Введение
Рентгенолюминесцентные (РЛ) сепараторы – современное технологическое оборудование, предназначенное для использования на заключительной стадии обогащения алмазосодержащего материала. Перед поступлением на стадию РЛ-сепарации материал проходит продолжительный и весьма затратный путь разработки алмазной трубки или россыпи, транспортировки руды на фабрику, измельчения и рассева на классы крупности. Поэтому очень важно обеспечить на РЛ-сепараторах максимальное извлечение (в пределе до 100%) алмазов при минимуме ложных обнаружений.
Рентгенолюминесцентный метод обогащения в промышленном исполнении предполагает облучение потока материала рентгеновским излучением и регистрацию люминесцентного отклика с помощью элемента, преобразующего оптический сигнал люминесценции в электрический. Далее производится обработка этого сигнала с целью выделить по заданным признакам люминесценцию алмаза, затем обнаруженный алмаз отделяется от потока пустой породы [1].
Разделение алмазов и сопутствующих минералов производится по амплитудным и временны¢м (кинетическим) характеристикам светового отклика, причём наличие люминесценции не является достаточным признаком алмаза. Люминесцентный отклик на рентгеновское возбуждение дают не только алмазы, но и ряд сопутствующих минералов. Аналоговая схема обработки, применявшаяся в сепараторах, выпускавшихся до 2005 г., существенно ограничивала набор критериев обнаружения. Проведённые в 2004–2006 гг. исследования позволили сформулировать необходимый набор численных критериев, базирующихся на кинетических характеристиках компонент люминесценции, и реализовать их проверку при цифровой обработке сигналов.
Модель сигнала и численные критерии обнаружения
Модель сигнала и алгоритм его обработки для сепараторов алмазов с непрерывным возбуждением люминесценции подробно описаны в [2].
Основная масса сепараторов, выпускаемых сегодня в России для месторождений в Якутии, Архангельской области и в Африке, работает в режиме импульсного возбуждения люминесценции. Это означает, что рентгеновская трубка (РТ) питается импульсным напряжением. Длительность импульсов типично – 0,5 мс, период – 4 мс. Физическая природа люминесценции состоит в излучательных переходах электронов атомов или молекул из возбуждённого состояния в основное. Считается, что центры возбуждения/рекомбинации связаны с наличием примесей в регулярной кристаллической решётке алмазов и других минералов. Наличие таких центров на различных электронных уровнях приводит к присутствию нескольких компонент в составе сигнала люминесценции.
Таким образом, реальный сигнал люминесценции представляет собой совокупность компонент, характеризующихся интенсивностью, временем возникновения/затухания и длительностью, иначе называемых кинетикой люминесценции. При импульсном возбуждении процессы разгорания и затухания люминесценции протекают циклически с периодичностью следования рентгеновских импульсов.
Сигнал люминесценции, испускаемый минералами, воспринимается чувствительными фотоприёмными устройствами (далее – фотоприёмники), обычно выполняемыми на базе фотоэлектронных умножителей (ФЭУ). Вид сигнала на выходе фотоприёмника изображён на рисунке 1, где представлены два периода возбуждения (в одном присутствует люминесцентный отклик, а в другом он отсутствует).

Как указано в [3], напряжение сигнала uc в интервале времени 0…Т, т.е. во время периода возбуждения, можно представить как сумму:
где uв1 – напряжение люминесценции воздуха в зоне возбуждения регистрации; uбк1 – напряжение быстрой компоненты (БК) люминесценции минерала; uмк1, uмк2 – напряжение медленной компоненты (МК), соответственно, разгорание и затухание, люминесценции минерала; uш1, uш2 – напряжение суммы электронных шумов и шумов ФЭУ.
Члены выражения (1), которые помечены индексом «1», действуют только в интервале времени 0 < t < tи, а помеченные индексом «2» – только в интервале tи < t < T.
Рассмотрим изменения компонент, фигурирующих в выражении (1), во времени и в зависимости от характеристик сепаратора:
напряжение люминесценции воздуха uв и напряжение uбк1 в зоне возбуждения/регистрации зависит от ширины зоны в направлении вдоль и поперёк потока сырья, а также от режима и степени загрязнения рабочих окон РТ и фотоприёмников; в каждом цикле возбуждения значение uв1 принимается постоянным, а численные их значения обычно определяются усреднением за некоторое время (1–2 с);
напряжения шумов uш1 и uш2 представляются среднеквадратичными значениями;
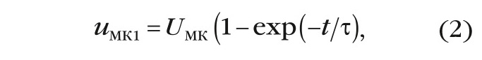
напряжение разгорания МК люминесценции uмк1 можно представить экспонентой:
где τ – постоянная времени разгорания люминесценции.
Напряжение затухания МК люминесценции uмк2 также можно представить экспонентой:

