Введение
В последние годы ведутся активные работы по созданию целей с малой эффективной площадью рассеяния (ЭПР), в том числе малоразмерных беспилотных аппаратов, которые могут использоваться для выполнения различных задач. Кроме того, при изготовлении самолётов, крылатых ракет и надводных кораблей широко применяется технология Stealth. В связи с этим современные когерентно-импульсные радиолокационные станции (РЛС) вынуждены наращивать свой потенциал обнаружения целей с малой ЭПР на заданных рубежах. Однако это приводит к увеличению интенсивности помех, прежде всего, от движущихся образований, обусловленных отражениями от оптически ненаблюдаемых объектов, известных как отражения от «ясного неба» или «ангелы». Скопление «ангелов» в зоне ответственности РЛС может ухудшить характеристики обнаружения и сопровождения малоразмерных целей при перегрузке информационных каналов средств вторичной обработки РЛС.
Природа «ангелов»
Отражения от «ясного неба» или «ангелы» достаточно давно известны в практике работы радиолокационных систем сантиметрового и дециметрового диапазонов волн. Эти мешающие радиолокационные отражения имеют многообразное происхождение, а их природа ещё недостаточно изучена. Зарубежные учёные связывают это явление с эхо-сигналами от птиц (в особенности, от стай перелётных птиц) и скоплений насекомых (например, саранчи), перемещающихся со скоростью ветра [1].
В отечественной литературе [2] основное внимание уделяется эхо-сигналам от «ясного неба», обусловленным зонами аномального распространения электромагнитных колебаний, в которых наблюдаются интенсивные отражения на границе сред с различными показателями преломления, в том числе вызванных турбулентностями атмосферы – «термиками».
Перелёты птиц обычно происходят в одно и то же время суток (утром и вечером) и в определённые времена года. Соответствующие радиолокационные эхо-сигналы имеют характеристики, напоминающие эхо-сигналы от самолёта, поскольку высота полёта птиц может достигать 2 км при скорости до 130 км/ч; ЭПР стаи перелётных птиц в пределах импульсного объёма РЛС составляет от 0,001 до 0,1 м2, а в некоторых случаях достигает 1 м2.
Зоны аномального распространения радиоволн перемещаются со скоростью ветра в том же направлении и имеют максимальную высоту 2 км; ЭПР этих зон обычно меньше 1 м2 (статистические данные свидетельствуют, что ЭПР «ангелов» в 80% случаев не превышает 0,1 м2). Зоны образования эхо-сигналов имеют малое время существования, причём их размеры и интенсивность уменьшаются с ростом высоты. Наблюдения «ангелов» в течение большей части года (с апреля по сентябрь), в том числе в период отсутствия массовых перелётов птиц, подтверждают, что стаи птиц и скопления насекомых не являются основными источниками мешающих отражений.
Впервые сотрудники Всероссийского НИИ радиотехники столкнулись с «ангелами» летом 1955 года при государственных испытаниях РЛС П-15, проводимых вблизи Оренбурга [3]. Время существования этих отражений было невелико и существенного влияния на результаты испытаний не оказало. Однако в ходе испытаний более мощных и чувствительных РЛС 5Н69, 5Н59 и УВД «Утёс-М» отражения от «ангелов» создавали значительные помехи. Следует упомянуть, что испытания проводились в тёплое время года в южных районах (в Астраханской области и на юге Венгрии).

На экране индикатора РЛС 5Н69 отражения от «ангелов» напоминали цели (см. рис. 1), распределялись равномерно по азимуту, а их численность убывала с увеличением дальности [4]. Наибольшая плотность отражений наблюдалась на расстояниях от 50 до 80 км, где число отметок на фрагменте индикатора, эквивалентном 10 км ´ 10 градусов, доходило до 20. Время существования отдельных мешающих отметок колебалось от интервала единичного обзора до нескольких десятков минут; «ангелы» перемещались со скоростью до 120 км/ч.
В ходе испытаний РЛС «Утёс-М» наибольшее количество «ангелов» наблюдалось в утренние часы. Число отметок от них достигало 500–1000 даже при включённой системе селекции движущихся целей (СДЦ). Отметки перемещались по экрану со скоростью 60–150 км/ч, периодически обновляясь через 1–5 и более обзоров.
