В настоящее время производители СВЧ-транзисторов и разработчики усилителей мощности нуждаются, в первую очередь, в качественных автоматизированных измерительных системах, позволяющих получать полную информацию об исследуемом устройстве для последующих этапов моделирования и проектирования.
В данной статье рассмотрены измерительные системы, применение которых возможно как на уровне развития полупроводниковой технологии (GaN, GaAs), так и на этапе проектирования модулей радиоэлектронных систем. А именно, будут рассмотрены следующие системы:
- система PIV – система подачи питания и измерения напряжений и токов на входе и выходе электронного компонента в импульсном режиме;
- система измерений характеристик цепей по мощности с применением импедансных тюнеров;
- система измерений Х-параметров;
- система измерений коэффициента шума и шумовых параметров.
Далее рассмотрим подробнее каждую из перечисленных систем.
Система синхронизированных измерений ВАХ и S-параметров в импульсном режиме
На первых этапах характеризации СВЧ-транзистора измерения вольт-амперных характеристик (ВАХ) в импульсном режиме являются очень важными, как и синхронизированные измерения S-параметров и ВАХ в постоянном и импульсном режимах. Измерения в импульсном режиме позволяют исключить эффект саморазогрева кристалла и эффекты захвата носителей заряда на ловушках, позволяя в дальнейшем проводить экстракцию эквивалентной модели устройства в квази-изотермических условиях как в линейной, так и в нелинейной областях [1].
Система, позволяющая осуществить такие измерения, была разработана Maury Microwave совместно с AMCAD Engineering. Данная система, представленная на рисунке 1, основывается на использовании векторного анализатора цепей и системы импульсной подачи питания и измерений PIV Amcad.

Система измерений с переменными импедансами Load Pull
Измерения Load Pull – это измерения мощностных характеристик СВЧ-транзистора при различных нагрузках на его входе и выходе, которые реализуются с помощью автоматизированных тюнеров Maury Microwave. Целью измерений является определение оптимальных значений входного и выходного импедансов для последующего проектирования согласующих цепей. Результаты измерений могут использоваться для утверждения и доводки компактных моделей, а также для проектирования усилителей мощности [2].

Речь идёт о системе измерений Load Pull с векторными приёмниками (см. рис. 2). В данной системе измерения проводятся в реальном времени и в опорной плоскости тестируемого устройства. Вместо параметров мощности измеряются реальные сигналы тестируемого устройства, позволяя анализировать более полный набор параметров. Эти параметры включают:
- входной импеданс в режиме большого сигнала, который используется для определения мощности сигнала, поступающего на вход;
- коэффициент усиления по мощности и КПД;
- коэффициент преобразования амплитудной модуляции в фазовую (AM-PM);
- параметры гармоник.
Система измерений Х-параметров
Х-параметры – товарный знак компании Keysight Technologies, Inc. Формат и уравнения, лежащие в основе X-параметров, являются открытыми и задокументированными. При разработке нелинейных устройств и схем, работающих в режиме большого сигнала, таких как сложные усилители мощности, включая многокаскадные схемы и схемы усилителей Догерти, всё чаще используются X-параметры, нежели S-параметры. В отличие от S-параметров, X-параметры содержат важную детальную информацию, которая включает амплитуды и фазы побочных спектральных составляющих, генерируемых нелинейным компонентом при работе в режиме большого сигнала.
Опция X-параметров с произвольными импедансами нагрузки для нелинейного векторного анализа (NVNA) цепей на базе PNA-X компании Keysight Technologies (при совместном использовании с программным обеспечением и тюнерами компании Maury Microwave) позволяет измерять и моделировать нелинейное поведение компонентов как функцию импеданса, входной мощности, смещения и частоты – при всех импедансах нагрузки.
Это первое в отрасли техническое решение предоставляет инженерам следующие возможности:
- расширение возможности объединения X-параметров отдельных каскадов схемы для случаев произвольных больших рассогласований нагрузки;
- точное автоматизированное измерение и моделирование линейного и нелинейного поведения устройств по всей диаграмме Смита при различных нагрузках;
- моделирование устройств и разработка сложных многокаскадных схем усилителей, таких как усилители Догерти или другие, благодаря простоте перемещения объектов в САПР Advanced Design System (ADS) или Microwave Office.
Используя новое техническое решение для измерения X-параметров (см. рис. 3), разработанное компаниями Keysight и Maury, можно улучшить точность моделирования, минимизировать число итераций проектирования и сократить общее время проектирования до 50% [1].