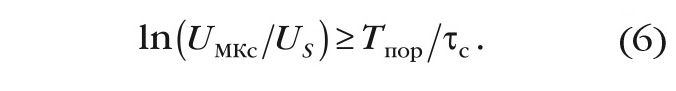
Постоянная времени, таким образом, служит мерой скорости разгорания/затухания люминесценции. Для реальных алмазов диапазон изменения постоянной времени достаточно широк (1,5…10 мс) и «снизу» смыкается с диапазоном значений (1…1,5 мс) постоянной времени для ряда сопутствующих минералов, таких как циркон, галит, полевой шпат и др. В сепараторах с аналоговой регистрацией разделение алмазов и сопутствующих минералов осуществлялось по т.н. амплитудно-временно¢му или пороговому критерию. Иначе говоря, за алмаз принимался минерал, сигнал затухания которого превышает заданный порог Us через заданное время Тпор после окончания импульса возбуждения. Исходя из (3), условие обнаружения алмаза можно записать:

где Тпор – заданное время задержки до момента, где производится сравнение сигнала люминесценции с порогом; τа – постоянная времени затухания люминесценции алмаза; Uмка и uмка – соответственно амплитуда и текущее значение сигнала люминесценции алмаза; Us – напряжение порога обнаружения (по МК).
К сожалению, такая схема обнаружения (подробнее она рассмотрена в [3]) приводит к ложным обнаружениям, число которых при большом количестве ярких сопутствующих минералов в обрабатываемом материале значительно. Сформулируем условие ложных обнаружений для сигнала от сопутствующих минералов аналогично (4):

где Uмкс и uмкс – соответственно амплитуда и текущее значение сигнала люминесценции сопутствующего минерала, а τс – постоянная времени для сопутствующего минерала.
Это выражение в принятых обозначениях можно преобразовать к виду:

Полагая, что τс = 1 мс, и приняв типичное значение Тпор = 0,3 мс, получим из выражения (6), что ложные обнаружения могут возникнуть уже при Uмкс = 3Us.
Полученные выражения позволяют связать интенсивность сигнала люминесценции и чувствительность сепаратора.
Связь чувствительности сепаратора и датчика
Чувствительность сепаратора [4] определяется как минимальная интенсивность люминесцентного излучения алмазов, при которой обеспечивается их обнаружение рентгено-оптико-электронной системой сепаратора с вероятностью не менее 50%. Иначе говоря, условие в выражении (4) должно выполняться для 50% алмазов. Поскольку, как показывалось выше, необходимым признаком обнаружения служит превышение МК люминесценции предварительно заданного амплитудного порога, то традиционно пороговая чувствительность связывается с этой компонентой люминесценции.
Согласно документации на сепаратор, чувствительность даётся как мощность, излучаемая в телесном угле 1 ср, нормированная на мощность источника возбуждения в Р/с. В зависимости от обрабатываемого класса крупности материала и стадии обогащения чувствительность сепараторов составляет П = 10–11…10–12 (Вт·ср–1) × (Р/с)–1.
В то же время световая чувствительность ФЭУ определяется в А/лм. Чтобы связать эти характеристики, пользуются понятием энергетической силы светового излучения [5]. Тогда 1 лм = 1/683 Вт/ср или 1 Вт/ср = 683 лм. Для некоторых ФЭУ в документации приведён энергетический эквивалент чувствительности в A/Вт.
Для примера рассчитаем выходной ток ФЭУ R-6094 (фирма Hamamatsu, Япония) при пороговом сигнале. Энергетический эквивалент чувствительности этого ФЭУ – [6] для рабочего напряжения 1000 В. Согласно тому же источнику при реальном напряжении питания Uфэу = 600 В усиление ФЭУ и с ним параметр чувствительности падает в 40–50 раз от указанного. Тогда выходной ток Iвых для интенсивности люминесценции, например, 1,5 × 10–11 (Вт·ср–1) × (Р/с)–1 составит Iвых = . Здесь П – пороговая (паспортная) чувствительность сепаратора, а S – энергетический эквивалент чувствительности ФЭУ. В фотоприёмном устройстве ФПУ сепаратора этот ток преобразуется в напряжение, которое с учётом собственных шумов ФПУ на входе устройства цифровой обработки составляет обычно 100…150 мВ.
Повышение селективности
Амплитудно-временно¢й критерий обнаружения, описанный выражениями (3), (4), является необходимым, но недостаточным для надёжного выделения алмазов из материала с использованием рентгенолюминесценции. По этой причине на разных этапах промышленного использования сепараторов велись поиски более селективных критериев.
В работах [7, 8] рассмотрены критерии разделения, основанные на соотношении БК и МК. С целью упрощения измерений этот критерий сформулирован как:
где (БК + МК) – сумма быстрой и медленной компонент в момент окончания импульса возбуждения – и может быть получен из (1) вычитанием из uc1 напряжений шума и люминесценции воздуха.
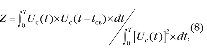
В работах [3, 9, 10] рассмотрен комплексный критерий из четырёх составляющих, включающий помимо двух рассмотренных выше критериев численное значение постоянной времени разгорания/затухания люминесценции τ и интегральную свёртку, нормированную на квадрат этого сигнала:

где Uc(t) – функция сигнала от реального времени; Т – период сигнала люминесценции; Z – свёртка, являющаяся, согласно определению [9], автокорреляционной функцией сигнала, которая представляет собой интеграл (в нашем случае в границах периода) от произведения функции сигнала на её сдвинутую во времени копию; tсв – параметр свёртки («сдвиг» копии).
Таким образом, определены параметры сигнала, которые можно использовать для формирования критериев разделения алмазов и сопутствующих минералов по кинетике сигнала рентгенолюминесценции.
Здесь необходимо сделать три замечания:
- Зависимость Uc(t), описывающая в уравнениях (2), (3) сигнал люминесценции минерала, должна быть получена из выражения (1) вычитанием двух параметров uв и uш, которые зависят от характеристик обогатительного аппарата и не связаны с характеристиками обогащаемого материала. Необходимо выработать методику определения и учёта этих параметров.
- Определение дополнительных критериев в «аналоговой» аппаратуре крайне сложно: требуется переход к цифровой обработке и, как следствие, цифровое преобразование сигнала в реальном времени.
- Диапазон интенсивности рентгенолюминесценции алмазов и минералов достигает 4–5 порядков, что необходимо согласовать с амплитудным диапазоном быстродействующего АЦП.
Цифровая регистрация
Под цифровой регистрацией традиционно понимается аналого-цифровое преобразование сигнала на входе устройства регистрации (обычно это компьютер) с последующей цифровой обработкой полученных данных по программе, реализующей выявление принятых критериев разделения и их заранее заданных граничных значений.
Выход АЦП соединён с шиной процессора, выполняющего обработку сигнала по заданной программе. Число каналов и быстродействие АЦП определяется числом каналов сепаратора. Для расширения динамического диапазона применён приём, когда каждый датчик сигнала люминесценции снабжается несколькими выходами: основным (коэффициент передачи условно 1:1) и масштабированными с коэффициентами передачи 1:10; 1:100 и т.д. (см. рис. 2).