Таким образом, по своему воздействию на РЛС отражения от «ангелов», имеющие точечную структуру, можно рассматривать как пассивные дискретные помехи. Их перемещение делает невозможным эффективное подавление помех такого типа с помощью традиционных систем СДЦ.
Методы подавления отражений от «ясного неба»
Для повышения помехоустойчивости РЛС к воздействию отражений от «ангелов» в настоящее время используются следующие методы:
- формирование специальной диаграммы направленности, приподнятой над земной поверхностью. Это часто приводит к потерям обнаружения низколетящих целей и не решает проблему защиты от «ангел-эхо» на больших высотах;
- регулирование усиления приёмного тракта РЛС по специальному закону, добавление шума в тракт обработки, регулирование порога обнаружения (АРУ, ВАРУ, ШВАРУ). Любое снижение чувствительности приёмного тракта приводит к ухудшению характеристик обнаружения целей с малой ЭПР;
- межобзорная обработка не полностью решает проблему защиты РЛС от воздействия «ангел-эхо», поскольку имеет ограниченные возможности по производительности. «Ангелы» с временем жизни, сравнимым с временем одного обзора РЛС, не подавляются подобными системами;
- классификация дискретных мешающих отражений по сигнальным или траекторным признакам. К сожалению, ни один из известных методов распознавания классов целей не реализуется в реальном масштабе времени;
- селекция движущихся целей.
В настоящее время большинство упомянутых методов являются наиболее перспективными, так как реализуются в реальном масштабе времени – «на проходе». Однако дискретный, целеподобный характер «ангелов» и их медленное перемещение требуют разработки новых алгоритмов селекции движущихся целей, учитывающих специфику «ангелов». Эта сложная задача должна решаться в обнаружителе движущихся целей когерентно-импульсных РЛС.
Борьба с дискретными движущимися коррелированными помехами может рассматриваться как обнаружение полезных сигналов на фоне мешающих отражений с использованием неклассифицированных выборок наблюдений, что является одной из самых сложных задач, решаемых современными системами СДЦ. Для подавления таких помех не могут применяться традиционные системы СДЦ в виде адаптивных доплеровских или режекторных фильтров, которые подстраиваются к корреляционным свойствам входной классифицированной выборки наблюдений, используя усреднение по дальности. В адаптивных СДЦ при формировании оценок по неклассифицированной выборке наблюдений с усреднением по пачке принимаемых импульсов формируются весовые коэффициенты, учитывающие свойства помехи и полезного сигнала. К сожалению, это приводит к ослаблению полезного сигнала.
Новые адаптивные методы фильтрации мешающих отражений от «ангелов»
Для преодоления отмеченных выше трудностей, в работах [5, 6] был предложен и описан способ адаптивной фильтрации дискретных мешающих сигналов. Суть способа заключается в том, что для исключения влияния полезного сигнала на оценки адаптивных коэффициентов фильтра для неклассифицированной выборки наблюдений весовые коэффициенты фильтра, полученные на одной несущей частоте или частоте повторения, используются на другой несущей частоте или частоте повторения. Для эффективного подавления многомодовых коррелированных помех было предложено применять как авторегрессионный подход, так и алгоритмы Прони и Штейглица-МакБрайда [7].
Однако для реализации адаптивной фильтрации названными методами формирования весовых коэффициентов требуется или дополнительный частотный канал (вторая несущая частота), или дополнительная пачка импульсов с другой частотой повторения. Поэтому был предложен ещё один способ борьбы с целеподобными движущимися коррелированными помехами [8]. Принцип работы такой системы СДЦ достаточно прост; он иллюстрируется векторной диаграммой принятого сигнала, представляющей собой аддитивную смесь дискретной коррелированной помехи и полезного сигнала (см. рис. 2).

Амплитуда и фаза вектора помехи случайны для каждой конкретной ситуации и переносят центр окружности вектора цели в случайную точку на векторной плоскости. Поскольку скорость цели гораздо больше скорости коррелированной помехи, то вектор цели вращается с большей скоростью, чем вектор помехи. Если определить координаты центра окружности сигнала цели (xa и ya), то после переноса начала координат в рассчитанный центр окружности можно подавить помеху в принятом сигнале.
