проводника на печатной плате находятся в близости друг от друга. Эффект усиливается с повышением частоты, скорости сигнала, сокращением расстояния между проводниками и увеличением длины взаимодействия. Явление объясняется тем, что проводящие элементы попадают под воздействие электромагнитных полей, образующихся от соседних сигналов. Пояснение представлено на рис. 1.

Из рисунка видно, что первый и третий проводники попадают в электромагнитное поле, образованное от средней трассы. Соответственно, на крайних линиях передачи от воздействия внешнего поля возникнет разность потенциалов и электрический ток. Это и будет перекрёстная помеха.
Практический интерес представляют перекрёстные помехи на ближнем и дальнем концах линии передачи. Вычисляют перекрёстные помехи на конкретной частоте или для частотного диапазона и во временно́й области. В данной публикации рассмотрим только частотный анализ.
В решателе от компании «ЭРЕМЕКС» перекрёстные помехи вычисляются без учёта потерь. Исключение потерь из расчёта приводит к тому, что рассматривается наихудший случай, то есть помеха будет немного завышена, а инженер получает результат с подстраховкой. Зарубежные программы, такие как Polar SI9000, HyperLynx, также не учитывают потери.
Модель двух взаимодействующих линий передачи без учёта потерь представлена на рис. 2.

Для вычисления помехи необходимо определить матрицу индуктивности и ёмкости. Матрица ёмкости для двух линий передачи будет выглядеть следующим образом:
где C11 – ёмкость линии передачи 1, C22 – ёмкость линии передачи 2, C12 и C21 – взаимная ёмкость между линиями 1 и 2, при этом C21 = C12.
Матрица индуктивности для двух линий передачи:
где L11 – индуктивность линии передачи 1, L22 – индуктивность линии передачи 2, L12 и L21 – взаимная индуктивность между линиями 1 и 2, при этом L12 = L21.
Матрица ёмкости рассчитывается с помощью электростатического решателя методом граничных элементов. Следует отметить, что матрица вычисляется два раза. Первая матрица учитывает материалы печатной платы, вторая предполагает, что проводящие элементы окружены воздухом. Пример сетки граничных элементов, сформированной в решателе от компании «ЭРЕМЕКС» для двух линий передачи, представлен на рис. 3.

Магнитная проницаемость диэлектриков равна единице, то есть величина индуктивности проводника не зависит от его типа. Поэтому матрица индуктивности вычисляется через матрицу ёмкости для линий передачи в среде воздуха. Формула для расчёта следующая:
где c – скорость света, Cвозд – матрица ёмкости для линий передачи в среде воздуха.
Существует определённое количество способов расчёта перекрёстных помех. В САПР SimPCB Lite решение данной задачи выполняется через S-параметры. Линия передачи представляется как двухпортовая система (рис. 4) и описывается S-коэффициентами.

Матрица S-коэффициентов:
где S11 = V1вых/V1вх при V2вх = 0,
S21 = V2вых/V1вх при V2вх = 0,
S12 = V1вых/V2вх при V1вх = 0,
S22 = V2вых/V2вх при V1вх = 0,
V1вх, V2вх, V1вых, V2вых – напряжения падающих и отражённых волн соответственно.
Взаимосвязь S-коэффициентов с напряжениями падающих и отражённых волн можно записать и так:
О перекрёстных помехах можно говорить, когда система состоит минимум из двух линий передачи. Рассмотрим такую систему и опишем её через S-коэффициенты. На рис. 5 представлено две линии передачи с падающими и отражёнными волнами.

Связь между S-коэффициентами и напряжениями для двух линий передачи выглядит так:
Если, например, сигнал присутствует только на входе первой линии (порт 1), то выражение, представленное выше, можно записать:

При этом перекрёстная помеха на ближнем конце второй линии (порт 3) равна Unext = V3вых, а на дальнем – Ufext = V4вых. Используя связь S-коэффициентов и напряжений, получаем: Unext = V3вых = S31 · V1вх, а Ufext = V4вых = S41 · V1вх. Если V1вх = 1 В, то перекрёстная помеха на ближнем и дальнем концах линии передачи будет соответствовать значениям S-коэффициентов, то есть Unext = = V3вых = S31, Ufext = V4вых = S41.
В случае, когда на входе линии-жертвы присутствует полезный сигнал, связь S-коэффициентов и напряжений запишется так:
Перекрёстная помеха на ближнем конце в этом случае будет входить в состав отражённого сигнала, а на дальнем – сигнала, выходящего из линии:
Unext = V3вых = S31 · V1вх + S33 · V3вх,
Ufext = V4вых = S41 · V1вх + S43 · V3вх.
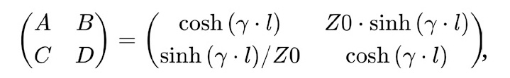
S-коэффициенты рассчитываются по известным формулам, широко представленным в литературе. Важной составляющей этих формул является матрица ABCD-параметров. Выглядит она следующим образом:
где l – длина линии передачи, Z0 – волновое сопротивление, γ – постоянная распространения, вычисляемая по формуле:

Здесь R, L, C, G – матрицы первичных параметров линий передачи, i – мнимая единица, ω – круговая частота.
Так как вычисление перекрёстных помех выполняется без учёта потерь, то матрицы R и G приравниваются к нулю, а C и L вычисляются с помощью электростатического решателя так, как указано в начале статьи.
Ниже, в качестве сравнения, представлены результаты вычислений перекрёстных помех, полученные в SimPCB Lite и в Polar SI9000. Перекрёстные помехи рассчитывались для системы, состоящей из двух одинаковых линий. Их параметры представлены на риc. 6.

Расстояние между линиями 0,2 мм, длина линий 200 мм. Помехи оценим в частотном диапазоне от 100 МГц до 1 ГГц с шагом 50 МГц. Амплитуда входного сигнала составляет 1 В. Результаты расчёта в Polar SI9000 и SimPCB Lite показаны на рис. 7 и рис. 8 соответственно.


Видно, что результаты практически совпадают. Так, например, при частоте 1 ГГц помеха, вычисленная в Polar SI9000, на ближнем конце линии передачи (порт 3) составляет 0,085 В, на дальнем – 0,35 В при амплитуде входного сигнала 1 В, а рассчитанная в SimPCB Lite – 0,083 В и 0,349 В.
Применяемый математический аппарат и способ вычислений позволяет рассчитывать перекрёстные помехи для любого количества линий передачи, как одиночных, так и дифференциальных, с любой геометрией поперечного сечения проводника. Точность вычислений обеспечивается сеткой граничных элементов. В решателе от компании «ЭРЕМЕКС» сетка настроена оптимальным образом, обеспечивая баланс между высокой скоростью расчёта и минимальной погрешностью.
Литература
- Кечиев Л.Н. Справочник по расчёту электрической ёмкости, индуктивности и волнового сопротивления в электронной аппаратуре: инженерное пособие. М.: Грифон, 2021. 280 с.
- Ухин В.А., Коломенский Д.С., Кухарук В.С., Смирнова О.В. Методы расчёта волнового сопротивления линий передач на печатных платах // Современная электроника. 2023. № 9. С. 40–42.
- Кухарук В.С., Коломенский Д.С., Ухин В.А., Смирнова О.В. Сравнение результатов расчётов волнового сопротивления линий передач на печатных платах // Современная электроника. 2023. № 9. С. 43.
Если вам понравился материал, кликните значок — вы поможете нам узнать, каким статьям и новостям следует отдавать предпочтение. Если вы хотите обсудить материал —не стесняйтесь оставлять свои комментарии : возможно, они будут полезны другим нашим читателям!