Каждому выходу фотоприёмника ставится в соответствие отдельный канал АЦП. Таким образом, сепаратор, имеющий m рентгеновских каналов, потребует 2m, 3m и т.д. каналов АЦП. Выбор канала, по которому производится обработка (вычисление критериев), осуществляется программой.
Основная масса имеющихся на рынке многоканальных АЦП построена на основе мультиплексора с последовательной обработкой множества входных сигналов. Поэтому полное время преобразования в m-канальном сепараторе , где tпр=2m×Δt(3m×Δt), где Δt – время преобразования по одному каналу. Для простоты ограничимся двумя выходами фотоприёмников. Тогда, например, для 4-канального сепаратора при Δt = 1 мкс время одного преобразования по всем каналам составит tпр = 8 мкс, для 8-канального – 16 мкс.
Импульсное возбуждение люминесценции приводит к циклической обработке сигнала, где цикл равен периоду возбуждения. Приведённые цифры позволяют сделать выбор темпа (периода) преобразования, что в свою очередь определяет размерность массивов данных, соответствующих периоду возбуждения.
Цифровой образ сигнала, предназначенный для дальнейшей обработки, в каждом k-периоде возбуждения описывается двумя массивами Sk1{Un} и Sk2{Un}, где число членов каждого массива n ≤ T/tпр. Это соответствует допущению, что сбор данных производится в двух амплитудных диапазонах. Если используются три диапазона, получим в каждом периоде по 3 массива. На практике во избежание временных конфликтов tпр выбирается с небольшим запасом: в приведённых выше примерах – 10 и 20 мкс. Программа обработки анализирует массивы Sk1 и Sk2 (и Sk3). Если данные в основном массиве Sk1 лежат в рабочем диапазоне (отсутствует ограничение), обработка ведётся по этому массиву, если же имеет место перегрузка по амплитуде, программа переходит на обработку масштабированного массива Sk2 (и если он есть – далее на обработку массива Sk3).
Алгоритм цифровой регистрации, описанный подробно в [3], строится таким образом, чтобы одновременно со сбором данных в цикле k велись обработка/вычисление критериев разделения по массивам, собранным в предыдущем цикле k – 1 и т.д. Вычисление амплитудно-временно¢го критерия и отношения компонент не вызывают трудностей. Интеграл при вычислении свёртки в выражении (8) заменяется суммой по числу членов массива (здесь принято tпр = 20 мкс).
Для сравнения селективности критериев, описанных выражениями (4), (7) и (8), на сепараторе алмазов ЛС-ОД-50-03Н параллельно с выполнением основной функции обогащения был выполнен сбор данных с выборкой всех сигналов, удовлетворяющих амплитудному критерию (4). В работе [10] представлено распределение характеристик зарегистрированных минералов по каждому из рассмотренных критериев, из которого видно, что из всего набора критерий «свёртка» наиболее селективен.
Погрешности цифровой регистрации
Критерии обнаружения и их вычисление рассмотрены выше, исходя из того, что положение люминесцирующего объекта в совмещённой зоне возбуждения/регистрации неизменно или, по крайней мере, не влияет на люминесцентный отклик. В связи с этим можно выделить две составляющих погрешности обнаружения алмазов: статическую и динамическую.
Статическая погрешность определяется необходимостью вычитать из Sk1, 2k {n} для n = 0…tи/tпр значения усреднённого uв, что приводит к появлению погрешности вычисления отношения компонент и свёртки. Погрешность определяется разностью между величиной uв в отдельном конкретном цикле k и используемым в расчётах средним значением за 250 или 500 предыдущих циклов (1…2 с). Погрешность, связанная с ошибкой аналогичной оценки uш , менее существенна из-за малости uш по сравнению с uп (обычно величина порогового сигнала выбирается так, чтобы соотношение сигнал/шум uп/uш ≥ 2).