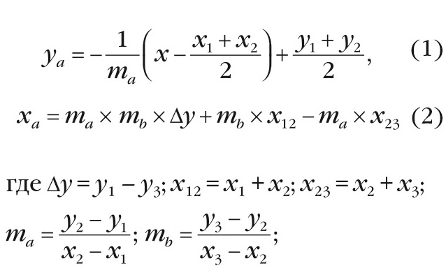
По этому принципу и работает рассматриваемый способ адаптивной фильтрации дискретных коррелированных помех. С помощью 3-импульсной пачки принятого сигнала определяется центр окружности вектора цели по известному алгоритму [9]:

– квадратурные составляющие отражённых сигналов 3-импульсной пачки; нижний индекс указывает номер импульса в пачке. В соответствии с приведённым алгоритмом расчёта координат центра окружности адаптивная фильтрация осуществляет вычитание из квадратурных составляющих рассчитанных декартовых координат центра окружности.
Система СДЦ, подавляющая дискретные коррелированные помехи, состоит из определителя координат центра окружности сигнала цели и блоков вычитания, реализующих перенос начала координат в вычисленный центр окружности сигнала цели. Поскольку центр окружности на векторной плоскости представляет собой конец вектора помехи, то его вычитание из первоначальных значений принятого сигнала в квадратурных каналах осуществляет подавление помехи в суммарном векторе принятого сигнала.
Оценка эффективности предложенного способа фильтрации проводилась в вычислительной среде MATLAB применительно к многокомпонентной (двухмодовой) коррелированной медленно движущейся помехе со следующими параметрами входной выборки наблюдений:
- соотношение сигнал/шум цели 1 дБ;
- доплеровское смещение спектра сигнала цели 400 Гц;
- соотношение сигнал/шум первой компоненты помехи 2 дБ;
- доплеровское смещение спектра первой компоненты помехи 10 Гц;
- соотношение сигнал/шум второй компоненты помехи 2 дБ;
- доплеровское смещение спектра второй компоненты помехи 50 Гц;
- несущая частота 500 МГц;
- мощность собственного шума 0 дБ.
Результаты оценки эффективности адаптивной фильтрации по неклассифицированной выборке наблюдений приведены на рисунке 3, где показано спектральное представление сигналов дискретной двухкомпонентной помехи с доплеровскими частотами 10 Гц и 50 Гц и полезного сигнала с доплеровской частотой 400 Гц после фильтрации предложенным способом.

Выводы
Полученные результаты позволяют сделать вывод, что адаптивная фильтрация дискретных помех на основе определения центра окружности вектора цели по суммарному вектору помехи и полезного сигнала эффективно подавляет многокомпонентную помеху при использовании всего лишь одной неклассифицированной выборки наблюдений, в которой присутствует как отражённый от «ангела» мешающий сигнал, так и полезный сигнал от цели.
Литература
- Harper W.G. Detection of Bird Migration by Centimetric Radar – a Cause of Radar «Angels»/ Proceedings of the Royal Society of London. Series B, Biological Sciences, Vol.149, Issue 937,1958, pp. 484–502.
- Черников А.А. Радиолокационные отражения от «ясного неба». Гидрометеоиздат, 1979.
- Смирнов С.А., Зубков В.И. Краткие очерки истории ВНИИРТ, 1996.
- Итоговый отчёт по НИР «Аквамарин-Г», Нижегородский НИИ радиотехники,1984.
- Бартенев В.Г. Способ адаптивной фильтрации дискретных помех. Патент по заявке № 2007101649 от 17.01.2007; опубл. 27.07.2008, Бюл. № 21.
- Бартенев В.Г. Адаптивная фильтрация неклассифицированных выборок наблюдения. Современная электроника, № 7, 2008.
- Бартенев В.Г., Гордеев А.Ю. Новый способ формирования весовых коэффициентов при адаптивной фильтрации неклассифицированных выборок наблюдений. Цифровая обработка сигналов, № 2, 2012.
- Бартенев В.Г., Битюков В.К., Симачков Д.С. Селектор движущихся целей на фоне дискретных движущихся пассивных помех. Патент № 133327 по заявке № 2012143984/07 от 16.10.2012; опубл. 10.10.2013, Бюл. № 28.
- http://program.rin.ru/razdel/html/637.html.
© СТА-ПРЕСС
Если вам понравился материал, кликните значок — вы поможете нам узнать, каким статьям и новостям следует отдавать предпочтение. Если вы хотите обсудить материал —не стесняйтесь оставлять свои комментарии : возможно, они будут полезны другим нашим читателям!