Система измерений шумовых параметров
Наиболее часто используемым измерением шума, добавленного устройством, является измерение коэффициента шума. Обычно коэффициент шума измеряется в 50-омном тракте и стремится оценить снижение отношения сигнал/шум, вызванного усилителем или преобразователем частоты. Однако с изменением импеданса источника, представленного на вход усилителя, коэффициент шума меняется. Таким образом, для полной характеризации устройства измерений лишь в 50-омном тракте недостаточно.
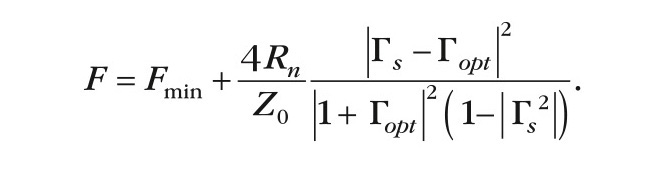
Изменения, связанные с импедансом источника, могут быть описаны и представлены шумовыми параметрами [1]. Ключевым моментом является понимание шумовых параметров устройства, особенно в случае проектирования малошумящих усилителей на несогласованных транзисторах. Шумовые параметры включают в себя четыре отдельных элемента: минимальный коэффициент шума Fmin, Гopt – оптимальный импеданс (действительная и мнимая части), при котором достигается Fmin, а также Rn – эквивалентное последовательное сопротивление транзистора. Теоретически любые четыре контролируемых импеданса источника (Гs) могут быть представлены на вход устройства, и соответствующий коэффициент шума (F) может быть измерен для решения системы четырёх уравнений с четырьмя неизвестными. На практике, выбранные импедансы Гs должны быть в пределах оптимальных импедансов Гopt. Корректный выбор импедансов становится критичным в случае не 50-омного входного импеданса:

Векторный анализатор цепей серии N524x PNA-X компании Keysight Technologies – единственный инструмент данного типа, контролирующий электронный импедансный тюнер. Для инструментов N5241/42A используется внешний электронный калибратор ECal, а для N5244/45/47A – внутренний электронный тюнер. Встроенный тюнер, конечно же, может использоваться для представления импедансов, требуемых для решения системы уравнений шумовых параметров. Но он хорошо подходит лишь для 50-омных и близких к 50-омным устройствам. В случае не 50-омных применений для формирования представляемого устройству импеданса, близкого к Гopt, PNA-X может использоваться с внешним автоматизированным тюнером Maury Microwave.
Векторный анализатор цепей Keysight PNA-X также является единственным инструментом, сочетающим приёмники для измерения S-параметров с оптимизированным малошумящим приёмником. Чувствительность шумового приёмника критична при измерениях коэффициента шума, осуществляемых путём точного измерения распределения шумовой мощности тестируемого устройства. Точность шумовых измерений напрямую связана с коэффициентом шума самого шумового приёмника и, чем он меньше, тем лучше. Чувствительность шумового приёмника PNA-X достаточна для многочисленных применений и, в случае необходимости, может быть увеличена с помощью внешнего модуля шумового приёмника. Дополнительный внешний модуль шумового приёмника от Maury Microwave позволяет снизить коэффициент шума приёмника на 5–6 дБ.
Сочетание векторного анализатора цепей Keysight PNA-X, автоматизированного импедансного тюнера, модуля шумового приёмника, а также программного обеспечения ATS Maury, позволяет реализовать широкополосные измерения шумовых параметров в частотном диапазоне от нескольких мегагерц до 50 ГГц с улучшенной скоростью и точностью (см. рис. 4).

Keysight PNA-X в комбинации с тюнером Maury, приёмником, а также программным обеспечением, позволяет достичь высокоточных измерений коэффициента шума и шумовых параметров транзисторов миллиметрового диапазона.
Таким образом, описанные системы измерений импульсных ВАХ и S-параметров в совокупности с измерениями Load Pull, а также измерения Х-параметров, позволяют в полной мере охарактеризовать СВЧ-транзисторы для последующих этапов экстракции высокоточных моделей и проектирования усилителей мощности. Системы являются законченными автоматизированными решениями и позволяют в значительной степени экономить время измерений и, соответственно, время всей разработки.
Литература
- Maury Microwave Application notes. www.maurymw.com/MW_RF/Application_Notes_Library.php.
- Gasseling T. Compact Transistor Models: The Roadmap to the First-Pass Amplifier Design Success. Microwave Journal. March 2012.
- Amcad-Engineering: Load Pull Measurements. www.amcad-engineering.com.
Если вам понравился материал, кликните значок — вы поможете нам узнать, каким статьям и новостям следует отдавать предпочтение. Если вы хотите обсудить материал —не стесняйтесь оставлять свои комментарии : возможно, они будут полезны другим нашим читателям!