Рассмотрим динамическую погрешность. В реальном сепараторе не существует резко очерченной зоны возбуждения/регистрации, поэтому, приближаясь к этой зоне, часть наиболее сильно люминесцирующих минералов возбуждается и начинает испускать свет. Процесс по циклам иллюстрируется на рисунке 3а. Цикл 1 отражает возникновение «предвозбуждения». Без принятия специальных мер это приведёт к преждевременному обнаружению и потере алмаза, поскольку в результате такого «предвозбуждения» либо нарушаются соотношения между компонентами люминесценции, и возможно ложное обнаружение, либо сигнал люминесценции просто обнаруживается «досрочно». В результате этого акт отделения алмаза от потока материала также происходит преждевременно, и обнаруженный алмаз не попадает в сборник концентрата. Ложного обнаружения можно избежать [11], приняв во внимание характер изменения МК в последующих циклах 2 и 3, где МК растёт, и в цикле 4, где МК начинает падать. Этот цикл и учитывается как момент обнаружения.
Несколько по-другому выглядит ошибка регистрации на выходе объекта из зоны возбуждения. Процесс по циклам показан на рисунке 3б. Цикл 1 – вход в зону. Допустим, люминесцирующий минерал в зоне возбуждения (циклы 2 и 3) содержал люминесценцию БК и МК, которая по уровню интенсивности превышала порог чувствительности. При этом соотношение компонент и свёртка не удовлетворяли признакам алмаза, и обнаружение последнего не регистрировалось. Но на выходе из зоны возбуждения (цикл 4) БК гасла, а МК сохраняла значение. В результате во время цикла 4 на выходе минерала из зоны последний ложно определяется как алмаз.
Учёт динамических погрешностей на входе и выходе из зоны возбуждения реализуется в программе регистрации. Программа при этом [11, 12] контролирует динамику изменения необходимого условия обнаружения по амплитудно-временно¢му признаку, описанному выше выражением (5). При этом сравнение параметров с критериями обнаружения производится только в том цикле, в котором динамика МК переходит от нарастания (до входа в зону возбуждения или во время прохождения зоны) к убыванию, и при положительном результате формируется соответствующий сигнал наличия алмаза.
Регистрация алмазов с аномальной люминесценцией
Рассмотренный выше способ селективной регистрации и основанные на нём соотношения базировались на предположении о наличии в составе сигнала рентгенолюминесценции алмаза двух компонент (БК и МК). Такие алмазы можно охарактеризовать некоторым типовым диапазоном значений критериев разделения. В то же время в месторождениях встречаются алмазы, у которых МК очень мала или вовсе отсутствует. Это т.н. алмазы II типа или II группы. При описанной выше обработке сигналов с использованием 4 критериев такие алмазы не будут зарегистрированы именно из-за отсутствия МК в составе сигнала люминесценции. В работе [13] предложен способ выявления алмазов второй группы по амплитуде БК, иллюстрируемый на рисунке 4.

Рассмотрим реализацию способа по диаграмме. Вернёмся к выражениям (1)–(9), описывающим принципы рентгенолюминесцентного обогащения. Импульсы (а) возбуждающего излучения длительностью tи с периодом T при облучении потока обогащаемого материала создают световой отклик, зависящий от люминесцентных характеристик минералов в материале. Возможны три варианта:
- люминесцирующих минералов в зоне регистрации нет, в интервале разгорания Тр наблюдается только люминесценция воздуха uв, как показано в строке (б);
- минерал в зоне регистрации даёт отклик, содержащий в интервале Тр и БК, и МК («типичная люминесценция») в соответствии с выражением (2), как это показано в строке (в), а в интервале Тз затухания люминесценции в момент tп1 после окончания импульса возбуждения выполняется необходимое условие обнаружения (4), когда uмк > Ua, где Ua – предварительно заданный порог обнаружения по МК; цифровая обработка в этом случае ведётся по обычной схеме с расчётом по выражениям (7) и (9), обеспечивающим селективность;
- в строке (г) показан случай, когда люминесцентный отклик минерала в интервале Тз в момент времени tп2 не удовлетворяет необходимому условию обнаружения (4); в этом случае необходима проверка на выполнение дополнительного условия:

где Ub – предварительно заданный порог обнаружения по БК.
Выражение (9) органично дополняет признаки обнаружения (4), (8), описанные выше. Комплексное их использование обеспечивает надёжное выявление алмазов с типичной люминесценцией и одновременно позволяет выявлять алмазы второй группы, не имеющие медленной, но имеющие быструю компоненту люминесценции.
Интересно отметить, что в последнем варианте возникает иллюзия «путешествия назад во времени» для анализа предыдущего значения сигнала. Это становится возможным только из-за преобразования сигнала люминесценции в цифровую форму и запоминания его в виде массива цифр. В результате «путешествие во времени» в алгоритме происходит не в реальном времени, а в виде перехода от анализа элементов массива с большими номерами к меньшим номерам.

На рисунке 5 показан рентгенолюминесцентный сепаратор, состоящий из двух частей: собственно сортировочной машины, где обрабатывается алмазосодержащий материал, и стойки электроники, управляющей обработкой и выделением алмазов. При эксплуатации обе части соединены кабелями длиной до 30 м. Верхний блок стойки и блок цифровой обработки представляют собой промышленный компьютер (рабочую станцию), совмещающий обработку сигналов с поддержкой графического человеко-машинного интерфейса.
Заключение
Цифровая обработка сигналов – широко используемый приём в аппаратуре, где первичными датчиками служат источники аналогового сигнала.
В рентгенолюминесцентных сепараторах НПП «Буревестник» с 2006 г. вместо ранее использовавшихся аналоговых схем применяется блок цифровой обработки на основе промышленного компьютера. Заложенные в его программное обеспечение критерии разделения алмазов и минералов позволили существенно повысить селективность обогащения, что показали исследования пользователей – специалистов института «Якутнипроалмаз» АК «Алроса» [1].
В последующие годы исследования сигналов люминесценции в реальных сепараторах выявили статические и динамические ошибки цифровых методик обогащения, на основе которых было разработано программное обеспечение, позволяющее их минимизировать. Наконец, исключительно программными методами без изменения аппаратных средств удалось реализовать выделение алмазов второго типа на фоне типовой селективной методики обогащения алмазов со «стандартной» люминесценцией. Всё это показывает, что возможности рентгенолюминесцентного обогащения при использовании цифровой обработки сигналов не исчерпаны и продолжают расширяться.
Литература
- Макалин И.А., Иванов А.В. Интенсификация процесса рентгенолюминесцентной сепарации на предприятиях АК «Алроса» // Горный журнал. № 12. 2010. С. 69–73.
- Поташников А.К. Цифровая обработка сигналов в рентгенолюминесцентных сепараторах алмазов // Датчики и системы. № 6. 2005.
- Владимиров Е.Н., Казаков Л.В., Колосова Н.П. Повышение эффективности работы сепаратора алмазов за счёт цифровой обработки сигналов. Современная электроника. № 2. 2008. С. 64–69.
- Сепаратор люминесцентный ЛС-20-05Н. Технические условия ТУ 4276-053-00227703-2010.
- Фотометрия. Толковый словарь. www.aggregateria.com.
- www.sales.hamamatsu.com.
- Патент RU2236312 C1 / Устройство для сепарации алмазосодержащих материалов / Тирмяев А.Ф, Комаров Н.А., Чупров В.А. 2004.
- Патент RU223599 C1 / Способ сепарации алмазосодержащих материалов / Тирмяев А.Ф., Комаров Н.А., Чупров В.А. 2004.
- en.wikipedia.org/wiki/convolution.
- Владимиров Е.Н., Каликин А.Г., Колосова Н.П. Анализ цифровых методик обнаружения алмазов и сопутствующих минералов // Горный журнал. № 5. 2009.
- Патент RU 2438800 / Способ рентгенолюминесцентной сепарации минералов / Казаков Л.В., Колосова Н.П. 2010.
- Патент RU 2356651 / Способ рентгенолюминесцентной сепарации минералов / Владимиров Е.Н., Казаков Л.В., Колосова Н.П. 2007.
- Патент RU 2437725 / Способ разделения минералов по их люминесцентным свойствам и способ определения порога разделения / Владимиров Е.Н., Казаков Л.В., Цветков В.И. 2010.
© СТА-ПРЕСС
Если вам понравился материал, кликните значок — вы поможете нам узнать, каким статьям и новостям следует отдавать предпочтение. Если вы хотите обсудить материал —не стесняйтесь оставлять свои комментарии : возможно, они будут полезны другим нашим читателям!

